Le rapport médical et scientifique
de l'Agence de la biomédecine

2015

Le rapport médical et scientifique du prélèvement
et de la greffe en France

Retour accueil Sommaire

 

Organes

Le prélèvement d'organes en vue de greffe

Prélèvement sur donneur décédé en état de mort encéphalique

Les autorisations au prélèvement

Figure P1. Evolution du prélèvement par type de donneur en France

   

Recensement/prélèvement régional

Figure P2. Carte de l'activité de prélèvement des départements français selon la présence d'un établissement autorisé à l'activité de prélèvement d'organe en 2015

   

Figure P3. Evolution de l'activité de recensement et de prélèvement des sujets en état de mort encéphalique

   

Tableau P1. Indicateurs d'activité de prélèvement sur sujets en état de mort encéphalique par inter région SIOS en 2014 et 2015

   

Tableau P2. Evolution de l'activité de recensement et de prélèvement de sujets en état de mort encéphalique en France

   

Tableau P3. Evolution du devenir des sujets en état de mort encéphalique recensés

   

Figure P4. Evolution du devenir des sujets en état de mort encéphalique recensés

   

Tableau P4. Evolution du devenir des donneurs dont au moins un organe a été prélevé

   

Tableau P5. Evolution du nombre d'organes prélevés et greffés par donneur

   

Tableau P6. Evolution des greffons prélevés et non greffés parmi les greffons prélevés

   

Tableau P7. Evolution de l'âge des sujets en état de mort encéphalique prélevés d'au moins un organe

   

Figure P5. Evolution de la répartition par âge des donneurs prélevés en état de mort encéphalique

   

Tableau P8. Evolution de l'âge des donneurs décédés en état de mort encéphalique selon l'organe prélevé et greffé

   

Tableau P9. Evolution du nombre de donneurs présentant des facteurs de risques d'échec de la greffe

   

Tableau P10. Evolution du nombre d'organes prélevés et greffés par donneur âgés de 70 ans ou moins (60 ans pour le cœur)

   

Tableau P11. Evolution du nombre d'organes prélevés et greffés par donneur âgés de plus de 70 ans (60 ans pour le cœur)

   

Tableau P12. Marqueurs sériques d'infection chez les sujets en état de mort encéphalique recensés en 2015

   

Tableau P13. Evolution du nombre d'organes greffés à partir de sujets en état de mort encéphalique ayant des marqueurs sérologiques positifs

   

Tableau P14. Echange de greffons avec l'étranger selon l'année

   

Figure P6. Evolution des causes de décès des sujets en état de mort encéphalique recensés

   

Tableau P15. Détail des marqueurs sérologiques positifs pour les donneurs non prélevés pour cause de sérologie obligatoire positive

   

Tableau P16. Evolution du détail des causes de non prélèvement pour l'item antécédent du donneur

   

Tableau P17. Evolution du détail des causes d’opposition au prélèvement

   

Tableau P18. Evolution des causes de non prélèvement des greffons hépatiques chez les donneurs prélevés d'au moins un organe

   

Tableau P19. Evolution des causes de non prélèvement des greffons cardiaques chez les donneurs prélevés d'au moins un organe

   

Tableau P20. Evolution des causes de non prélèvement des 2 greffons rénaux chez les donneurs prélevés d'au moins un organe

   

Tableau P21. Evolution des causes de non prélèvement des 2 greffons pulmonaires chez les donneurs prélevés d'au moins un organe

   

Tableau P22. Evolution des causes de non greffe des greffons hépatiques prélevés

   

Tableau P23. Evolution des causes de non greffe des greffons cardiaques prélevés

   

Tableau P24. Evolution des causes de non greffe des greffons rénaux prélevés

   

Tableau P25. Evolution des causes de non greffe des greffons cardio-pulmonaires prélevés

   

Tableau P26. Evolution des causes de non greffe des greffons pulmonaires prélevés

   

Tableau P27. Evolution des causes de non greffe des greffons intestinaux prélevés

   

Tableau P28. Evolution des causes de non greffe des greffons pancréatiques prélevés

   

Figure P7. Taux de sujets en état de mort encéphalique recensés par million d'habitants et pour 1000 décès hospitaliers (données ATIH 2014) par région en 2015

   

Figure P8. Taux de donneurs en état de mort encéphalique prélevés par million d'habitants et pour 1000 décès hospitaliers (données ATIH 2014) par région en 2015

   

Tableau P29. Evolution des taux de prélèvement par million d’habitants des sujets en état de mort encéphalique par région

   

Tableau P30. Evolution du taux d'opposition parmi tous les sujets en état de mort encéphalique recensés dans les régions

   

Tableau P31. Evolution du taux d'opposition parmi les sujets en état de mort encéphalique prélevables dans les régions

   

Tableau P32. Evolution du nombre de donneurs en état de mort encéphalique prélevés par inter-région et par site de prélèvement

   

Prélèvement sur donneur décédé après arrêt circulatoire suite à un arrêt cardiaque inopiné

Tableau P33. Evolution de l'activité de prélèvement des donneurs décédés après arrêt circulatoire suite à un arrêt cardiaque inopiné (DDAC-ACI)

   

Tableau P34. Evolution de l'activité de prélèvement sur donneurs décédés après arrêt circulatoire suite à un arrêt cardiaque inopiné (DDAC-ACI) par site de prélèvement

   

Tableau P35. Evolution du devenir des donneurs décédés après arrêt circulatoire suite à un arrêt cardiaque inopiné (DDAC-ACI) recensés

   

Tableau P36. Evolution des causes de l'arrêt cardio-circulatoire chez les donneurs décédés après arrêt circulatoire suite à un arrêt cardiaque inopiné (DDAC-ACI) prélevés d'au moins un organe

   

Tableau P37. Evolution des causes de non prélèvement d'au moins un greffon rénal chez les donneurs décédés après arrêt circulatoire suite à un arrêt cardiaque inopiné (DDAC-ACI) prélevés d'au moins un organe

   

Tableau P38. Evolution des causes de non prélèvement des greffons hépatiques chez les donneurs décédés après arrêt circulatoire suite à un arrêt cardiaque inopiné (DDAC-ACI) prélevés d'au moins un organe

   

Tableau P39. Evolution des causes de non greffe des greffons rénaux prélevés sur les donneurs décédés après arrêt circulatoire suite à un arrêt cardiaque inopiné (DDAC-ACI)

   

Tableau P40. Evolution des causes de non greffe des greffons hépatiques prélevés sur les donneurs décédés après arrêt circulatoire suite à un arrêt cardiaque inopiné (DDAC-ACI)

   

Tableau P41. Marqueurs sériques d'infection chez les donneurs décédés après arrêt circulatoire suite à un arrêt
cardiaque inopiné (DDAC-ACI) recensés en 2015

   

Prélèvement sur donneur décédé après arrêt circulatoire suite à une limitation ou un arrêt des thérapeutiques (DDAC-LAT)

Tableau P42. Evolution de l'activité de recensement sur donneurs décédés après arrêt circulatoire suite à limitation ou arrêt des thérapeutiques (DDAC-LAT) par site de recensement

   

Tableau P43. Evolution de l'activité de prélèvement et de greffe pour les donneurs décédés après arrêt circulatoire suite à limitation ou arrêt des thérapeutiques (DDAC-LAT) en France

   

Tableau P44. Evolution des caractéristiques des donneurs décédés après arrêt circulatoire suite à limitation ou arrêt des thérapeutiques (DDAC-LAT) prélevés d'au moins un organe

   

Tableau P45. Délais de la procédure pour le prélèvement des donneurs décédés après arrêt circulatoire suite à limitation ou arrêt des thérapeutiques (DDAC-LAT) prélevés d'au moins un organe (période 2014-2015)

   

Greffe d'organes : données générales et méthodes

Quelques chiffres clés et leur contexte

Tableau G1. Evolution du nombre de nouveaux inscrits dans l'année de 2006 à 2015

   

Tableau G2. Evolution de l'âge des nouveaux inscrits dans l'année de 2006 à 2015 (Moyenne (écart type))

   

Tableau G3. Evolution du nombre d'inscrits au 1er janvier de 2006 à 2016

   

Tableau G4. Evolution du nombre de total candidats dans l'année de 2006 à 2015

   

Tableau G5. Evolution du nombre de décès en liste d'attente par année de 2006 à 2015

   

Tableau G6. Evolution du nombre de greffes d'organes effectuées de 2006 à 2015

   

Tableau G7. Evolution de l'âge des greffés dans l'année de 2006 à 2015 (Moyenne (écart type))

   

Tableau G8. Evolution du nombre de greffes d'organes combinées effectuées de 2006 à 2015

   

Tableau G9. Evolution des greffes effectuées chez des receveurs pédiatriques (âge à la greffe < 18 ans) pour chaque type d'organe (nombre et pourcentage sur l'ensemble de l'activité)

   

Tableau G10. Activité d'inscription et de greffe d'organes au niveau des schémas interrégionaux d'organisation sanitaire (SIOS) en 2015 : nombre d'inscrits au 1er janvier, nombre de nouveaux inscrits, nombre de greffes, niveau de pénurie (total des candidats pour un greffon)

   

Figure G1. Répartition territoriale des équipes de greffe d’organes adultes

 

Figure G2. Répartition territoriale des équipes de greffe d’organes pédiatriques

 

Bilan des données manquantes

Tableau G11. Cœur - Pourcentage de données manquantes du bilan médical à l’inscription pour les malades inscrits en 2015 et du bilan médical à la greffe pour les malades greffés en 2015

   

Tableau G12. Cœur-Poumon - Pourcentage de données manquantes du bilan médical à l’inscription pour les malades inscrits en 2015 et du bilan médical à la greffe pour les malades greffés en 2015

   

Tableau G13. Foie - Pourcentage de données manquantes du bilan médical à l’inscription pour les malades inscrits en 2015 et du bilan médical à la greffe pour les malades greffés en 2015

   

Tableau G14. Pancréas - Pourcentage de données manquantes du bilan médical à l’inscription pour les malades inscrits en 2015 et du bilan médical à la greffe pour les malades greffés en 2015

   

Tableau G15. Poumon - Pourcentage de données manquantes du bilan médical à l’inscription pour les malades inscrits en 2015 et du bilan médical à la greffe pour les malades greffés en 2015

   

Tableau G16. Rein - Pourcentage de données manquantes du bilan médical à l’inscription pour les malades inscrits en 2015 et du bilan médical à la greffe pour les malades greffés en 2015

   

Greffe cardiaque

Résumé de l’activité

Tableau C1. Evolution de la liste d'attente et devenir des candidats en greffe cardiaque

   

Devenir des candidats en liste d’attente

Liste d’attente

Tableau C2. Evolution des principaux indicateurs de pénurie en greffe cardiaque

   

Tableau C3. Caractéristiques démographiques des donneurs de coeur et des malades inscrits selon leur devenir en liste d'attente de greffe de coeur en 2015

   

Tableau C4. Caractéristiques des malades inscrits selon leur devenir en liste d'attente de greffe de cœur en 2015

   

Tableau C5. Evolution du nombre de nouveaux inscrits en attente d'une greffe cardiaque selon l’indication et incidence par million d'habitants

   

Cinétique de la liste d’attente

Tableau C6. Evolution sur les trois premières années du devenir des malades inscrits pour la première fois en liste d’attente cardiaque en 2012 (N=517)

   

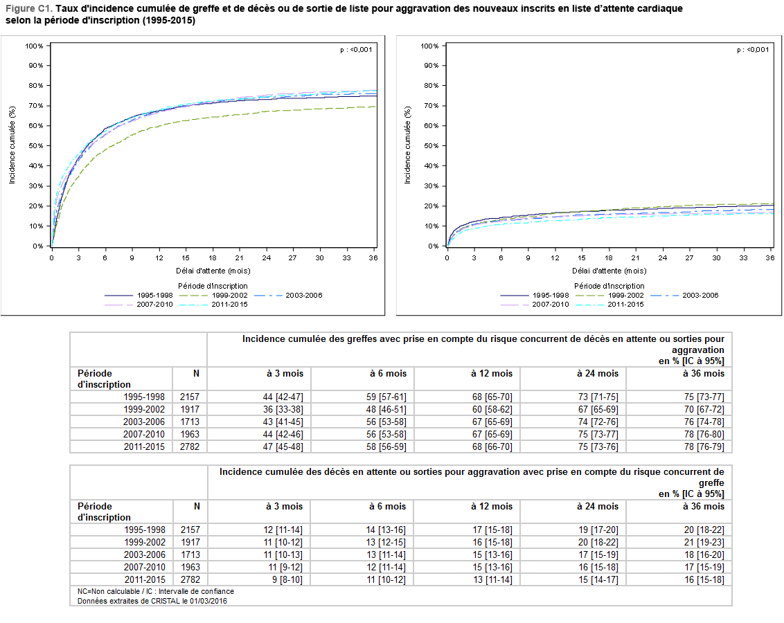
Figure C1. Taux d'incidence cumulée de greffe et de décès ou de sortie de liste pour aggravation des nouveaux inscrits en liste d’attente cardiaque selon la période d'inscription (1995-2015)

   

Tableau C7. Taux d'incidence cumulée de greffe des nouveaux inscrits sur liste d’attente cardiaque selon leurs caractéristiques (2010-2015)

   

Tableau C8. Taux d'incidence cumulée de greffe des nouveaux inscrits sur la liste cardiaque selon l'équipe de greffe (2010-2015)

   

Figure C2. Taux d'incidence cumulée de greffe et de décès ou sortie de liste pour aggravation des nouveaux inscrits en liste d’attente cardiaque (2010-2015)

   

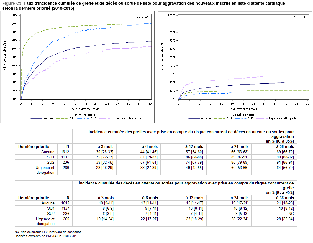
Figure C3. Taux d'incidence cumulée de greffe et de décès ou sortie de liste pour aggravation des nouveaux inscrits en liste d’attente cardiaque selon la dernière priorité (2010-2015)

   

Tableau C9. Evolution du nombre de décès sur la liste d’attente entre 2010 et 2015 chez les malades en attente d’une greffe de coeur

   

Tableau C10. Evolution du nombre de décès ou sorties de la liste pour aggravation de l'état médical sur la liste d’attente entre 2010 et 2015 chez les malades en attente d’une greffe de coeur

   

Prélèvement en vue de greffe

Tableau C11. Evolution du nombre de donneurs décédés en France et prélevés d’un greffon cardiaque parmi les donneurs prélevés d’au moins un organe

   

Tableau C12. Evolution de la répartition par âge des donneurs décédés prélevés d’un greffon cardiaque

   

Tableau C13. Age des greffons cardiaques prélevés sur donneurs décédés et greffés en France en 2015 selon l'âge du receveur au moment de la greffe

   

Attribution des greffons et priorités

Tableau C14. Evolution des demandes de priorité (2007-2015)

   

Tableau C15. Devenir des malades un mois après la première demande de SU1 effectuée et acceptée en 2015

   

Tableau C16. Evolution du devenir des malades selon la dernière priorité active par année de sortie de la liste d'attente

   

Tableau C17. Caractéristiques des malades selon le type de Super Urgence (demandes faites en 2015 et acceptées)

   

Activité de greffe

Tableau C18. Evolution du nombre de greffes cardiaques (1986-2015)

   

Tableau C19. Evolution du nombre de greffes cardiaques par indication et incidence par million d'habitants

   

Tableau C20. Activité d’inscription et de greffe cardiaque par équipe en activité en 2015

   

Tableau C21. Evolution des durées moyennes d’ischémie froide en heure (hors greffes combinées)

   

Survie post greffe

Figure C4. Courbe de survie du receveur après greffe cardiaque (1ère inscription en 1993- juin 2014)

   

Figure C5. Courbe de survie du greffon après une première greffe cardiaque (1993- juin 2014)

   

Figure C6. Courbe de survie du receveur selon la période de première greffe cardiaque (1993- juin 2014)

   

Figure C7. Courbe de survie du receveur après une première greffe cardiaque selon l'âge du receveur (1993- juin 2014)

   

Figure C8. Courbe de survie du receveur selon la dernière priorité (2004 – juin 2014)

   

Figure C9. Courbe de survie du receveur après retransplantation cardiaque (1993-juin 2014)

   

Figure C10. Courbe de survie du receveur après première greffe cardiaque selon l'âge du donneur (1993-juin 2014)

   

Tableau C22. Répartition des malades déclarés vivants, en fonction du délai écoulé depuis les dernières nouvelles : état de la base au 31 décembre 2015 des malades ayant eu une greffe cardiaque entre 1993 et 2014

   

Tableau C23. Estimation du nombre de malades porteurs d’un greffon cardiaque fonctionnel au 31 décembre 2015, par équipe de suivi

   

Tableau C24. Dysfonction précoce du greffon* pour les greffes réalisées en 2015

   

Tableau C25. Traitement de désimmunisation dans le mois précédent la greffe réalisée en 2015

   

Tableau C26. Traitement de désimmunisation après la greffe réalisée en 2015

   

Greffe pulmonaire et cardio-pulmonaire

Résumé de l’activité

Tableau PCP1a. Evolution de la liste d'attente et devenir des candidats en greffe cardio-pulmonaire

   

Tableau PCP1b. Evolution de la liste d'attente et devenir des candidats en greffe pulmonaire

   

Devenir des candidats en liste d’attente

Liste d’attente

Tableau PCP2a. Evolution des principaux indicateurs de pénurie en greffe cardio-pulmonaire

   

Tableau PCP2b. Evolution des principaux indicateurs de pénurie en greffe pulmonaire

   

Tableau PCP3a. Caractéristiques démographiques des donneurs de coeur-poumons et des malades inscrits selon leur devenir en liste d'attente de greffe de coeur-poumons en 2015

   

Tableau PCP3b. Caractéristiques démographiques des donneurs de poumon et des malades inscrits selon leur devenir en liste d'attente de greffe de poumon en 2015

   

Tableau PCP4a. Caractéristiques des malades inscrits selon leur devenir en liste d'attente de greffe de coeur-poumons en 2015

   

Tableau PCP4b. Caractéristiques des malades inscrits selon leur devenir en liste d'attente de greffe de poumon en 2015

   

Tableau PCP5. Evolution du nombre de nouveaux inscrits en attente d'une greffe pulmonaire et cardio-pulmonaire selon l’indication et incidence par million d'habitants

   

Cinétique de la liste d’attente

Tableau PCP6a. Evolution sur les trois premières années du devenir des malades inscrits pour la première fois en liste d’attente de greffe cardio-pulmonaire en 2012 (N= 24)

   

Tableau PCP6b. Evolution sur les trois premières années du devenir des malades inscrits en liste d’attente de greffe pulmonaire en 2012 (N=307)

   

Figure PCP1a. Taux d'incidence cumulée de greffe et de décès ou de sortie de liste d'attente de greffe cardio-pulmonaire pour aggravation selon la période d'inscription (1995-2015)

   

Figure PCP1b. Taux d'incidence cumulée de greffe et de décès ou de sortie de liste d'attente de greffe pulmonaire pour aggravation selon la période d'inscription (1995-2015)

   

Tableau PCP7. Taux d'incidence cumulée de greffe selon leurs caractéristiques des nouveaux inscrits sur la liste d'attente de greffe pulmonaire (2010-2015)

   

Tableau PCP8. Taux d'incidence cumulée de greffe selon l'équipe des nouveaux  inscrits sur la liste d'attente de greffe pulmonaire (2010-2015)

   

Figure PCP2a. Taux d'incidence cumulée de greffe et de décès ou de sortie de liste d'attente de greffe cardio-pulmonaire pour aggravation (2010-2015)

   

Figure PCP2b. Taux d'incidence cumulée de greffe et de décès ou de sortie de liste d'attente de greffe pulmonaire pour aggravation (2010-2015)

   

Figure PCP3a. Taux d'incidence cumulée de greffe et de décès ou de sortie de liste d'attente de greffe cardio-pulmonaire pour aggravation selon la priorité au moment de l'évènement (2010-2015)

   

Figure PCP3b. Taux d'incidence cumulée de greffe et de décès ou de sortie de liste d'attente de greffe pulmonaire pour aggravation selon la priorité au moment de l'évènement (2010-2015)

   

Tableau PCP9. Evolution du nombre de décès sur la liste d’attente de greffe cardio-pulmonaire et pulmonaire entre 2010 et 2015

   

Tableau PCP10. Evolution du nombre de décès ou de sortie de liste pour aggravation sur la liste d’attente de greffe cardio-pulmonaire et pulmonaire entre 2010 et 2015

   

Prélèvement en vue de greffe

Tableau PCP11. Evolution du nombre de donneurs décédés en état de mort encéphalique en France et prélevés d’un greffon cardio-pulmonaire ou pulmonaire parmi les donneurs prélevés d’au moins un greffon

   

Tableau PCP12. Evolution de la répartition par âge des donneurs décédés prélevés d’un greffon cardio-pulmonaire ou pulmonaire

   

Tableau PCP13a. Age des greffons cardio-pulmonaires prélevés sur donneurs décédés et greffés en France en 2015 selon l'âge du receveur au moment de la greffe

   

Tableau PCP13b. Age des greffons pulmonaires prélevés sur donneurs décédés et greffés en France en 2015 selon l'âge du receveur au moment de la greffe

   

Attribution des greffons et priorités

Tableau PCP14a. Evolution des demandes de priorité cardio-pulmonaire (2007-2015)

   

Tableau PCP14b. Tableau PCP14b. Evolution des demandes de priorité pulmonaire (2007-2015)

   

Tableau PCP15a. Devenir des malades selon la dernière priorité active par année de sortie de la liste d'attente de greffe cardio-pulmonaire (2007-2015)

   

Tableau PCP15b. Devenir des malades selon la dernière priorité active par année de sortie de la liste d'attente de greffe pulmonaire (2007-2015)

   

Tableau PCP16a. Caractéristiques des malades inscrits en liste d’attente de greffe cardio-pulmonaire dont la demande de super-urgence a été acceptée en 2015

   

Tableau PCP16b. Caractéristiques des malades inscrits en liste d’attente de greffe pulmonaire dont la demande de super-urgence a été acceptée en 2015

   

Activité de greffe

Tableau PCP17. Evolution de l’activité de greffe pulmonaire et cardio-pulmonaire

   

Tableau PCP18. Evolution du nombre des malades greffés d'un poumon ou d'un cœur-poumons selon l’indication et incidence par million d'habitants

   

Tableau PCP19a. Activité cardio-pulmonaire par équipe en activité en 2015

   

Tableau PCP19b. Activité pulmonaire par équipe en activité en 2014

   

Survie post greffe

Figure PCP4. Courbe de survie du receveur selon le type de greffe (première greffe en 1993-juin 2014)

   

Figure PCP5. Courbe de survie du greffon selon le type de greffe (première greffe en 1993-juin 2014)

   

Figure PCP6a. Courbe de survie du receveur cardio-pulmonaire selon la période de greffe

   

Figure PCP6b. Courbe de survie du receveur pulmonaire selon la période de greffe

   

Figure PCP7. Courbe de survie du receveur après greffe cardio-pulmonaire ou pulmonaire selon la pathologie (première greffe en 1993-juin 2014)

   

Figure PCP8a. Courbe de survie du receveur cardio-pulmonaire selon la priorité (2007 – juin 2014)

   

Figure PCP8b. Courbe de survie du receveur pulmonaire selon la priorité (2007 – juin 2014)

   

Figure PCP9a. Courbe de survie du receveur cardio-pulmonaire selon l'âge du donneur (1993 – juin 2014)

   

Figure PCP9b. Courbe de survie du receveur pulmonaire selon l'âge du donneur (1993 – juin 2014)

   

Tableau PCP20a. Répartition des malades déclarés vivants, en fonction du délai écoulé depuis les dernières nouvelles : état de la base au 31 décembre 2014 des malades ayant eu une greffe cardio-pulmonaire entre 1993 et 2014

   

Tableau PCP20b. Répartition des malades déclarés vivants, en fonction du délai écoulé depuis les dernières nouvelles : état de la base au 31 décembre 2014 des malades ayant eu une greffe pulmonaire entre 1993 et 2014

   

Tableau PCP21a. Estimation du nombre de malades porteurs d’un greffon cardio-pulmonaire fonctionnel au 31 décembre 2015, par équipe de suivi

   

Tableau PCP21b. Estimation du nombre de malades porteurs d’un greffon pulmonaire fonctionnel au 31 décembre 2014, par équipe de suivi

   

Tableau PCP22a. Traitement de désimmunisation dans le mois précédent la greffe cardio-pulmonaire réalisée en 2015

   

Tableau PCP22b. Traitement de désimmunisation dans le mois précédent la greffe pulmonaire réalisée en 2015

   

Tableau PCP23a. Traitement de désimmunisation après la greffe cardio-pulmonaire réalisée en 2015

   

Tableau PCP23b. Traitement de désimmunisation après la greffe pulmonaire réalisée en 2015

   

Greffe hépatique

Résumé de l’activité

Tableau F1. Evolution de la liste d'attente et devenir des candidats en greffe hépatique

   

Devenir des candidats en liste d’attente

Liste d’attente

Tableau F2. Evolution des principaux indicateurs de pénurie en greffe hépatique

   

Tableau F3. Caractéristiques démographiques des donneurs de foie et des malades inscrits selon leur devenir en liste d'attente de greffe de foie en 2015

   

Tableau F3Bis. Répartition de la composante du score foie des malades inscrits selon leur devenir en liste d'attente de greffe de foie en 2015

   

Tableau F4. Evolution du nombre de nouveaux inscrits en attente d'une greffe hépatique selon l’indication principale et incidence par million d'habitants (pmh)

   

Tableau F5. Répartition des MELD à l'inscription pour les receveurs adultes suivant la composante du score foie

   

Tableau F6. Répartition des MELD à l’allocation pour les receveurs adultes suivant la composante du score foie

   

Cinétique de la liste d’attente

Tableau F7. Evolution sur les trois premières années du devenir des malades inscrits pour la première fois en greffe hépatique en 2012 (N= 1544)

   

Figure F1. Taux d'incidence cumulée de greffe et de décès ou aggravation sur la liste d'attente de greffe hépatique selon la période d'inscription (1995-2015)

   

Figure F2. Taux d'incidence cumulée de greffe et de décès ou aggravation sur la liste d'attente de greffe hépatique selon la composante du score foie (2014-2015)

   

Figure F3. Taux d’incidence cumulée des greffes et des décès ou aggravation sur liste d’attente de greffe hépatique selon le MELD d'inscription pour les cirrhoses isolées (2014-2015)

   

Figure F4. Taux d'incidence cumulée de greffe et de décès ou aggravation sur la liste d'attente de greffe hépatique selon la priorité (2010-2015)

   

Tableau F8a. Incidence cumulée des greffes avec prise en compte du risque concurrent de décès en attente ou sorties pour aggravation selon les caractéristiques des malades inscrits à partir du 1er janvier 2010 sur la liste d'attente d'une greffe hépatique (Exclusion des malades en attente de greffe à partir de donneurs vivants )

   

Tableau F8b. Incidence cumulée des greffes avec prise en compte du risque concurrent de décès en attente ou sorties pour aggravation hors temps cumulé en CIT selon les caractéristiques des malades inscrits à partir du 1er janvier 2010 sur la liste d'attente d'une greffe hépatique (Exclusion des malades en attente de greffe à partir de donneurs vivants)

   

Tableau F9a. Taux d'incidence cumulée de greffe selon l'équipe de greffe des malades inscrits à partir du 1er janvier 2010 sur la liste d'attente d'une greffe hépatique*

   

Tableau F9b. Taux d'incidence cumulée selon l'équipe de greffe des malades inscrits à partir du 1er janvier 2010 sur la liste d'attente d'une greffe hépatique hors temps cumulé en CIT*

   

Tableau F10. Evolution du nombre de décès et des sorties pour aggravation de la maladie avant greffe sur la liste d'attente depuis 2010 chez les malades en attente d'une greffe hépatique

   

Tableau F11a. Proportion de CIT pour les patients en attente le 01 Janvier 2015

   

Tableau F11b. Délai total de CIT pour les patients en attente et en CIT le 01 Janvier 2015 selon la composante du score

   

Prélèvement en vue de greffe hépatique

Tableau F12. Evolution du nombre de donneurs prélevés d'un greffon hépatique parmi les donneurs décédés en état de mort encéphalique prélevés d'au moins un greffon

   

Tableau F13. Age des greffons hépatiques prélevés sur donneurs décédés et greffés en France en 2015 selon l'âge du receveur au moment de la greffe

   

Attribution des greffons et priorités

Tableau F14. Evolution des modalités d'attribution pour les greffes hépatiques réalisées à partir de donneurs décédés

   

Tableau F15. Evolution des demandes de priorité (2011-2015)

   

Tableau F16. Caractéristiques des malades dont la demande de priorité a été acceptée en 2015 selon le type de priorité

   

Tableau F17. Devenir des malades au 31 décembre 2015 dont la demande de priorité en 'super-urgence' ou en 'urgence' a été acceptée en 2014 ou 2015 selon l'âge du receveur

   

Tableau F18. Devenir des malades selon la dernière priorité active par année de sortie* de la liste d'attente (2012-2015)

   

Activité de greffe hépatique

Tableau F19. Evolution du nombre de greffes hépatiques

   

Tableau F20. Evolution du nombre de greffés hépatiques selon l’indication et incidence par million d'habitants (pmh)

   

Tableau F21. Répartition des malades greffés selon le type de donneur et la partie greffée chez les receveurs adultes et pédiatriques (âge à l'inscription)

   

Tableau F22. Inscription et greffe hépatiques effectuées par équipe en activité en 2015

   

Tableau F23. Nombre de greffes hépatiques par équipe et par année

   

Tableau F24. Evolution du nombre de greffes hépatiques combinées

   

Greffe hépatique à partir de donneur vivant

Tableau F25. Evolution de l'activité de prélèvement de greffons hépatiques issus de donneurs vivants (hors domino)

   

Tableau F26. Evolution du lien de parenté avec le donneur et de l’âge du receveur pour les greffes avec donneur vivant

   

Greffe hépatique à partir de donneur décédé après arrêt circulatoire

Tableau F27. Nombre de greffes hépatiques à partir de donneur DDAC par équipe par type de donneur et par année (2010-2015

   

Survie post greffe

Tableau F28. Répartition des malades déclarés vivants, en fonction du délai écoulé depuis les dernières nouvelles : état de la base au 31 décembre 2015 des malades ayant eu une greffe hépatique entre 1993 et 2014

   

Figure F5. Survie globale du receveur après greffe hépatique (1993-2014)

   

Figure F6. Survie globale du greffon après une première greffe hépatique (1993-2014)

   

Figure F7. Courbe de survie du receveur hépatique selon la période de greffe (1990-2014)

   

Figure F8. Survie du receveur après greffe hépatique selon la pathologie à la première inscription (1993-2014)**

   

Figure F9. Survie du receveur après greffe hépatique selon l'âge du receveur (1993-2014)**

   

Figure F10. Survie du receveur après greffe hépatique selon l'âge du donneur (1993-2014)**

   

Figure F11. Survie du receveur après greffe hépatique selon l’inscription ou non en super-urgence (1993-2014)**

   

Figure F12. Survie du receveur après une retransplantation précoce, péri-opératoire ou tardive du foie (1993-2014)**

   

Figure F13. Courbe de survie du receveur hépatique selon le type de greffon(1993-2014)**

   

Tableau F29. Estimation du nombre de malades porteurs de greffons fonctionnels au 31 décembre 2015 par équipe de suivi

   

Greffe rénale

Résumé de l’activité

Tableau R1. Evolution de la liste d'attente et devenir des candidats en greffe rénale

   

Devenir des candidats en liste d’attente

Liste d’attente

Tableau R2. Evolution des principaux indicateurs de pénurie de greffe rénale

   

Tableau R3. Caractéristiques démographiques des donneurs de rein et des malades inscrits selon leur devenir en liste d'attente de greffe rénale en 2015

   

Tableau R4. Caractéristiques démographiques des malades inscrits selon leur devenir en liste d'attente de greffe rénale en 2015

   

Tableau R5. Evolution du nombre de nouveaux inscrits en attente d'une greffe rénale selon la néphropathie d'origine et incidence par million d'habitants (pmh)

   

Tableau R6. Comorbidités parmi les nouveaux malades inscrits en greffe rénale selon leur âge à l'inscription (2010-2015)

   

Tableau R7. Evolution du nombre de nouveaux inscrits en attente d'une greffe rénale préemptive

   

Cinétique de la liste d’attente

Tableau R8. Evolution sur les trois premières années du devenir des malades inscrits pour la première fois en greffe rénale en 2012 (N=3237)

   

Figure R1. Taux d'incidence cumulée de greffe et de décès ou aggravation sur la liste d'attente de greffe rénale selon la période d'inscription (Exclusion des malades candidats et greffés à partir d’un greffon de donneur vivant et des malades ayant bénéficié d’une greffe combinée rein et organe vital)

   

Tableau R9. Incidence cumulée des greffes avec prise en compte du risque concurrent de décès en attente ou sorties pour aggravation selon les caractéristiques des malades inscrits à partir du 1er janvier 2010 sur la liste d'attente d'une greffe rénale (Exclusion des malades en attente de greffe à partir de donneurs vivants et des greffes combinées rein plus un organe vital)

   

Tableau R10. Incidence cumulée des greffes avec prise en compte du risque concurrent de décès en attente ou sorties pour aggravation hors temps cumulé en CIT selon les caractéristiques des malades inscrits à partir du 1er janvier 2010 sur la liste d'attente d'une greffe rénale (Exclusion des malades en attente de greffe à partir de donneurs vivants et des greffes combinées rein plus un organe vital)

   

Tableau R11. Evolution de l'incidence cumulée des greffes avec prise en compte du risque concurrent de décès en attente ou sorties pour aggravation selon les caractéristiques des malades inscrits sur la liste d'attente d'une greffe rénale (Exclusion des malades en attente de greffe à partir de donneurs vivants et des greffes combinées rein plus un organe vital)

   

Tableau R12. Taux d'incidence cumulée selon l'équipe de greffe des malades inscrits à partir du 1er janvier 2010 sur la liste d'attente d'une greffe rénale (Exclusion des malades en attente de greffe à partir de donneurs vivants et des greffes combinées rein plus un organe vital)

   

Prélèvement en vue de greffe rénale

Tableau R13. Evolution de l’activité de prélèvement en France de greffon rénal depuis 1997

   

Tableau R14. Age des greffons prélevés sur donneurs décédés et greffés en France en 2015 selon l'âge du receveur

   

Tableau R15. Evolution des caractéristiques des donneurs décédés en mort encéphalique en France dont au moins un rein a été greffé (2006-2015)

   

Activité de greffe rénale

Tableau R16. Evolution de l'activité de greffe rénale depuis 1987 selon le type de donneur

   

Tableau R17. Evolution du nombre de greffes rénales selon la néphropathie d'origine et incidence par million d'habitants (pmh)

   

Tableau R18. Evolution du nombre de greffes rénales préemptives (exclusion des retransplantations)

   

Tableau R19. Nombre de greffes rénales effectuées par équipe en 2015

   

Tableau R20. Evolution des durées moyennes d’ischémie froide en heure (hors donneur vivant, donneur décédé après arrêt circulatoire et greffe combinée)

   

Tableau R21. Evolution des durées moyennes d’ischémie froide en heure pour les greffes rénales à partir des donneurs décédés après arrêt circulatoire

   

Tableau R22. Durée moyenne d’ischémie froide en heure pour l’année 2015 par équipe de greffe (hors donneur vivant, donneur décédé après arrêt circulatoire non contrôlé et greffe combinée)

   

Tableau R23. Evolution depuis 2011 du nombre de greffes selon que le rein a été mis sous machine à perfusion ou non et selon le type de donneur décédé

   

Tableau R24. Nombre de greffes par équipe selon que le rein a été mis sous machine à perfusion ou non et selon le type de donneur décédé en état de mort encéphalique (2011-2015)

   

Modalités d’attribution

Tableau R25. Modalités d’attribution pour les greffes rénales réalisées en 2015 à partir de donneurs décédés en état de mort encéphalique

   

Tableau R26. Evolution des modalités d’attribution pour les greffes rénales réalisées à partir de donneurs décédés en état de mort encéphalique

   

Tableau R27. Caractéristiques des malades hyper-immunisés greffés en 2015 par catégorie d'allocation H3, HAP, HFM

   

Tableau R28. Caractéristiques des malades ayant eu au moins une fois depuis leur inscription un taux de greffon incompatible à 85% ou plus, par année d'inscription

   

Greffe rénale combinée à la greffe d'autres organes

Tableau R29. Evolution du nombre de greffes combinées à une greffe rénale

   

Donneur vivant

Prélèvement à partir de donneur vivant

Tableau R30. Evolution de l'activité de prélèvement rénal sur donneur vivant

   

Tableau R31. Evolution de la part de la cœlioscopie dans le prélèvement du donneur

   

Greffe rénale à partir de donneur vivant

Tableau R32. Evolution de l'activité de greffe rénale selon le type de donneur

   

Tableau R33. Evolution depuis 2005 du nombre de greffes rénales avec donneur vivant selon le lien entre le donneur et le receveur

   

Tableau R34. Evolution de l'âge des donneurs et des receveurs (exclusion des donneurs de résidus opératoires)

   

Tableau R35. Evolution du nombre de greffes de rein à partir de donneur vivant ABO incompatibles entre 2004* et 2014

   

Suivis des donneurs vivants post don

Tableau R36. Fréquences des douleurs postopératoires après le prélèvement chez les donneurs vivants de rein selon l'âge et le type d'intervention entre 2004* et 2014

   

Tableau R37. Evolution de la fréquence des complications péri-opératoires chez les donneurs vivants de rein

   

Tableau R38. Taux de suivi des donneurs vivants par équipe de greffe

   

Tableau R39. Débit de filtration glomérulaire (DFG) moyen des donneurs vivants de reins selon le temps de suivi (méthode MDRD sans l'origine ethnique)

   

Don croisé

Tableau R40. Evolution des inscriptions et greffes en don croisé

   

Tableau R41. Caractéristiques des donneurs et des receveurs des paires inscrites entre le 01/01/2013 et le 31/12/2015

   

Tableau R42. Nombre de paires inscrites entre le 01/01/2013 et le 31/12/2015 en don croisé selon la relation entre le donneur et le receveur

   

Survie post greffe

Survie greffon

Figure R2. Survie du greffon rénal selon la période de greffe

   

Figure R3. Survie globale du greffon rénal (1993-2014)

   

Figure R4a. Survie du greffon rénal selon l'âge du donneur (1993-2014)

   

Figure R4b. Survie du greffon rénal avec censure des décès selon l'âge du donneur (1993-2014)

   

Figure R5. Survie du greffon rénal selon l'origine du greffon (1993-2014)

   

Figure R6. Survie du greffon rénal selon l'origine du greffon (2007-2014)

   

Figure R7. Survie du greffon rénal selon le rang de la greffe (1993-2014)

   

Figure R8a. Survie du greffon rénal selon l'âge du receveur (greffes 1993-2014)

   

Figure R8b. Survie du greffon rénal avec censure des décès selon l'âge du receveur (greffes 1993-2014)

   

Figure R9. Survie du greffon rénal selon l'immunisation du receveur (03/02/2009-2014)

   

Figure R10. Survie du greffon rénal issu de donneur décédé, en fonction du nombre d’incompatibilités HLA A, B et DR avec exclusion des retransplantations (2008-2014)

   

Figure R11. Survie du greffon rénal issu de donneur décédé, en fonction du nombre d’incompatibilités HLA DR et DQ avec exclusion des retransplantations (2008-2014)

   

Figure R12. Survie du greffon rénal selon la présence d'anticorps anti-HLA dirigés contre le HLA du donneur (hors donneur vivant, donneur décédé après arrêt circulatoire, 2009-2014)

   

Figure R13. Survie du greffon rénal issu de donneur vivant selon la présence d'anticorps anti-HLA dirigés contre le HLA du donneur (2010-2014)

   

Figure R14. Survie du greffon rénal issu de donneur vivant selon le lien entre le donneur et le receveur (2004-2014)

   

Figure R15. Survie du greffon rénal à partir de donneur vivant selon la compatibilité ABO (2009-2014)

   

Survie receveur

Figure R16. Survie du receveur après greffe rénale selon la période

   

Figure R17. Survie du receveur après greffe rénale selon l'âge à la greffe (1996-2014)

   

Figure R18. Survie du receveur après greffe rénale selon l'origine du greffon (1996-2014)

   

Tableau R43. Répartition des malades déclarés vivants avec un greffon fonctionnel dans les différentes équipes de greffe rénale, en fonction du délai écoulé depuis les dernières nouvelles : état de la base au 31 décembre 2015 des malades ayant eu une greffe rénale entre 1993 et 2014

   

Tableau R44. Estimation du nombre de malades porteurs d’un greffon rénal fonctionnel au 31 décembre 2015, par équipe de suivi

   

Tableau R45. Analyse de la non fonction primaire du greffon après greffe selon le type de donneur (2008-2014)

   

Tableau R46. Analyse du retard de fonction après greffe selon le type de donneur (2008-2014)

   

Tableau R47. Analyse du débit de filtration estimé à 1 an selon le type de donneur pour les greffés entre 2008 et 2014 (exclusion des arrêts de fonction et décès après greffe avant 1 an)

   

Greffe pancréatique

Résumé de l’activité

Tableau PA1. Evolution de la liste d'attente et devenir des candidats en greffe pancréatique

   

Devenir des candidats en liste d’attente

Liste d’attente

Tableau PA2. Caractéristiques démographiques des donneurs de pancréas et, des malades inscrits selon leur devenir en liste d'attente de greffe pancréatique en 2015

   

Tableau PA3. Caractéristiques démographiques des malades inscrits selon leur devenir en liste d'attente de greffe pancréatique en 2015 (Restriction aux malades avec une inscription en greffe rénale pendant l'attente en greffe pancréatique)

   

Cinétique de la liste d’attente de greffe combinée pancréas-rein

Tableau PA4. Evolution sur les trois premières années du devenir des malades inscrits pour la première fois en greffe pancréatique en 2012 (N=105)

   

Figure PA1. Taux d'incidence cumulée de greffe et de décès ou aggravation sur la liste d'attente de greffe pancréatique selon la période d'inscription (exclusion des greffes de pancréas isolé ou de pancréas combiné à un autre organe que le rein)

   

Tableau PA5. Incidence cumulée des greffes avec prise en compte du risque concurrent de décès en attente ou sorties pour aggravation selon les caractéristiques des malades inscrits à partir du 1er janvier 2008 sur la liste d'attente d'une greffe pancréatique (exclusion des greffes de pancréas isolé ou de pancréas combiné à un autre organe que le rein)

   

Tableau PA6. Taux d'incidence cumulée selon l'équipe de greffe des malades inscrits à partir du 1er janvier 2008 sur la liste d'attente d'une greffe  pancréatique (exclusion des greffes de pancréas isolé ou de pancréas combiné à un autre organe que le rein)

   

Prélèvement en vue de greffe pancréatique

Tableau PA7. Evolution du nombre de donneurs décédés en état de mort encéphalique et prélevés d’un greffon pancréatique parmi les donneurs d’au moins un greffon

   

Tableau PA8. Age des greffons prélevés sur donneurs décédés et greffés en France en 2015 selon l'âge du receveur dans le cadre des greffes pancréatiques

   

Tableau PA9. Evolution de l'âge des greffons prélevés sur donneurs décédés et greffés en France et de l'âge du receveur dans le cadre des greffes pancréatiques

   

Activité de greffe pancréatique

Tableau PA10. Evolution de l’activité de greffe pancréatique depuis 2000

   

Tableau PA11. Nombre de greffes pancréatiques par équipe en 2015

   

Tableau PA12. Durée moyenne d’ischémie froide du greffon pancréatique lors d’une greffe combinée rein-pancréas pour l’année 2015 et par équipe de greffe

   

Tableau PA13. Evolution des greffes pancréatiques par équipe (Pancréas seul ou pancréas-rein)

   

Survie post greffe

Tableau PA14. Répartition des malades déclarés vivants avec un greffon fonctionnel dans les différentes équipes de greffe pancréatique, en fonction du délai écoulé depuis les dernières nouvelles : état de la base au 31 décembre 2015 des malades ayant eu une greffe pancréatique entre 1993 et 2014 (Pancréas seul ou pancréas-rein)

   

Figure PA2. Survie globale du greffon rénal et du greffon pancréatique après greffe combinée de rein-pancréas (1996-2014)

   

Figure PA3. Survie du greffon pancréatique après greffe combinée de rein-pancréas selon la période de greffe

   

Figure PA4. Survie du greffon pancréatique selon type de greffe pancréatique (1996-2014)

   

Tableau PA15. Estimation du nombre de malades porteurs d’un greffon pancréatique fonctionnel au 31 décembre 2015, par équipe de suivi (Pancréas seul ou pancréas-rein)

   

Greffe d’îlots de Langerhans

Tableau IL1. Evolution de la liste d'attente et devenir des candidats en greffe d’îlots de Langerhans

   

Tableau IL2. Evolution de l’activité de greffe d’îlots de Langerhans

   

Tableau IL3. Evolution des injections multi donneurs de greffe d’îlots de Langerhans

   

Tableau IL4. Liste d'attente et devenir des candidats en greffe d'îlots de Langerhans par équipe en 2015

   

Tableau IL5. Répartition des malades déclarés vivants avec un greffon fonctionnel dans les différentes équipes de greffe d’îlots de Langerhans, en fonction du délai écoulé depuis les dernières nouvelles : état de la base au 31 décembre 2015 des malades ayant eu une greffe d’îlots de Langerhans entre 2008 et 2014

   

Tableau IL6. Suivis après la première greffe d’îlots de Langerhans (2008-2014)

   

Tableau IL7. Activité des laboratoires d’isolement d’îlots de Langerhans à partir des donneurs prélevés en France (source : rapport d'activité d'isolement d’îlots de Langerhans de 2011 à 2014)

   

Tableau IL8. Activité des laboratoires d’isolement d’îlots de Langerhans à partir des donneurs prélevés en France (source : rapport d'activité d'isolement d’îlots de Langerhans à partir de 2015)

   

Greffe pancréatique et greffe d’îlots de Langerhans

Tableau PAIL1. Evolution de la liste d'attente et devenir des candidats en greffe pancréatique et en greffe d’îlots de Langerhans

   

Greffe intestinale

Tableau I1. Evolution de la liste d'attente et devenir des candidats à la greffe intestinale

   

Tableau I2. Evolution du nombre de greffes intestinales

   

Greffe pédiatrique

Quelques chiffres clés

Tableau Péd1. Evolution du nombre d'inscrits pédiatriques au 1er janvier de 2006 à 2016

   

Tableau Péd2. Evolution du nombre de nouveaux inscrits pédiatriques dans l'année de 2006 à 2015

   

Tableau Péd3. Evolution du nombre de décès en liste d'attente des malades pédiatriques par année de 2006 à 2015

   

Tableau Péd4. Evolution du nombre de greffes pédiatriques d'organes effectuées de 2006 à 2015

   

Prélèvement sur donneur pédiatrique en état de mort encéphalique

Résumé de l’activité

Tableau PP1. Evolution du devenir des donneurs décédés en état de mort encéphalique mineurs au moment du recensement

   

Tableau PP2. Evolution des causes de décès des donneurs décédés en état de mort encéphalique mineurs au moment du recensement

   

Greffe cardiaque pédiatrique

Résumé de l’activité

Tableau Péd C1. Evolution de la liste d'attente et devenir des malades inscrits en liste d’attente de greffe cardiaque avant l'âge de 18 ans

   

Devenir des candidats en liste d’attente

Tableau Péd C2. Evolution des principaux indicateurs de pénurie des malades inscrits en attente de greffe cardiaque avant l'âge de 18 ans

   

Tableau Péd C3. Caractéristiques démographiques des donneurs de cœur et des malades inscrits avant l'âge de 18 ans selon leur devenir en liste d'attente de greffe de coeur en 2015

   

Tableau Péd C4. Caractéristiques des malades inscrits avant l'âge de 18 ans selon leur devenir en liste d'attente de greffe de coeur en 2015

   

Tableau Péd C5. Evolution du nombre de nouveaux malades pédiatriques en attente d'une greffe de coeur selon l'indication

   

Figure Péd C1. Taux d'incidence cumulée de greffe et de décès ou de sortie de liste pour aggravation des nouveaux inscrits avant l’âge de 18 ans en attente de greffe cardiaque selon la période d'inscription (1995-2015)

   

Figure Péd C2. Taux d'incidence cumulée de greffe et de décès ou de sortie de liste pour aggravation des nouveaux inscrits avant l’âge de 18 ans en attente de greffe cardiaque selon la période d'inscription (2010-2015)

   

Figure Péd C3. Taux d'incidence cumulée de greffe et de décès ou de sortie de liste pour aggravation des nouveaux inscrits en attente de greffe cardiaque selon l'âge à l'inscription (2010-2015)

   

Prélèvement en vue de greffe

Tableau Péd C6. Evolution du nombre de donneurs décédés et prélevés d'un greffon cardiaque en France selon l'âge du donneur

   

Tableau Péd C7. Evolution du nombre de greffons cardiaques pédiatriques prélevés en France et greffés selon l'âge du donneur

   

Tableau Péd C8. Age des donneurs prélevés d’un greffon cardiaque et greffé en France en 2015 selon l'âge du receveur au moment de la greffe

   

Activité de greffe

Tableau Péd C9. Evolution de l'activité de greffe cardiaque chez les malades inscrits avant l'âge de 18 ans selon l'âge au moment de la greffe

   

Tableau Péd C10. Evolution du nombre de greffés pédiatriques de cœur selon l'indication

   

Tableau Péd C11. Nombre de greffes cardiaques effectuées en 2015 par équipe chez des malades inscrits avant l'âge de 18 ans

   

Tableau Péd C12. Evolution du nombre de greffes cardiaques par équipe chez des malades inscrits avant l'âge de 18 ans

   

Survie post greffe

Figure Péd C4. Survie du receveur pédiatrique après greffe cardiaque selon l'âge à l'inscription (1985-juin 2014)

   

Figure Péd C5. Survie du receveur pédiatrique après greffe cardiaque selon la période de greffe (1985-juin 2014)

   

Greffe pulmonaire et cardio-pulmonaire pédiatrique

Résumé de l’activité

Tableau Péd PCP1a. Evolution de la liste d'attente et devenir des malades inscrits en attente de greffe cardio-pulmonaire avant l'âge de 18 ans

   

Tableau Péd PCP1b. Evolution de la liste d'attente et devenir des malades inscrits en attente de greffe pulmonaire avant l'âge de 18 ans

   

Devenir des candidats en liste d’attente

Tableau Péd PCP2a. Evolution des principaux indicateurs de pénurie des malades inscrits en attente de greffe cardio-pulmonaire avant l'âge de 18 ans

   

Tableau Péd PCP2b. Evolution des principaux indicateurs de pénurie des malades inscrits en attente de greffe pulmonaire avant l'âge de 18 ans

   

Tableau Péd PCP3. Caractéristiques démographiques des donneurs de poumon et de coeur-poumons, et des malades inscrits avant l'âge de 18 ans selon leur devenir en liste d'attente de greffe pulmonaire et cardio-pulmonaire en 2015

   

Tableau Péd PCP4. Caractéristiques des malades inscrits avant l’âge de 18 ans selon leur devenir en liste d'attente de greffe pulmonaire et cardio-pulmonaire en 2015

   

Tableau Péd PCP5. Evolution du nombre de nouveaux malades pédiatriques inscrits en attente d'une greffe pulmonaire ou cardio-pulmonaire selon l'indication

   

Figure Péd PCP1. Taux d'incidence cumulée de greffe et de décès ou de sortie de liste pour aggravation des nouveaux inscrits en attente de greffe cardio-pulmonaire pédiatriques et adultes (2010-2015)

   

Figure Péd PCP2. Taux d'incidence cumulée de greffe et de décès ou de sortie de liste pour aggravation des nouveaux inscrits en attente de greffe pulmonaire pédiatriques et adultes (2010-2015)

   

Figure Péd PCP3. Taux d'incidence cumulée de greffe et de décès ou de sortie de liste pour aggravation des nouveaux inscrits avant l’âge de 18 ans en attente de greffe pulmonaire selon la période d'inscription (1995-2015)

   

Prélèvement en vue de greffe

Tableau Péd PCP6. Evolution du nombre de donneurs décédés et prélevés de greffons pulmonaires et cardiopulmonaires en France selon l'âge du donneur

   

Tableau Péd PCP7. Evolution du nombre de greffons cardio-pulmonaires et pulmonaires pédiatriques prélevés en France et greffés selon l'âge du donneur

   

Tableau Péd PCP8. Age des greffons pulmonaires et cardio-pulmonaires prélevés sur donneurs décédés et greffés en France en 2015 selon l'âge du receveur au moment de la greffe

   

Activité de greffe

Tableau Péd PCP9. Evolution de l'activité de greffe pulmonaire et cardio-pulmonaire des malades inscrits en attente avant l'âge de 18 ans selon l'âge au moment de la greffe

   

Tableau Péd PCP10. Evolution du nombre de malades pédiatriques greffés d'une greffe pulmonaire ou cardio-pulmonaire selon l'indication

   

Tableau Péd PCP11. Nombre de greffes cardio-pulmonaires et pulmonaires effectuées en 2015 par équipe chez des malades âgés de moins de 18 ans au moment de l'inscription

   

Tableau Péd PCP12. Evolution du nombre de greffes cardio-pulmonaires et pulmonaires par équipe chez des malades inscrits avant l'âge de 18 ans

   

Survie post greffe

Figure Péd PCP4. Survie du receveur pédiatrique après greffe cardio-pulmonaire selon la période de greffe (1987-juin 2014)

   

Figure Péd PCP5. Survie du receveur pédiatrique après greffe pulmonaire selon la période de greffe (1988-juin 2014)

   

Conclusion

Greffe hépatique pédiatrique

Résumé de l’activité

Tableau Péd F1. Evolution de la liste d'attente et du devenir des candidats en greffe hépatique pour les malades inscrits avant l'âge de 18 ans

   

Inscription en attente et devenir des candidats

Tableau Péd F2. Evolution des principaux indicateurs de pénurie en greffe hépatique

   

Tableau Péd F3. Caractéristiques des donneurs de foie et des malades inscrits avant l'âge de 18 ans selon leur devenir en liste d'attente de greffe de foie en 2015

   

Tableau Péd F4. Evolution du nombre de nouveaux malades pédiatriques en attente d'une greffe de foie selon l'indication

   

Tableau Péd F5. Evolution du nombre de décès avant greffe enregistrés annuellement sur la liste d'attente depuis 2010 chez les malades pédiatriques en attente d'une greffe hépatique

   

Figure Péd F1. Taux d'incidence cumulée de greffe et de décès ou aggravation sur la liste d'attente de greffe hépatique selon la période d'inscription (1995-2015)

   

Figure Péd F2. Taux d'incidence cumulée de greffe et de décès ou aggravation sur la liste d'attente de greffe hépatique chez les adultes et les enfants (2010-2015)

   

Figure Péd F3. Taux d'incidence cumulée de greffe et de décès ou aggravation sur la liste d'attente de greffe hépatique selon l’âge à l'inscription (2010-2015)

   

Prélèvement en vue de greffe

Tableau Péd F6. Evolution du nombre de donneurs décédés et prélevés d'un foie en France selon l'âge du donneur

   

Tableau Péd F7. Evolution du nombre de greffons pédiatriques prélevés en France sur donneurs décédés, et greffés, selon l'âge du donneur

   

Tableau Péd F8. Age des greffons hépatiques prélevés sur donneurs décédés et greffés en France en 2015 selon l'âge du receveur au moment de la greffe

   

Activité de greffe

Tableau Péd F9. Evolution de l'activité de greffe hépatique des malades inscrits avant l'âge de 18 ans selon l'âge à la greffe

   

Tableau Péd F10. Evolution de l'activité de greffe hépatique des malades inscrits avant l'âge de 18 ans selon le type de donneur

   

Tableau Péd F11. Nombre de greffes hépatiques effectuées en 2015 par équipe selon le type de greffon chez des malades inscrits avant l'âge de 18 ans

   

Tableau Péd F12. Evolution du nombre de greffes hépatiques par équipe chez des malades inscrits avant l'âge de 18 ans

   

Survie post greffe

Figure Péd F4. Survie du receveur pédiatrique après greffe hépatique selon l'âge à l'inscription  (1985-2014)

   

Figure Péd F5. Survie du receveur après greffe hépatique pédiatrique selon la période de greffe (1985-2014)

   

Figure Péd F6. Survie du receveur après greffe hépatique pédiatrique selon le type de donneur  (1985-2014)

   

Greffe rénale pédiatrique

Résumé de l’activité

Tableau Péd R1. Evolution de la liste d'attente et devenir des candidats en greffe rénale pour les malades inscrits avant l'âge de 18 ans

   

Devenir des candidats en liste d’attente

Tableau Péd R2. Evolution des indicateurs de pénurie de greffe rénale des malades inscrits avant l'âge de 18 ans

   

Tableau Péd R3. Caractéristiques démographiques des donneurs de rein et des malades inscrits avant l'âge de 18 ans selon leur devenir en liste d'attente de greffe rénale en 2015

   

Tableau Péd R4. Caractéristiques démographiques des malades inscrits avant l'âge de 18 ans selon leur devenir en liste d'attente de greffe rénale en 2015

   

Tableau Péd R5. Evolution du nombre de nouveaux malades pédiatriques inscrits en attente d'une greffe rénale selon la néphropathie d'origine

   

Tableau Péd R6. Evolution du nombre de nouveaux inscrits avant l'âge de 18 ans en attente d'une greffe rénale préemptive

   

Tableau Péd R7. Evolution des durées moyennes d’ischémie froide en heure (hors donneur vivant, donneur décédé après arrêt circulatoire non contrôlé et greffe combinée)

   

Cinétique de la liste d’attente

Figure Péd R1. Taux d'incidence cumulée de greffe et de décès ou aggravation sur la liste d'attente de greffe rénale des malades pédiatriques selon la période d'inscription (1996-2015)

   

Tableau Péd R8. Incidence cumulée des greffes avec prise en compte du risque concurrent de décès en attente ou sorties pour aggravation selon les caractéristiques des malades pédiatriques inscrits à partir du 1er janvier 2010 sur la liste d'attente d'une greffe rénale (Exclusion des malades en attente de greffe à partir de donneurs vivants et des greffes combinées rein plus un organe vital)

   

Tableau Péd R9. Incidence cumulée des greffes avec prise en compte du risque concurrent de décès en attente ou sorties pour aggravation hors temps cumulé en CIT selon les caractéristiques des malades pédiatriques inscrits à partir du 1er janvier 2010 sur la liste d'attente d'une greffe rénale (Exclusion des malades en attente de greffe à partir de donneurs vivants et des greffes combinées rein plus un organe vital)

   

Prélèvement en vue de greffe

Tableau Péd R10. Evolution du nombre de donneurs décédés de mort encéphalique et prélevés d'un rein en France selon l'âge du donneur

   

Tableau Péd R11. Evolution du nombre de greffons rénaux pédiatriques prélevés en France et greffés selon l'âge du donneur (restriction aux donneurs décédés de mort encéphalique)

   

Tableau Péd R12. Age des greffons prélevés sur donneurs décédés de mort encéphalique et greffés en France en 2015 selon l'âge du receveur

   

Tableau Péd R13. Evolution du nombre de greffons attribués aux receveurs pédiatriques selon l'âge du donneur (restriction aux donneurs décédés de mort encéphalique)

   

Tableau Péd R14. Evolution du nombre de donneurs attribués aux receveurs pédiatriques selon le ratio poids du donneur sur poids du receveur (restriction aux donneurs décédés de mort encéphalique)

   

Activité de greffe

Tableau Péd R15. Evolution de l'activité de greffe rénale des malades inscrits en attente avant l'âge de 18 ans selon l'âge à la greffe et le type de donneur

   

Tableau Péd R16. Evolution du nombre des malades inscrits avant l'âge de 18 ans et greffés d'un rein selon la néphropathie d'origine

   

Tableau Péd R17. Evolution du nombre de greffes rénales préemptives

   

Tableau Péd R18. Nombre de greffes rénales effectuées en 2015 par équipe chez des malades âgés de moins de 18 ans au moment de l'inscription

   

Tableau Péd R19. Evolution du nombre de greffes rénales combinées pédiatriques

   

Tableau Péd R20. Evolution du nombre de greffes rénales par équipe chez des malades inscrits avant l'âge de 18 ans

   

Survie post greffe

Figure Péd R2. Survie du greffon après greffe rénale pédiatrique selon la période de greffe (1985-2014)

   

Figure Péd R3. Survie du greffon après greffe rénale pédiatrique selon l'âge à la greffe (1985-2014)

   

Figure Péd R4. Survie du greffon après greffe rénale pédiatrique selon l'âge du donneur (1985-2014)

   

Figure Péd R5. Survie du greffon après greffe rénale pédiatrique selon l'origine du greffon (1985-2014)

   

Figure Péd R6. Survie du greffon rénal selon le rang de la greffe (1985-2014)

   

Figure Péd R7. Survie du greffon rénal à partir de donneur décédé, en fonction du nombre d’incompatibilités HLA DR (greffes 1985-2014)

   

Figure Péd R8. Survie du receveur après greffe rénale selon la période(1985-2014)

   

Tableau Péd R21. Analyse de la non fonction primaire du greffon après greffe selon le type de donneur (2008-2014)

   

Tableau Péd R22. Analyse du retard de fonction après greffe selon le type de donneur (2008-2014)

   

Tableau Péd R23. Analyse du débit de filtration estimé à 1 an selon le type de donneur pour les greffés entre 2008 et 2014 (exclusion des arrêts de fonction et décès après greffe avant 1 an)

   

Tableau Péd R24. Analyse du débit de filtration estimé à 5 ans selon le type de donneur pour les greffés entre 2003 et 2009 (exclusion des arrêts de fonction et décès après greffe avant 5 ans)

   

Activité régionale de prélèvement et de greffe d'organe en 2014

Annexes

Tableau A1. Projections 2015 de la population française par département et par ZIPR

   

Tableau A2. Liste des centres autorisés à prélever en France au 31 décembre 2015 selon l'autorisation

   

Cellules souches hématopoïétiques

Activité des centres de prélèvement de CSH

Prélèvement de CSH du sang périphérique par cytaphérèse (CSHP)

Les centres de prélèvement de CSHP

Figure CSH P1. Localisation des centres de prélèvement de CSH par cytaphérèse en 2015

 

Activité de prélèvement de CSHP

Figure CSHP2. Evolution de l'activité de cytaphérèse en vue d'autogreffe (voir aussi Tableau CSH P1)

   

Tableau CSH P1. Activité de prélèvement de CSHP autologues par centre en 2015 (voir aussi Figure CSH P2)

   

Figure CSH P3. Nombre de donneurs de CSH issues du sang périphérique prélevés en vue d’allogreffe*, selon le type de donneur (intra-familial/non apparenté).(Voir aussi tableau CSH P2)
(Pour les prélèvements de CSH issues de la moelle osseuse, voir la figure CSH P4)

   

Tableau CSH P2. Activité de prélèvement de CSHP allogéniques chez des adultes, par centre, en 2015
(voir aussi Figure CSH P3)

   

Prélèvement de lymphocytes

Tableau CSH P3. Evolution du nombre de donneurs et de prélèvements de lymphocytes en vue d'injection allogénique

   

Organisation des centres de prélèvement de CSH par cytaphérèse

Tableau CSH P4. Personnel formé au prélèvement et personnel ayant participé au prélèvement en 2015

   

Prélèvement de CSH de la moelle osseuse

Activité de prélèvement de CSH de la moelle osseuse

Tableau CSH P5. Activité de prélèvement de moelle osseuse autologue en 2015

   

Tableau CSH P6. Activité de prélèvement de moelle osseuse allogénique en 2015
(voir aussi Figure CSH P4)

   

Figure CSH P4. Nombre de prélèvements* de CSH issues de la moelle osseuse en vue d’allogreffe, selon le type de donneur (intra-familial/non apparenté)** (Voir aussi Tableau CSH P6)
(Pour les prélèvements de CSH issues du sang périphérique, voir la figure CSH P3)

   

Organisation des centres de prélèvement de CSH de la moelle osseuse

Tableau CSH P7. Nombre de médecins formés au prélèvement présents dans les centres en 2015 et nombre de médecins ayant participé au prélèvement, en 2015, dans les centres ayant eu une activité de prélèvement de moelle osseuse

   

Activité des comités d'experts chargés d'autoriser les prélèvements de moelle osseuse sur une personne vivante mineure

Figure CSH P5. Répartition des âges des donneurs mineurs vus par les comités d’experts

   

Les centres de prélèvement de CSH du sang placentaire

Figure CSH P6. Localisation des maternités du Réseau Français de Sang Placentaire en décembre 2015

 

Activité de prélèvement de CSH du sang placentaire

Tableau CSH P8. Nombre d’accouchements et de prélèvements en 2015 dans les maternités du Réseau Français de Sang Placentaire

   

Organisation des centres de prélèvement de CSH du sangplacentaire

Tableau CSH P9. Nombre de sages-femmes ayant prélevé des CSH du sang placentaire en 2015 et nombre de sages-femmes formées au prélèvement en 2015

   

Activité du Registre France Greffe de Moelle

Résumé de l’activité

Figure RFGM 1. Evolution du fichier national de donneurs de CSH de 1986 à 2015

   

Figure RFGM 2. Evolution du Réseau Français de Sang Placentaire de 1999 à 2015

   

Figure RFGM 3. Nombre d’inscriptions de nouveaux patients nationaux et internationaux par année de 2000 à 2015

   

Niveau de résolution HLA des donneurs de CSH non apparentés inscrits

Figure RFGM 4. Analyse du niveau de typage HLA des donneurs inscrits par âge au 31.12.2015

   

Tableau RFGM 1. Apport en nouveaux phénotypes HLA-ABDR des nouveaux donneurs inscrits au 31 décembre 2015 par région

   

Inscription des patients nationaux

Figure RFGM 5. Répartition des patients inscrits selon leur diagnostic et leur âge 2011-2015

   

Tableau RFGM 2. Répartition des patients inscrits selon le centre receveur/greffeur

   

Recherches

Figure RFGM 6. Demandes de typage HLA classe I pour les patients nationaux. Etude comparative 2011-2015

   

Figure RFGM 7. Demandes de typage HLA classe II pour les patients nationaux. Etude comparative 2011-2015

   

Type de greffons de CSH prélevés

Figure RFGM 8. Répartition des prélèvements/cessions par année et par source de CSH de 2004 à 2015 pour les patients nationaux

   

Prélèvement de CSH

Tableau RFGM 3. Répartition des sources de cellules souches hématopoïétiques selon l’âge des patients nationaux *

   

Tableau RFGM 4. Répartition des patients nationaux ayant bénéficié d’un greffon non apparenté, selon leur année d’inscription

   

Tableau RFGM 5. Répartition des greffons selon la source de CSH pour les patients nationaux *

   

Figure RFGM 9. Délai entre l’inscription et la greffe des patients nationaux ayant bénéficié d’un greffon de CSH issu de donneur non apparenté en 2015 (N=929)

   

Tableau RFGM 6. Délai médian entre la date d’inscription du patient, la confirmation de typage, le recrutement du donneur (moelle ou CSP) et la greffe

   

Origine des greffons de CSH

Figure RFGM 10. Greffons nationaux ou internationaux de CSH pour les patients nationaux (USP et lymphocytes exclus) N= 929

   

Tableau RFGM 7. Evolution du nombre de donneurs nationaux non apparentés prélevés

   

Tableau RFGM 8. Activité de prélèvement/cession : répartition des greffons nationaux/internationaux (pour les patients nationaux) *

   

Activité des banques du Réseau Français de Sang Placentaire

Tableau RFGM9. Activité d’inscription des banques du Réseau Français de Sang Placentaire de 1999 à 2015

   

Tableau RFGM 10. Nombre d’USP cédées par rapport au nombre total d’unités stockées (patients nationaux ou internationaux)

   

Activité nationale de greffe de CSH

Tableau CSH G1. Evolution du nombre de greffes de CSH

   

Activité d’autogreffe globale

Figure CSH G1. Evolution du nombre de patients ayant eu une autogreffe de CSH

   

Tableau CSH G2. Evolution de l'activité d'autogreffe de CSH par équipe

   

Tableau CSH G3. Evolution de l’activité d’autogreffe de CSH au niveau des schémas interrégionaux d’organisation sanitaire (SIOS)

   

Figure CSH G2. Evolution de l'âge moyen des patients ayant eu une autogreffe de CSH

   

Tableau CSH G4. Evolution de l’activité d’autogreffe de CSH, selon le type d’indication

   

Figure CSH G3. Evolution de la répartition des indications d’autogreffe de CSH

   

Figure CSH G4. Répartition des diagnostics chez les patients ayant eu une autogreffe de CSH en 2015 (hémopathies)*

   

Figure CSH G5. Répartition des diagnostics chez les patients ayant eu une autogreffe de CSH en 2015 (tumeurs solides)*

   

Autogreffe pédiatrique

Tableau CSH G5. Répartition des 92 enfants autogreffés en 2015 selon l’âge *

   

Tableau CSH G6. Répartition des 92 enfants autogreffés en 2015 selon le type d’indication *

   

Activité globale de greffe allogénique

Tableau CSH G7. Activité d’allogreffe de CSH, par type de donneur et d’origine du greffon, en 2015*

   

Figure CSH G6. Evolution du nombre d’allogreffes de CSH selon le type de donneur*

   

Figure CSH G7. Evolution du pourcentage d’allogreffes de CSH effectuées à partir d’un greffon d’un donneur non apparenté par rapport au nombre total d’allogreffes

   

Figure CSH G8. Répartition des allogreffes de CSH selon le type du donneur

   

Figure CSH G9. Evolution de l'âge moyen des patients ayant eu une allogreffe de CSH

   

Figure CSH G10. Evolution de la répartition des sources de greffon des CSH allogéniques

   

Figure CSH G11. Evolution de la répartition des sources de greffon des CSH allogéniques apparentées

   

Figure CSH G12. Evolution de la répartition des sources de greffon des CSH allogéniques non apparentées

   

Tableau CSH G8. Evolution de l'activité d'allogreffe de CSH par équipe

   

Tableau CSH G9. Activité d'allogreffe de CSH par type de donneur, d’origine du greffon et par équipe en 2015*

   

Tableau CSH G10. Evolution de l’activité d’allogreffe de CSH au niveau des schémas interrégionaux d’organisation sanitaire (SIOS)

   

Figure CSH G13. Répartition des indications en 2015 des allogreffes apparentées (n=810 patients)*

   

Figure CSH G14. Répartition des indications en 2015 des allogreffes non apparentées (n=964 patients) *

   

Figure CSH G15. Evolution de la répartition des indications d’allogreffe*

   

Tableau CSH G11. Injections de lymphocytes du donneur (DLI) en 2015

   

Activité de greffe allogénique pédiatrique

Figure CSH G16. Part de l’activité pédiatrique d’allogreffe de CSH depuis 2006

   

Figure CSH G17. Proportion de maladies malignes en fonction de l’âge chez les 240 patients de moins de 18 ans ayant reçu une allogreffe en 2015

   

Tableau CSH G12. Nombre d’allogreffes apparentées et non apparentées selon l’origine des cellules et le diagnostic chez les patients de moins de 18 ans, en 2015

   

Etude de la survie des patients après allogreffe de cellules souches hématopoïétiques

Figure CSH G18. Survie des patients après allogreffe de CSH selon la période (cohorte 2001-2015)

   

Figure CSH G19. Survie des patients après allogreffe pour leucémie aiguë myéloïde ou leucémie aiguë lymphoïde, selon la période (cohorte 2001-2015)

   

Figure CSH G20. Survie des patients après allogreffe pour aplasie, selon la période (cohorte 2001-2015)

   

Etude de la survie des adultes greffés pour leucémies aiguës myéloïdes et lymphoïdes à partir de 2001, uniquement en première rémission complète

Figure CSH G21. Survie des adultes après allogreffe pour leucémie aiguë myéloïde en première rémission complète, selon le type de donneur (cohorte 2001-2015)

   

Figure CSH G22. Survie des adultes après allogreffe pour leucémie aiguë lymphoïde en première rémission complète, selon le type de donneur  (cohorte 2001-2015)

   

Etude de la survie des enfants après allogreffe de CSH

Figure CSH G23. Survie des enfants après allogreffe pour leucémie aiguë myéloïde en rémission complète, selon le type de donneur (cohorte 2001-2015)

   

Figure CSH G24. Survie des enfants après allogreffe pour leucémie aiguë lymphoïde en rémission complète, selon le type de donneur (cohorte 2001-2015)

   

Etude de la survie après allogreffe de CSH chez les patients atteints d’aplasie médullaire selon l’origine (acquise ou constitutionnelle)

Figure CSH G25. Survie des patients après allogreffe pour aplasie acquise, selon le type de donneur (cohorte 1995-2015)

   

Figure CSH G26. Survie des patients après allogreffe pour aplasie constitutionnelle, selon le type de donneur (cohorte 1995-2015)

   

Etude de la survie des patients allogreffés pour lymphome ou myélome

Figure CSH G27. Survie des patients après allogreffe pour lymphome (cohorte 2001-2015)

   

Figure CSH G28. Survie des patients après allogreffe pour myélome (cohorte 2001-2015)

   

Activité régionale

Résultats

Figure CSH R1. Taux d’allogreffes de CSH par région en 2015

 

Figure CSH R2. Taux de patients ayant reçu une allogreffe de CSH intra-familiale ou non apparentée en 2015, par région de domicile

 

Figure CSH R3. Taux de patients ayant reçu une allogreffe apparentée de CSH en 2015, par région de domicile

 

Figure CSH R4. Taux de patients ayant reçu une allogreffe non apparentée de CSH en 2015, par région de domicile

 

Figure CSH R5. Taux de patients inscrits pour une allogreffe de CSH non apparentée, au cours de l’année 2015, par région de domicile

 

Figure CSH R6. Flux de patients pour l’allogreffe de CSH en 2015

 

Figure CSH R7. Taux d’autogreffes de CSH par région en 2015

 

Tableau CSH R1. Synthèse de l’activité régionale de greffe de CSH en 2015

   

Tableau CSH R2. Evolution de l’activité de greffe de CSH rapportée à la population française

   

Activité du registre Eurocord

Tableau CSH E1. Nombre d’USP cédées et greffées - données disponibles dans la base Eurocord

   

Figure CSH E1. Nombre d’USP totales et européennes cédées par année - données disponibles dans la base Eurocord

   

Tableau CSH E2. Caractéristiques des greffes d’USP de la base de données du registre Eurocord

   

Figure CSH E2. Distribution des greffes d'USP par année de greffe et type du donneur - données disponibles dans la base Eurocord

   

Figure CSH E3. Répartition des cas de greffes d’USP en fonction du centre de transplantation - données disponibles dans la base Eurocord: a. 1988-2015  b. 2015

   

Figure CSH E4. Distribution des greffes d’USP non apparentées par âge du receveur - données disponibles dans la base Eurocord

   

Figure CSH E5. Distribution du type de diagnostics chez les enfants, greffes non apparentées - données disponibles dans la base Eurocord: a. 1988-2015 b. 2015

   

Figure CSH E6. Distribution du type de diagnostics chez les adultes, greffes non apparentées - données disponibles dans la base Eurocord: a. 1988-2015  b. 2015

   

Figure CSH E7. Distribution du type de greffes d’USP non apparentées - données disponibles dans la base Eurocord

   

Figure CSH E8. Distribution des greffes non apparentées par pays en Europe - données disponibles dans la base Eurocord: a. 1988-2015  b. 2015

   

Figure CSH E9. Origine des USP non apparentées greffées - données disponibles dans la base Eurocord: a. 1988-2015  b. 2015

   

Tableau CSH E3. Taux de récupération de données par banque d’USP - données disponibles dans la base Eurocord (1988-2014)

   

Tableau CSH E4. Disponibilité du suivi par type de greffe et centre de Tx - données disponibles dans la base Eurocord (1988-2014)

   

Prélèvement, conservation et greffe de tissus

Activité de prélèvement, préparation, conservation et distribution de tissus humains

Les tissus ostéo ligamentaires

Figure T1. Répartition des banques de tissus selon le type de tissu conservé en 2015

   

Tableau T1. Répartition des banques selon le type de tissus et leur statut

   

Tableau T2. Evolution de l'activité cornée depuis 2011

   

Tableau T3. Evolution de l'activité membranes amniotiques depuis 2011

   

Tableau T4. Evolution de l'activité os massifs depuis 2011

   

Tableau T5. Evolution de l'activité têtes fémorales depuis 2011

   

Tableau T6. Evolution de l'activité peau (m2) depuis 2011

   

Tableau T7. Evolution de l'activité valves cardiaques depuis 2011

   

Tableau T8. Evolution de l'activité artères depuis 2011

   

Tableau T9. Evolution de l'activité veines depuis 2011

   

Tableau T10. Evolution de l'activité tendons, ligaments depuis 2011

   

Tableau T11. Volume d’activité de conservation de tissus humains en 2015

   

Tableau T12. Evolution du stock de tissus validés et en quarantaine

   

Tableau T13. Evolution du prélèvement de tissus de 2011 à 2015 sur donneur décédé

   

Tableau T14. Evolution des distributions de tissus à une équipe de greffe en France de 2011 à 2015

   

Tableau T15. Evolution du pourcentage de tissus humains importés par les banques parmi les tissus distribués en France

   

Tableau T16. Evolution du pourcentage de tissus humains éliminés par les banques parmi les tissus réceptionnés

   

Tableau T17. Evolution de la proportion de greffons échangés entre les banques (en % du volume cédé)

   

Tableau T18. Répartition des causes d'élimination de tissus humains en 2015

   

Tableau T19. Répartition des activités* des banques selon le type de tissus et leur statut

   

Tableau T20. Nombre de donneurs prélevés de tissus par type de donneur pour l'année 2015 comparé à 2014

   

Tableau T21. Nombre de donneurs décédés par type de tissus pour l'année 2015 comparé à 2014

   

Tableau T22. Nombre de donneurs vivants par type de tissus pour l'année 2015 comparé à 2014

   

Activité de prélèvement, de greffe de cornée et d'inscription en attente de greffe

Figure Co1. Evolution du flux de cornées dans les banques de tissus de 2007 à 2015 : prélèvement et distribution

   

Figure Co2. Devenir des malades (estimé par l'état de la liste d'attente au 03 mars 2016) selon leur année d'inscription depuis 2007

   

Tableau Co1. Evolution de la liste d'attente et devenir des candidats à la greffe de cornée

   

Tableau Co2. Délai entre l'inscription et la greffe de cornée pour les patients greffés en 2015

   

Tableau Co3. Evolution du nombre de cornées prélevées par million d’habitants par région

   

Tableau Co4. Evolution du nombre de cornées greffées par million d’habitants selon la région de domicile du malade

   

Tableau Co5. Evolution du nombre de nouveaux inscrits par million d’habitants selon la région de domicile du malade indépendamment de la région de l’équipe d’inscription

   

Tableau Co6. Pourcentage de malades greffés en 2015 parmi les inscrits en 2015 selon la région de domicile du malade

   

Tableau Co7. Nombre de cornées prélevées, greffées et de malades inscrits par million d'habitants, selon la région de domicile du malade en 2015

   

Tableau Co8. Evolution du nombre de cornées greffées selon le type d'établissement de santé

   

Tableau Co9. Evolution des indications de greffe de cornées

   

Tableau Co10. Bilan d'activité des équipes de greffes de cornées

   

Tableau Co11. Evolution de l’activité de cornées depuis 2011

   

Tableau Co12. Volume d’activité de conservation de cornées en 2015

   

Tableau Co13. Evolution du stock de cornées validés et en quarantaine

   

Tableau Co14. Evolution du prélèvement de cornées

   

Tableau Co15. Distribution, importation, élimination et échange de cornées

   

Tableau Co16. Répartition des causes d’élimination de cornées en 2015

   

Tableau Co17. Répartition des activités des banques pour les cornées en 2015

   

Activité régionale de prélèvement et de greffe de cornée

Activités de prélèvement et de greffe de cornée

Figure Co1. Prélèvement de cornée en 2015

 

Figure Co2. Inscriptions en greffe de cornée en 2015

 

Figure Co3. Greffe de cornée en 2015

 

Figure Co4. Accessibilité à la greffe de cornée en 2015

 

Figure Co5. Equipes de greffe de cornée en 2015 ayant eu une activité déclarée dans GLAC

 

Tableau Co1. Prélèvement et greffe de cornées : synthese 2015

   

Figure Co6. (issue du tableau 1)

   

Tableau Co2. Prélèvement et greffe au niveau national : évolution 2010-2015