Résumé de l’activité
Depuis 1976, année de la première greffe pancréatique enregistrée dans Cristal, un total de 1 923 greffes pancréatiques a été enregistré. Le nombre estimé de malades porteurs d’un greffon pancréatique est de 886 au 31 décembre 2015, soit une prévalence de l’ordre de 13,3 par million d’habitants (pmh).
Tableau PA1. Evolution de la liste d'attente et devenir des candidats en greffe pancréatique
|
2010 |
2011 |
2012 |
2013 |
2014 |
2015 |
2016 |
Liste d'attente |
|
|
|
|
|
|
|
- malades restant en attente au 1er janvier de chaque année |
159 |
148 |
145 |
165 |
178 |
200 |
218 |
dont malades en attente au 1er janvier et en CIT |
77 |
64 |
69 |
84 |
91 |
105 |
99 |
% des malades en CIT parmi les malades en attente au 1er janvier |
48% |
43% |
48% |
51% |
51% |
53% |
45% |
- nouveaux inscrits dans l'année |
119 |
93 |
119 |
127 |
129 |
127 |
|
- décédés dans l'année |
9 |
5 |
5 |
6 |
0 |
7 |
|
- sortis de la liste d'attente |
25 |
18 |
22 |
23 |
28 |
24 |
|
dont sortis de la liste d'attente pour aggravation |
11 |
9 |
12 |
12 |
19 |
15 |
|
Greffes |
96 |
73 |
72 |
85 |
79 |
78 |
|
Greffes (pmh) |
1,5 |
1,1 |
1,1 |
1,3 |
1,2 |
1,2 |
|
CIT : Contre-indication temporaire / pmh : par million d'habitants
Données extraites de CRISTAL le 01/03/2016
Devenir des candidats en liste d’attente
Liste d’attente
En 2015, avec la réalisation de 78 greffes, l’activité de greffe pancréatique est stable après la baisse de 7 % enregistrée en 2014 après la reprise observée en 2013. Avec 127 nouveaux inscrits, les inscriptions sont stables. L’incidence de 1,2 greffes par million d’habitants est faible par rapport à celle observée chez nos voisins (en 2014 : Allemagne 1,5 ; Suisse 1.3, Suède 4 ; Norvège 6,1 ; Royaume Uni 3,8).
Cette faible activité persiste malgré l’élargissement progressif des critères d’accès à la catégorie prioritaire accordée au niveau interrégional aux receveurs de greffe combinée pancréas-rein. Depuis octobre 2002, avaient accès à cette catégorie prioritaire les receveurs de greffe combinée pancréas-rein âgés de moins de 40 ans, non immunisés et en attente d’une première greffe de pancréas. La limite d’âge est ensuite passée à 45 ans en mai 2004 puis à 48 ans en septembre 2008 (mise en route effective en février 2009) et 55 ans en septembre 2010 (mise en route effective en février 2011), avec l’ouverture aux sujets présentant une immunisation faible avec un taux de greffons incompatibles inférieur à 25%. Les modifications apportées aux règles de répartition en février 2011 n’apportent pas non plus le bénéfice attendu. Ces nouvelles règles permettaient de privilégier la greffe pancréatique plutôt que la greffe d’îlots de Langerhans, lorsque le donneur est âgé de moins de 50 ans avec un index de masse corporel (IMC) inférieur à 30. Les pancréas de ce type de donneurs ne sont proposés pour une greffe d’îlots de Langerhans qu’en l’absence de receveur de pancréas. Les règles ont été assouplies en créant 3 catégories de donneurs au lieu de deux, afin d’utiliser au mieux les possibilités locales de prélèvement : les pancréas de donneurs de moins 44 ans et dont l’IMC est inférieur à 27 sont proposés prioritairement pour une greffe de pancréas, ceux des donneurs de 45 ans à 49 ans au plus et/ou ayant un IMC entre 27 et 29 peuvent être proposés soit pour une greffe de pancréas soit pour une greffe d’îlots et enfin ceux des donneurs de plus de 50 ans et/ou ayant un IMC à 30 ou plus sont proposés pour une greffe d’îlots de Langerhans. Ces modifications ont pris effet en avril 2016.
L’âge moyen des 78 malades greffés en 2015 est de 41,2 ans et l’âge moyen des donneurs de 33,1 ans. La part des patients en contre-indication temporaire sur la liste d’attente a fortement augmenté dans les dernières années passant de 26% en 2008 à 48% en 2010 et 53% au 1er janvier 2015.
Parmi les patients en attente d’une greffe combinée pancréas-rein, en 2015, la catégorie prioritaire représente 71,8 % de l’ensemble des candidats, 83,8 % des nouveaux inscrits, 64,6 % des malades restant en attente au 1er janvier 2015 et 90,1 % des malades greffés dans l’année. Toutes les transplantations réalisées dans l’année sont des premières greffes alors qu’il y a un patient parmi les nouveaux inscrits et 5 parmi ceux restant en attente au 1er janvier qui sont en attente d’une retransplantation. Ces transplantations ont été réalisées chez des patients non dialysés dans 46,5 % des cas, alors que 50,5% des nouveaux inscrits et 53,7 % des patients en attente au 1er janvier n’étaient pas dialysés.
Tableau PA2. Caractéristiques démographiques des donneurs de pancréas et, des malades inscrits selon leur devenir en liste d'attente de greffe pancréatique en 2015
Caractéristiques |
Greffons pancréatiques greffés en 2015* |
Malades en attente au 1er janvier 2015 |
Nouveaux malades inscrits en 2015 |
Malades greffés en 2015 |
||||
n |
% |
n |
% |
n |
% |
n |
% |
|
Age |
||||||||
0-17 ans |
4 |
5,1 |
0 |
0,0 |
0 |
0,0 |
0 |
0,0 |
18-29 ans |
32 |
41,0 |
19 |
9,5 |
14 |
11,0 |
8 |
10,3 |
30-55 ans |
42 |
53,8 |
170 |
85,0 |
111 |
87,4 |
67 |
85,9 |
56-65 ans |
0 |
0,0 |
11 |
5,5 |
1 |
0,8 |
3 |
3,8 |
>=66 ans |
0 |
0,0 |
0 |
0,0 |
1 |
0,8 |
0 |
0,0 |
(m±ds,ans) |
33,1 |
10,1 |
41,6 |
8,6 |
40,5 |
8,4 |
41,2 |
8,4 |
Sexe |
||||||||
Masculin |
52 |
66,7 |
94 |
47,0 |
70 |
55,1 |
39 |
50,0 |
Féminin |
26 |
33,3 |
106 |
53,0 |
57 |
44,9 |
39 |
50,0 |
Groupe sanguin |
||||||||
A |
33 |
42,3 |
87 |
43,5 |
50 |
39,4 |
33 |
42,3 |
AB |
3 |
3,8 |
10 |
5,0 |
11 |
8,7 |
3 |
3,8 |
B |
9 |
11,5 |
30 |
15,0 |
14 |
11,0 |
9 |
11,5 |
O |
33 |
42,3 |
73 |
36,5 |
52 |
40,9 |
33 |
42,3 |
Total |
78 |
100,0 |
200 |
100,0 |
127 |
100,0 |
78 |
100,0 |
m ± ds=moyenne ± déviation standard
Données extraites de CRISTAL le 01/03/2016
Tableau PA3. Caractéristiques démographiques des malades inscrits selon leur devenir en liste d'attente de greffe pancréatique en 2015 (Restriction aux malades avec une inscription en greffe rénale pendant l'attente en greffe pancréatique)
Caractéristiques |
Malades en attente au 1er janvier 2015 |
Nouveaux malades inscrits en 2015 |
Malades greffés en 2015 |
|||
n |
% |
n |
% |
n |
% |
|
Retransplantation |
||||||
Non |
170 |
97,1 |
104 |
99,0 |
71 |
100,0 |
Oui |
5 |
2,9 |
1 |
1,0 |
0 |
0,0 |
Taux de greffons incompatibles* |
||||||
0% |
93 |
53,1 |
76 |
72,4 |
53 |
74,6 |
0-24% |
0 |
0,0 |
0 |
0,0 |
0 |
0,0 |
25-49% |
18 |
10,3 |
8 |
7,6 |
3 |
4,2 |
50-74% |
21 |
12,0 |
8 |
7,6 |
2 |
2,8 |
75-100% |
21 |
12,0 |
0 |
0,0 |
0 |
0,0 |
Priorité** |
||||||
Non |
62 |
35,4 |
17 |
16,2 |
7 |
9,9 |
Oui |
113 |
64,6 |
88 |
83,8 |
64 |
90,1 |
Dialyse*** |
||||||
Manquant |
3 |
1,7 |
0 |
0,0 |
0 |
0,0 |
Non |
94 |
53,7 |
53 |
50,5 |
33 |
46,5 |
Oui |
78 |
44,6 |
52 |
49,5 |
37 |
52,1 |
Total |
175 |
100,0 |
105 |
100,0 |
71 |
100,0 |
Remarque : Il n’y a pas en France de liste d’attente pancréas-rein mais une liste d’attente pour chacun des greffons. Les malades inscrits sur les deux listes n’auront pas forcement une greffe combinée. Leur devenir sur liste va dépendre de l’évolution de leur état et l’attribution des organes. Ainsi, on restreint aux malades avec une inscription en greffe rénale pendant l'attente en greffe pancréatique pour avoir l’ensemble des malades qui auraient pu accéder à une greffe combinée pancréas-rein.
* le taux de greffons incompatibles vient du dossier d'attente de greffe rénale. Il est calculé sur la base des spécificités anticorps anti-HLA de classe I et II
**Patients inscrits en liste d'attente rein et pancréas, âgés au plus de 55 ans, en attente d’une 1ère greffe, avec un taux de greffons incompatibles inférieur ou égal à 25 % (calcul fait lors l’attente en greffe rénale).
***L'information de dialyse vient du dossier d'attente de greffe rénale. Elle est recalculée pour être celle à l'inscription sauf pour les greffés pour lesquels il s'agit de l'information mise à jour au moment de la greffe. La base de données DIADEM a été utilisée pour contrôler les dates de début de première dialyse pour les dossiers de première greffe.
Données extraites de CRISTAL le 01/03/2016
Cinétique de la liste d’attente de greffe combinée pancréas-rein
L’appréciation de l’accès à la greffe a changé en 2014. Jusqu’alors on utilisait la durée médiane d’attente qui était calculée par la méthode de Kaplan-Meier. Cet indicateur est remplacé par le taux d’incidence cumulée qui mesure la probabilité d’accès à la greffe en fonction de la durée d’attente sur liste et en tenant compte des risques concurrents (décès et sortie de liste pour aggravation).
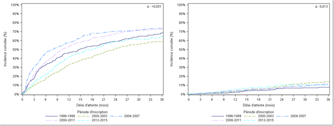
Pour les patients inscrits en attente d’une greffe combinée entre 2000 et 2003, la probabilité d’être greffé est de 17% à 6 mois, 33% à 12 mois, 51% à 24 mois et 59% à 36 mois. L’accès à la greffe est meilleur et plus rapide pour les cohortes suivantes jusqu’en 2011 avec pour la cohorte 2004-2007 une probabilité de greffe de 47% à 6 mois, 58% à 12 mois, 71% à 24 mois et 74% à 36 mois. Cette amélioration a été possible grâce à la mise en place, en octobre 2002, d’une catégorie d’attribution prioritaire du greffon rénal en cas de greffe combinée pancréas-rein. La mise en place de cette priorité a facilité l’accès à la greffe combinée rein-pancréas des jeunes diabétiques en insuffisance rénale chez qui l’intérêt de la réalisation de la greffe combinée à un stade précoce a largement été rapporté dans la littérature. La diminution de l’accès à la greffe observée sur la dernière cohorte 2012-2015 avec une probabilité de greffe de 22% à 6 mois, 42% à 12 mois, et 59% à 24 mois est liée à la faible activité des dernières années, mais également à l’augmentation des malades en contre-indication sur liste.
Enfin, il est important de souligner que seuls les malades inscrits en attente sont pris en compte dans cette analyse. Or, il est probable que la diminution d’activité de greffe pancréatique des dernières années influence la politique d’inscription avec des patients diabétiques de type 1 inscrits en attente de rein seul pour éviter une trop longue attente. En 2015, parmi les nouveaux inscrits en attente de greffe rénale, 196 patients avaient un diabète de type 1 et 127 ont été inscrits en attente de greffe combinée.
Au cours de l’année 2015, 7 malades inscrit sur la liste d’attente sont décédé et 15 sont sortis de la liste pour aggravation.
Tableau PA4. Evolution sur les trois premières années du devenir des malades inscrits pour la première fois en greffe pancréatique en 2012 (N=105)
Statut sur liste d'attente |
% à 3 mois |
% à 6 mois |
% à 12 mois |
% à 18 mois |
% à 24 mois |
% à 30 mois |
% à 36 mois |
Toujours en attente |
79,0 |
66,7 |
41,0 |
31,4 |
23,8 |
21,9 |
19,0 |
Greffé |
20,0 |
31,4 |
55,2 |
62,9 |
69,5 |
71,4 |
74,3 |
Décédé en attente |
0,0 |
0,0 |
0,0 |
0,0 |
0,0 |
0,0 |
0,0 |
Sorti de la liste d'attente |
1,0 |
1,9 |
3,8 |
5,7 |
6,7 |
6,7 |
6,7 |
Données extraites de CRISTAL le 01/03/2016
Figure PA1. Taux d'incidence cumulée de greffe et de décès ou aggravation sur la liste d'attente de greffe pancréatique selon la période d'inscription (exclusion des greffes de pancréas isolé ou de pancréas combiné à un autre organe que le rein)
|
Incidence cumulée des greffes avec prise en compte du risque concurrent de décès en attente ou sorties pour aggravation |
||||||||
Période d'inscription |
N |
à 3 mois |
à 6 mois |
à 12 mois |
à 24 mois |
à 36 mois |
|||
1996-1999 |
336 |
19 [15-23] |
33 [28-39] |
47 [41-52] |
60 [54-65] |
69 [63-74] |
|||
2000-2003 |
344 |
10 [7-14] |
17 [13-21] |
33 [28-38] |
51 [46-56] |
59 [54-64] |
|||
2004-2007 |
427 |
31 [27-35] |
47 [42-51] |
58 [53-62] |
71 [66-75] |
74 [70-78] |
|||
2008-2011 |
409 |
23 [19-27] |
36 [32-41] |
54 [49-58] |
68 [63-73] |
73 [68-77] |
|||
2012-2015 |
465 |
13 [10-17] |
22 [19-27] |
42 [37-47] |
59 [53-64] |
65 [59-71] |
|||
|
Incidence cumulée des décès en attente ou sorties pour aggravation avec prise en compte du risque concurrent de greffe |
||||||||
Période d'inscription |
N |
à 3 mois |
à 6 mois |
à 12 mois |
à 24 mois |
à 36 mois |
|||
1996-1999 |
336 |
1 [0-3] |
1 [0-3] |
3 [1-5] |
6 [4-10] |
8 [5-11] |
|||
2000-2003 |
344 |
1 [0-2] |
2 [1-4] |
4 [2-6] |
9 [6-13] |
14 [11-18] |
|||
2004-2007 |
427 |
1 [0-3] |
2 [1-4] |
4 [2-6] |
8 [5-11] |
11 [8-15] |
|||
2008-2011 |
409 |
1 [0-3] |
2 [1-4] |
5 [3-7] |
8 [5-11] |
12 [9-16] |
|||
2012-2015 |
465 |
1 [1-3] |
2 [1-4] |
6 [4-8] |
11 [8-16] |
11 [8-16] |
|||
NC=Non calculable / IC : Intervalle de confiance
Données extraites de CRISTAL le 01/03/2016
Après 12 mois d’attente, les malades inscrits entre 2012 et 2015 ont 42% de chance d’être greffés et 6% de risque de décès en attente.
Tableau PA5. Incidence cumulée des greffes avec prise en compte du risque concurrent de décès en attente ou sorties pour aggravation selon les caractéristiques des malades inscrits à partir du 1er janvier 2008 sur la liste d'attente d'une greffe pancréatique (exclusion des greffes de pancréas isolé ou de pancréas combiné à un autre organe que le rein)
|
Incidence cumulée des greffes avec prise en compte du risque concurrent de décès en attente ou sorties pour aggravation |
|
||||||
' |
' |
N |
à 3 mois |
à 6 mois |
à 12 mois |
à 24 mois |
à 36 mois |
pvalue |
Global |
|
955 |
19 [17-22] |
31 [28-35] |
51 [47-54] |
66 [63-69] |
72 [68-75] |
|
Global hors temps cumulé en CIT* |
|
955 |
32 [29-35] |
46 [42-49] |
64 [61-68] |
76 [73-79] |
80 [76-83] |
|
Groupe sanguin |
A |
401 |
16 [12-20] |
28 [24-33] |
50 [45-55] |
66 [60-71] |
74 [69-79] |
0,037 |
|
AB |
34 |
20 [8-35] |
23 [10-40] |
49 [27-68] |
71 [27-91] |
71 [27-91] |
|
|
B |
111 |
15 [9-23] |
26 [18-34] |
42 [33-52] |
58 [47-68] |
66 [54-76] |
|
|
O |
409 |
25 [20-29] |
37 [32-42] |
55 [50-60] |
70 [65-75] |
73 [67-77] |
|
NC=Non calculable,
IC=Intervalle de confiance
CIT : contre-indication temporaire
Données extraites de CRISTAL le 01/03/2016
Tableau PA6. Taux d'incidence cumulée selon l'équipe de greffe des malades inscrits à partir du 1er janvier 2008 sur la liste d'attente d'une greffe pancréatique (exclusion des greffes de pancréas isolé ou de pancréas combiné à un autre organe que le rein)
|
Incidence cumulée des greffes avec prise en compte du risque concurrent de décès en attente ou sorties pour aggravation |
|||||
Equipe |
N |
à 3 mois |
à 6 mois |
à 12 mois |
à 24 mois |
à 36 mois |
Amiens (A) |
16 |
33 [11-57] |
46 [20-69] |
NC |
NC |
NC |
Créteil Henri Mondor (AP-HP) (A) |
26 |
8 [1-23] |
28 [12-47] |
41 [21-60] |
59 [22-83] |
59 [22-83] |
Le Kremlin Bicêtre (AP-HP) (A) |
90 |
9 [4-16] |
13 [7-20] |
24 [15-33] |
36 [25-47] |
44 [32-56] |
Lyon (HCL) (A) |
301 |
23 [19-28] |
36 [31-42] |
59 [53-65] |
74 [68-79] |
80 [74-85] |
Montpellier La Peyronie (A) |
28 |
28 [12-47] |
52 [29-70] |
71 [45-86] |
88 [53-98] |
88 [53-98] |
Nancy (A) |
13 |
8 [0-30] |
23 [5-49] |
31 [9-57] |
70 [25-91] |
NC |
Nantes (A ) |
226 |
29 [23-35] |
41 [34-48] |
58 [50-64] |
70 [63-76] |
76 [68-82] |
Paris Saint-Louis (AP-HP) (A) |
100 |
10 [5-17] |
20 [12-28] |
48 [37-59] |
71 [59-81] |
NC |
Strasbourg Hôpital Civil (A ) |
15 |
20 [5-43] |
27 [8-51] |
47 [20-70] |
NC |
NC |
Toulouse Rangueil (A) |
114 |
14 [8-21] |
29 [21-38] |
50 [40-59] |
71 [60-79] |
NC |
NC=Non calculable,
IC=Intervalle de confiance
Données extraites de CRISTAL le 01/03/2016
Prélèvement en vue de greffe pancréatique
Le pancréas est un organe fragile et difficile à prélever, ce qui limite le nombre de prélèvements du fait des caractéristiques cliniques du donneur, mais aussi des difficultés des équipes chirurgicales à déplacer un chirurgien expérimenté pour effectuer le prélèvement. En 2015, 122 pancréas ont été prélevés en vue d’une greffe d’organe, soit 6,9 % des donneurs en état de mort encéphalique prélevés d’au moins un organe, ce qui correspond à une augmentation du nombre de pancréas prélevés de 11% par rapport à 2014. Par ailleurs, 81 pancréas ont été prélevés afin de réaliser un isolement des îlots de Langerhans.
Le nombre de donneurs dont le pancréas peut être utilisé soit pour une greffe d’organe soit pour isolement d’îlots diminue alors que le nombre de donneurs prélevés d’au moins un organe continue d’augmenter. Cela s’explique par l’augmentation de l’âge des donneurs. Le nombre de donneurs de pancréas organe « optimaux » (définis par un âge entre 18 et 50 ans, un IMC inférieur à 30, l’absence d’antécédent d’alcoolisme ou de diabète et d’arrêt cardiaque et un prélèvement en métropole) a diminué de 41% entre 2006 et 2015 passant de 287 donneurs à 170 par an. Le nombre de donneurs dont les caractéristiques permettent la proposition du pancréas pour greffe d’organe ou d’îlots, dits « donneurs potentiels de pancréas » (définis par un poids supérieur à 10 kg, un âge inférieur à 65 ans, l’absence d’antécédent de diabète, d’augmentation des transaminases hépatiques supérieure à 3 fois la normale et d’arrêt cardiaque et dont le foie a été attribué et greffé) n’a diminué que de 11% dans la même période (526 donneurs en 2006 contre 469 en 2015) mais ne représente que 27% des donneurs prélevés d’au moins un organe. La moyenne d’âge des donneurs de pancréas organe était de 33,1 ans en 2015, et celle des receveurs de 41,5 ans. Elles sont stables au fil du temps, avec toutefois une augmentation de 2 ans de la moyenne d’âge des receveurs qui étaient de 39,2 ans en 2010, avant l’élargissement de la limite d’âge des patients de la catégorie prioritaires.
Tableau PA7. Evolution du nombre de donneurs décédés en état de mort encéphalique et prélevés d’un greffon pancréatique parmi les donneurs d’au moins un greffon
Année |
Donneurs prélevés d'au moins un organe |
Donneurs de pancréas organe optimaux* |
Donneurs potentiels de pancréas organe ou îlots** |
Donneurs prélevés d'un pancréas en vue de greffe pancréatique |
Donneurs prélevés d'un pancréas en vue de greffe d'îlots de Langerhans |
2006 |
1442 |
287 |
526 |
118 |
79 |
2007 |
1561 |
271 |
548 |
128 |
86 |
2008 |
1563 |
242 |
522 |
105 |
89 |
2009 |
1481 |
241 |
530 |
120 |
70 |
2010 |
1476 |
207 |
510 |
120 |
84 |
2011 |
1572 |
192 |
522 |
102 |
96 |
2012 |
1589 |
200 |
501 |
97 |
100 |
2013 |
1627 |
172 |
493 |
103 |
90 |
2014 |
1655 |
174 |
470 |
110 |
92 |
2015 |
1769 |
170 |
469 |
122 |
81 |
*Un donneur de pancréas organe optimal est un donneur prélevé d'au moins un organe en France métropolitaine, âgé entre 18 et 50 ans et un IMC inférieur à 30, sans antécédent d’alcool (non ou manquant) et sans antécédent de diabète (non ou manquant), sans arrêt cardiaque récupéré (non ou manquant).
**Un donneur de pancréas organe proposable est un donneur prélevé d'au moins un organe en France métropolitaine, avec un âge inférieur à 65 ans et un poids supérieur à 10 kg, sans antécédent de diabète (non ou manquant), sans arrêt cardiaque récupéré (non ou manquant) avec ALAT ou ASAT >150 UI/l, avec une durée de réanimation inférieure à 10 jours, dont le foie a été attribué et greffé.
Données extraites de CRISTAL le 01/03/2016
Tableau PA8. Age des greffons prélevés sur donneurs décédés et greffés en France en 2015 selon l'âge du receveur dans le cadre des greffes pancréatiques
Age du donneur |
Age du receveur |
Total |
||
18-29 ans |
30-55 ans |
56-65 ans |
||
0-17 ans |
0 |
3 |
1 |
4 |
18-29 ans |
3 |
29 |
0 |
32 |
30-55 ans |
5 |
35 |
2 |
42 |
Total |
8 |
67 |
3 |
78 |
Données extraites de CRISTAL le 01/03/2016
Tableau PA9. Evolution de l'âge des greffons prélevés sur donneurs décédés et greffés en France et de l'âge du receveur dans le cadre des greffes pancréatiques
|
Age du donneur |
Age du receveur |
||||
N |
Moyenne |
Std |
N |
Moyenne |
Std |
|
Année de greffe |
90 |
33,1 |
10,0 |
90 |
40,2 |
7,7 |
2006 |
||||||
2007 |
99 |
31,0 |
11,5 |
99 |
40,3 |
8,9 |
2008 |
84 |
35,2 |
10,6 |
84 |
39,5 |
7,7 |
2009 |
89 |
33,3 |
9,4 |
89 |
39,6 |
8,4 |
2010 |
95 |
32,4 |
11,1 |
95 |
39,2 |
8,3 |
2011 |
73 |
31,0 |
9,9 |
73 |
40,2 |
8,1 |
2012 |
72 |
32,2 |
10,3 |
72 |
41,3 |
9,1 |
2013 |
85 |
33,0 |
11,2 |
85 |
42,1 |
7,9 |
2014 |
79 |
34,2 |
10,9 |
79 |
39,5 |
8,9 |
2015 |
78 |
33,1 |
10,1 |
78 |
41,2 |
8,4 |
std=déviation standard
Données extraites de CRISTAL le 01/03/2016
Activité de greffe pancréatique
Parmi les 78 greffes pancréatiques réalisées en 2015, 70 étaient des greffes combinées rein-pancréas (89%) et 8 des greffes de pancréas isolé (10%).
Sept équipes ont réalisé des greffes pancréatiques en 2015, parmi lesquelles l’équipe de Lyon est la plus active avec 25 greffes soit 32% de l’activité totale. Seules 4 équipes réalisent plus de 10 greffes par an. La durée moyenne d’ischémie froide a été de 9,6 heures pour les 70 greffes combinées pancréas-rein réalisées en 2015.
Tableau PA10. Evolution de l’activité de greffe pancréatique depuis 2000
|
2000 |
2001 |
2002 |
2003 |
2004 |
2005 |
2006 |
2007 |
2008 |
2009 |
2010 |
2011 |
2012 |
2013 |
2014 |
2015 |
Rein-pancréas |
51 |
53 |
53 |
65 |
86 |
84 |
82 |
83 |
73 |
69 |
83 |
67 |
58 |
71 |
70 |
70 |
Foie-pancréas |
1 |
0 |
0 |
0 |
0 |
2 |
0 |
1 |
2 |
1 |
0 |
0 |
0 |
0 |
1 |
0 |
Multiviscérale |
0 |
0 |
0 |
0 |
0 |
0 |
0 |
4 |
1 |
3 |
1 |
0 |
1 |
1 |
0 |
0 |
Pancréas isolé |
2 |
7 |
6 |
5 |
17 |
6 |
8 |
11 |
8 |
16 |
12 |
6 |
13 |
13 |
8 |
8 |
Les greffes multiviscérales sont des greffes en bloc de 2 ou 3 organes viscéraux (foie-intestin-pancréas, ou intestin-pancréas).
Données extraites de CRISTAL le 01/03/2016
Tableau PA11. Nombre de greffes pancréatiques par équipe en 2015
|
Total greffes |
rein-pancréas |
pancréas isolé |
Créteil Henri Mondor (AP-HP) (A) |
2 |
2 |
0 |
Le Kremlin Bicêtre (AP-HP) (A) |
10 |
10 |
0 |
Lyon (HCL) (A) |
25 |
24 |
1 |
Montpellier La Peyronie (A) |
8 |
7 |
1 |
Nantes (A ) |
15 |
12 |
3 |
Paris Saint-Louis (AP-HP) (A) |
5 |
5 |
0 |
Toulouse Rangueil (A) |
13 |
10 |
3 |
France |
78 |
70 |
8 |
Données extraites de CRISTAL le 01/03/2016
Tableau PA12. Durée moyenne d’ischémie froide du greffon pancréatique lors d’une greffe combinée rein-pancréas pour l’année 2015 et par équipe de greffe
Equipe de greffe |
Nombre de greffes |
Durée d'ischémie froide |
||
Non renseignée |
Moyenne (heures) |
IC |
||
Créteil Henri Mondor (AP-HP) (A) |
2 |
0 |
9,6 |
27,6 |
Le Kremlin Bicêtre (AP-HP) (A) |
10 |
5 |
NC |
NC |
Lyon (HCL) (A) |
24 |
0 |
10,6 |
0,7 |
Montpellier La Peyronie (A) |
7 |
1 |
7,1 |
0,6 |
Nantes (A ) |
12 |
0 |
10,4 |
1,2 |
Paris Saint-Louis (AP-HP) (A) |
5 |
0 |
10,8 |
3,3 |
Toulouse Rangueil (A) |
10 |
0 |
8,1 |
0,8 |
France |
70 |
6 |
9,6 |
0,5 |
NC=non calculable si plus de 30% de données non renseignées
IC=moitié de la largeur de l'intervalle de confiance de la moyenne à 95%
Données extraites de CRISTAL le 01/03/2016
Tableau PA13. Evolution des greffes pancréatiques par équipe (Pancréas seul ou pancréas-rein)
|
2009 |
2010 |
2011 |
2012 |
2013 |
2014 |
2015 |
Amiens (A) |
0 |
3 |
2 |
2 |
0 |
0 |
0 |
Bordeaux * |
3 |
4 |
2 |
0 |
0 |
0 |
0 |
Créteil Henri Mondor (AP-HP) (A) |
3 |
4 |
1 |
1 |
1 |
1 |
2 |
Le Kremlin Bicêtre (AP-HP) (A) |
6 |
3 |
7 |
5 |
4 |
2 |
10 |
Lyon (HCL) (A) |
26 |
29 |
29 |
28 |
32 |
30 |
25 |
Montpellier La Peyronie (A) |
0 |
0 |
0 |
1 |
2 |
6 |
8 |
Nancy (A) |
3 |
1 |
1 |
1 |
1 |
0 |
0 |
Nantes (A ) |
25 |
26 |
13 |
20 |
24 |
16 |
15 |
Paris Pitié-Salpêtrière (AP-HP) * |
1 |
2 |
0 |
0 |
0 |
0 |
0 |
Paris Saint-Louis (AP-HP) (A) |
12 |
12 |
8 |
5 |
7 |
10 |
5 |
Strasbourg Hôpital Civil (A ) |
2 |
1 |
2 |
0 |
1 |
0 |
0 |
Toulouse Rangueil (A) |
4 |
10 |
8 |
8 |
12 |
13 |
13 |
France |
85 |
95 |
73 |
71 |
84 |
78 |
78 |
* Equipe de greffe sans autorisation valide d'activité de greffe pancréatique le 01/03/2016
Données extraites de CRISTAL le 01/03/2016
Survie post greffe
La survie des greffons rénaux et pancréatiques est calculée par la méthode de Kaplan-Meier, sur les 1 241 greffes combinées rein-pancréas réalisées entre 1996 et 2014. On peut noter que la survie à 1 an du greffon rénal (94,6%) et celle à 5 ans (83,6%) sont comparables à celles des greffes de rein seul (91,3% à un an et 79,4% à 5 ans). La survie du greffon pancréatique est significativement inférieure à celle du greffon rénal (79,8% à 1 an et 79,4% à 5 ans) avec une différence de survie liée à une perte précoce du greffon pancréatique (1er mois) puis des courbes de survie des deux greffons relativement parallèles. Cette perte de greffons pancréatiques dans la première année a significativement diminuée dans le temps avec une survie à 1 an qui est passé de 65,6 % pour la cohorte 1985-1989 à un maximum de 82,6% entre 2000 et 2004. Mais les cohortes les plus récentes voient une discrète détérioration avec une survie à 1 an de 80,4% pour les greffes 2005-2008 et 78,0% pour celles de 2009-2014.
Tableau PA14. Répartition des malades déclarés vivants avec un greffon fonctionnel dans les différentes équipes de greffe pancréatique, en fonction du délai écoulé depuis les dernières nouvelles : état de la base au 31 décembre 2015 des malades ayant eu une greffe pancréatique entre 1993 et 2014 (Pancréas seul ou pancréas-rein)
|
nombre total de dossiers |
Ancienneté des dernières nouvelles (en % de dossiers) |
||
0-1 an |
1-2 ans |
> 2 ans* |
||
% |
% |
% |
||
Amiens (A) |
4 |
75,0 |
25,0 |
0,0 |
Bordeaux ** |
10 |
80,0 |
10,0 |
10,0 |
Créteil Henri Mondor (AP-HP) (A) |
18 |
100,0 |
0,0 |
0,0 |
Le Kremlin Bicêtre (AP-HP) (A) |
74 |
18,9 |
4,1 |
77,0 |
Lyon (HCL) (A) |
267 |
100,0 |
0,0 |
0,0 |
Montpellier La Peyronie (A) |
25 |
88,0 |
12,0 |
0,0 |
Nancy (A) |
7 |
100,0 |
0,0 |
0,0 |
Nantes (A ) |
228 |
72,8 |
25,4 |
1,8 |
Paris Pitié-Salpêtrière (AP-HP) ** |
21 |
33,3 |
38,1 |
28,6 |
Paris Saint-Louis (AP-HP) (A) |
100 |
87,0 |
12,0 |
1,0 |
Rouen ** |
1 |
100,0 |
0,0 |
0,0 |
Strasbourg Hôpital Civil (A ) |
17 |
100,0 |
0,0 |
0,0 |
Toulouse Rangueil (A) |
55 |
98,2 |
1,8 |
0,0 |
Total |
827 |
81,1 |
10,5 |
8,3 |
* pourcentage de dossiers dont les dernières nouvelles datent de plus de 2 ans ou sont manquantes
** Equipe de suivi sans autorisation d'activité de greffe pancréatique
Données extraites de CRISTAL le 01/03/2016
En 2015, le pourcentage de malades pour lesquels le suivi n’est pas renseigné depuis plus d’un an est de 18,8%. Le taux de dossiers dont la mise à jour date de plus de deux ans ou est manquante est extrêmement variable d’une équipe à l’autre.
Figure PA2. Survie globale du greffon rénal et du greffon pancréatique après greffe combinée de rein-pancréas (1996-2014)
Greffon |
N |
Survie à 1 mois |
Survie à 1 an |
Survie à 5 ans |
Survie à 10 ans |
Survie à 15 ans |
Médiane de |
Pancréas |
1241 |
86,5% |
79,8% |
70,4% |
57,8% |
NO |
NO |
nombre de sujets à risque* |
|
1062 |
957 |
623 |
257 |
69 |
|
Rein |
1241 |
97,6% |
94,6% |
83,6% |
69,6% |
NO |
NO |
nombre de sujets à risque* |
|
1204 |
1135 |
746 |
323 |
87 |
|
[] : Intervalle de confiance
NO : non observable
* : Nombre de malades restant à observer pour chaque temps et pour lesquels aucun évènement n'est survenu
Figure PA3. Survie du greffon pancréatique après greffe combinée de rein-pancréas selon la période de greffe
Période de greffe |
N |
Survie à 1 mois |
Survie à 1 an |
Survie à 5 ans |
Survie à 10 ans |
Survie à 15 ans |
Médiane de |
1985-1989 |
95 |
85,0% |
65,6% |
44,1% |
26,9% |
NO |
38,9 |
nombre de sujets à risque* |
|
79 |
61 |
41 |
25 |
15 |
|
1990-1994 |
217 |
88,2% |
69,1% |
52,3% |
39,9% |
24,8% |
68,5 |
nombre de sujets à risque* |
|
185 |
145 |
107 |
77 |
43 |
|
1995-1999 |
243 |
88,4% |
77,3% |
63,5% |
48,5% |
36,0% |
113,8 |
nombre de sujets à risque* |
|
214 |
187 |
149 |
111 |
73 |
|
2000-2004 |
308 |
88,5% |
82,6% |
71,7% |
59,3% |
NO |
NO |
nombre de sujets à risque* |
|
269 |
251 |
214 |
149 |
10 |
|
2005-2008 |
322 |
84,5% |
80,4% |
71,4% |
NO |
NO |
NO |
nombre de sujets à risque* |
|
272 |
259 |
216 |
17 |
0 |
|
2009-2014 |
418 |
85,6% |
78,0% |
73,0% |
NO |
NO |
NO |
nombre de sujets à risque* |
|
350 |
296 |
72 |
0 |
0 |
|
[] : Intervalle de confiance
NO : non observable
* : Nombre de malades restant à observer pour chaque temps et pour lesquels aucun évènement n'est survenu
La comparaison des courbes de survie des greffons montre une amélioration significative (p < 0,001, test du Log-Rank) des résultats selon les cohortes de greffe : 1985-1989, 1990-1994, 1995-1999 puis 2000-2004 avec des survies à 1 an de 66%, 69%, 77% et 83% et à 5 ans de 44%, 52%, 64% et 72% respectivement. Les courbes des périodes 2005-2008 et 2009-2014 mettent en évidence un taux de survie à 1 an de respectivement 80% et 78%, et à 5 ans de 71% et 73%. Sous réserve d’un taux de remplissage des suivis à un an pour les greffes réalisées en 2014 satisfaisant, le taux de survie à un an présente donc une diminution.
Figure PA4. Survie du greffon pancréatique selon type de greffe pancréatique (1996-2014)
|
N |
Survie à 1 mois |
Survie à 1 an |
Survie à 5 ans |
Survie à 10 ans |
Survie à 15 ans |
Médiane de |
Greffe rein-pancréas |
1241 |
86,5% |
79,8% |
70,4% |
57,8% |
NO |
NO |
nombre de sujets à risque* |
|
1062 |
957 |
623 |
257 |
69 |
|
Greffe pancréas isolé |
152 |
81,5% |
71,5% |
56,0% |
NO |
NO |
NO |
nombre de sujets à risque* |
|
123 |
104 |
52 |
18 |
1 |
|
[] : Intervalle de confiance
NO : non observable
* : Nombre de malades restant à observer pour chaque temps et pour lesquels aucun évènement n'est survenu
La survie des greffons pancréatiques à 1 an et à 5 ans est significativement meilleure lorsque la greffe pancréatique est combinée à une greffe rénale comme cela est rapporté dans les autres pays, faisant de ce type de greffe le traitement de référence.
Tableau PA15. Estimation du nombre de malades porteurs d’un greffon pancréatique fonctionnel au 31 décembre 2015, par équipe de suivi (Pancréas seul ou pancréas-rein)
Equipe de suivi |
Nombre de malades n'ayant pas fait l'objet d'une déclaration de décès ou d'arrêt de fonction du greffon |
Nombre malades suivis (dernières nouvelles<=18 mois) |
Nombre estimé de malades vivants avec greffon fonctionnel au 31/12/2015 |
Amiens (A) |
5 |
4 |
5 |
Bordeaux * |
11 |
9 |
10 |
Clermont-Ferrand* |
1 |
0 |
0 |
Créteil Henri Mondor (AP-HP) (A) |
19 |
18 |
19 |
Le Kremlin Bicêtre (AP-HP) (A) |
85 |
25 |
52 |
Lyon (HCL) (A) |
325 |
296 |
303 |
Montpellier La Peyronie (A) |
32 |
32 |
32 |
Nancy (A) |
8 |
7 |
7 |
Nantes (A ) |
254 |
233 |
242 |
Paris Necker * |
3 |
0 |
1 |
Paris Pitié-Salpêtrière (AP-HP) * |
35 |
15 |
21 |
Paris Saint-Louis (AP-HP) (A) |
128 |
99 |
111 |
Paris Tenon * |
1 |
0 |
0 |
Rouen * |
1 |
1 |
1 |
Strasbourg Hôpital Civil (A ) |
21 |
19 |
20 |
Toulouse Rangueil (A) |
64 |
64 |
64 |
Total |
993 |
822 |
886 |
* Equipe de suivi sans autorisation d'activité de greffe pancréatique
Données extraites de CRISTAL le 01/03/2016
Etant donné l’absence d’exhaustivité des données de suivi des malades greffés pancréatiques, il n’est pas possible d’obtenir le nombre de malades porteurs d’un greffon fonctionnel par simple interrogation de Cristal. En effet, au 31 décembre 2015, 18,8% des malades greffés pancréatiques entre 1993 et 2014 restaient sans nouvelles depuis plus d’un an. Ainsi, l’estimation de ce nombre a été effectuée en deux étapes basées sur l’ancienneté des données de suivi du malade. Dans un premier temps, nous avons dénombré les porteurs d’un greffon fonctionnel dans Cristal (malades déclarés vivants sans arrêt de fonction du greffon) dont les dernières nouvelles dataient de moins de 18 mois (suivi annuel obligatoire dans Cristal). Pour les malades qui n’avaient pas fait l’objet d’une déclaration de décès ou d’arrêt de fonction du greffon et dont le dernier suivi datait de plus de 18 mois, le nombre de porteurs d’un greffon fonctionnel a été estimé en leur appliquant les taux de survie du greffon estimés sur la population globale.
Le nombre total de porteurs d’un greffon fonctionnel correspond à la somme de ces deux valeurs. Le chiffre ainsi estimé est encadré par deux bornes :
- la borne inférieure correspond à l’hypothèse la plus pessimiste, selon laquelle les malades non suivis sont considérés comme en arrêt fonctionnel de greffon ou décédés. Cela signifie que seuls les greffés qui n’avaient pas fait l’objet d’une déclaration de décès ou d’arrêt de fonction du greffon au 31 décembre de l’année et dont les données de suivi dataient de moins de 18 mois étaient porteurs d’un greffon fonctionnel à cette date ;
- la borne supérieure correspond à l’hypothèse la plus optimiste, selon laquelle les malades non suivis sont considérés comme porteurs d’un greffon fonctionnel. En d’autres termes, tous les greffés qui n’avaient pas fait l’objet d’une déclaration de décès ou d’arrêt de fonction du greffon au 31 décembre de l’année, quelle que soit l’ancienneté des données de suivi, étaient vivants et porteurs d’un greffon fonctionnel à cette date.
Le nombre de malades porteurs d’un greffon fonctionnel est un indicateur important de la charge de travail des équipes médico-chirurgicales de greffe qui doivent assumer le suivi d’une cohorte chaque année grandissante de malades sous traitement immunosuppresseur. Le nombre estimé de porteurs de greffon pancréatique fonctionnel en France est de 886 au 31 décembre 2015.
Greffe d’îlots de Langerhans
La greffe d’îlots de Langerhans est réservée à des malades diabétiques de type I qui ne sont pas encore parvenus au stade d’insuffisance rénale, et qui ne justifient pas une indication de greffe de pancréas (organe) pour des raisons évidentes de rapport bénéfice/risque défavorable. Lors d’une greffe d’îlots de Langerhans, seuls les îlots de cellules du pancréas capables de sécréter de l’insuline sont injectés au malade. Le nombre d’îlots isolés à partir d’un donneur n’est pas toujours suffisant pour corriger totalement le diabète. Certains receveurs sont donc amenés à recevoir des îlots issus de plusieurs donneurs. Au 1er janvier 2015, 24 malades restaient en attente d’une greffe d’îlots et 11 malades ont été inscrits pendant l’année. Au cours de l’année 2015, 29 injections d’îlots de Langerhans ont été effectuées, soit une diminution de l’activité depuis 2 ans après un pic d’activité en 2013 avec 44 injections réalisées. Parmi celles-ci, 12 étaient une première injection, 8 une deuxième injection, 7 une troisième injection et 1 une quatrième injection. En 2015, 29 pancréas parmi les 86 attribués à un laboratoire d’isolement actif ont abouti à une greffe d’îlots soit un rendement de 33 % (contre 43% en 2013 et 27% en 2014). Avec l’ouverture du laboratoire de l’hôpital Saint-Louis à Paris qui, depuis août 2014, se rajoute à ceux de Lille, Grenoble et Genève, quatre laboratoires sont disponibles. Jusqu’en 2014, les greffes d’îlots ont été réalisées exclusivement dans le cadre de protocoles de recherche. La période d’inclusion dans le protocole TRIMECO (essai contrôlé randomisé, comparant l’efficacité métabolique de la transplantation d’îlots pancréatiques à l’insulinothérapie intensive) est terminée et l’analyse des résultats est en cours. Seule l’étude pilote PIM (étude de l’efficacité métabolique de la greffe combinée de poumons et d’îlots pancréatiques dans la mucoviscidose) est en cours mais restreinte à des patients particuliers. Les résultats à long terme des protocoles mis en œuvre depuis le début de cette activité ont permis de mieux préciser la place de la greffe d’îlots dans le traitement du diabète et d’améliorer régulièrement les résultats. Les résultats compilés au niveau international indiquent, dans les derniers protocoles, une insulino indépendance qui atteint 50%, ce qui est comparable aux résultats obtenus avec une greffe de pancréas isolé qui est un soin de routine. Le taux et la durée d’insulino indépendance ne sont pas analysables actuellement à partir de la base de données Cristal.
Dans ces conditions, la sortie des protocoles de recherche clinique vers le passage en soin de routine va passer par une évaluation médico-économique (via un PRME), commun à toutes les équipes qui a débuté fin 2015. Ce projet compare l’impact médico-éco (coût-utilité) à 1 an, de 2 stratégies greffe d’îlots versus traitement médical optimal chez des patients avec diabète de type 1 instable.
Dans le cadre de ce passage en soin de routine, une meilleure évaluation des résultats est nécessaire et passe par la saisie des données estimant l’insulino indépendance dans la base de données Cristal.
Tableau IL1. Evolution de la liste d'attente et devenir des candidats en greffe d’îlots de Langerhans
|
2010 |
2011 |
2012 |
2013 |
2014 |
2015 |
2016 |
Malades restant en attente au 1er janvier de chaque année |
31 |
29 |
31 |
27 |
19 |
24 |
27 |
Nouveaux inscrits dans l'année |
15 |
17 |
11 |
15 |
17 |
11 |
|
Total candidats |
46 |
46 |
42 |
42 |
36 |
35 |
. |
Décédés en attente dans l'année |
3 |
0 |
0 |
2 |
0 |
0 |
|
Sortis de liste d'attente |
6 |
3 |
1 |
3 |
1 |
1 |
|
Nombre de malades greffés (greffe terminée) |
7 |
9 |
14 |
17 |
10 |
7 |
|
Nombre total de greffons injectés* |
23 |
31 |
30 |
44 |
31 |
29 |
. |
* les injections comprenant 2 greffons de pancréas différents comptent pour deux injections.
Données extraites de CRISTAL le 01/03/2016
Tableau IL2. Evolution de l’activité de greffe d’îlots de Langerhans
|
2010 |
2011 |
2012 |
2013 |
2014 |
2015 |
Malades recevant leur 1er greffon |
11 |
11 |
13 |
18 |
13 |
12 |
dont terminant la greffe: 1er greffon injecté |
2 |
1 |
3 |
4 |
1 |
1 |
Malades recevant leur 2ème greffon |
11 |
10 |
9 |
14 |
11 |
8 |
dont terminant la greffe: 2ème greffon injecté |
5 |
3 |
4 |
4 |
4 |
0 |
Malades recevant leur 3ème greffon |
1 |
9 |
6 |
11 |
5 |
7 |
dont terminant la greffe: 3ème greffon injecté |
1 |
7 |
5 |
9 |
4 |
5 |
Malades recevant leur 4éme greffon |
0 |
1 |
2 |
1 |
2 |
1 |
dont terminant la greffe: 4ème greffon injecté |
0 |
1 |
2 |
1 |
2 |
0 |
Remarque : dans ce tableau les injections où 2 greffons de pancréas différents dans l’injection sont comptées deux fois.
Données extraites de CRISTAL le 01/03/2016
Tableau IL3. Evolution des injections multi donneurs de greffe d’îlots de Langerhans
|
2010 |
2011 |
2012 |
2013 |
2014 |
2015 |
Nombre de cas par an avec 2 greffons de pancréas différents dans l’injection |
0 |
2 |
0 |
3 |
2 |
1 |
Nombre de cas par an avec 3 greffons de pancréas différents dans l’injection |
0 |
0 |
0 |
0 |
0 |
0 |
Données extraites de CRISTAL le 01/03/2016
Tableau IL4. Liste d'attente et devenir des candidats en greffe d'îlots de Langerhans par équipe en 2015
|
Malades restant en attente au 1er janvier 2015 |
Malades restant en attente au 1er janvier 2016 |
Nouveaux inscrits |
Nombre de malades greffés (greffe terminée) |
Nombre total de greffons injectés |
Besançon (A) |
1 |
1 |
0 |
0 |
1 |
Paris Saint-Louis (AP-HP) (A) |
4 |
5 |
1 |
0 |
2 |
Grenoble (A) |
2 |
0 |
0 |
2 |
6 |
Lille Clinique Marc Linquette (A) |
5 |
4 |
2 |
2 |
9 |
Lyon (HCL) (A) |
2 |
2 |
1 |
1 |
1 |
Montpellier La Peyronie (A) |
2 |
2 |
1 |
1 |
4 |
Nancy |
1 |
1 |
0 |
0 |
1 |
Suresnes Foch (A) |
0 |
1 |
2 |
1 |
2 |
Le Kremlin Bicêtre (AP-HP) (A) |
5 |
8 |
3 |
0 |
1 |
Strasbourg Hôpital Civil (A) |
2 |
3 |
1 |
0 |
2 |
Remarque : dans ce tableau une injection où 2 greffons de pancréas différents dans l’injection est compté deux fois
Données extraites de CRISTAL le 01/03/2016
Tableau IL5. Répartition des malades déclarés vivants avec un greffon fonctionnel dans les différentes équipes de greffe d’îlots de Langerhans, en fonction du délai écoulé depuis les dernières nouvelles : état de la base au 31 décembre 2015 des malades ayant eu une greffe d’îlots de Langerhans entre 2008 et 2014
|
nombre total de dossiers |
Ancienneté des dernières nouvelles (en % de dossiers) |
||
0-1 an |
1-2 ans |
> 2 ans* |
||
% |
% |
% |
||
Besançon (A) |
3 |
33,3 |
0,0 |
66,7 |
Grenoble (A) |
13 |
76,9 |
15,4 |
7,7 |
Lille Clinique Marc Linquette (A) |
20 |
90,0 |
5,0 |
5,0 |
Lyon (HCL) (A) |
1 |
100,0 |
0,0 |
0,0 |
Montpellier La Peyronie (A) |
8 |
37,5 |
12,5 |
50,0 |
Nancy ** |
1 |
100,0 |
0,0 |
0,0 |
Strasbourg Hôpital Civil (A) |
19 |
42,1 |
10,5 |
47,4 |
Suresnes Foch (A) |
1 |
0,0 |
100,0 |
0,0 |
Total |
66 |
63,6 |
10,6 |
25,8 |
* pourcentage de dossiers dont les dernières nouvelles datent de plus de 2 ans ou sont manquantes
** Equipe de suivi sans autorisation d'activité de greffe pancréatique
Données extraites de CRISTAL le 01/03/2016
En 2015, le pourcentage de malades pour lesquels le suivi n’est pas renseigné depuis plus d’un an est de 36,4%. Le taux de dossiers dont la mise à jour date de plus de deux ans ou est manquante est extrêmement variable d’une équipe à l’autre.
Tableau IL6. Suivis après la première greffe d’îlots de Langerhans (2008-2014)
| Suivis | Nombre de suivis attendus |
Hémoglobine glycosylée ou HbA1C |
Besoins journaliers en insuline (UI/24h) |
C peptide à jeun (ng/mL) |
|||||||
N suivis saisis |
% suivis manquants |
moyenne |
N suivis saisis |
% suivis manquants |
% de PID |
moyenne (hors PID) |
N suivis saisis |
% suivis manquants |
moyenne |
||
à l'inscription |
76 |
11 |
86% |
NC |
12 |
84% |
NC |
NC |
12 |
84% |
NC |
à la 1ère injection |
76 |
62 |
18% |
8,1 |
59 |
22% |
NC |
NC |
59 |
22% |
8,1 |
1 an |
73 |
27 |
63% |
NC |
12 |
62% |
NC |
NC |
26 |
64% |
NC |
2 ans |
70 |
31 |
56% |
NC |
14 |
57% |
NC |
NC |
28 |
60% |
NC |
3 ans |
55 |
27 |
51% |
NC |
11 |
55% |
NC |
NC |
25 |
55% |
NC |
4 ans |
39 |
28 |
28% |
NC |
13 |
44% |
NC |
NC |
26 |
33% |
NC |
5 ans |
27 |
18 |
33% |
NC |
9 |
37% |
NC |
NC |
14 |
48% |
NC |
PID : patient insulino indépendant
NC : non calculable car % de données manquantes supérieur à 20%.
Données extraites de CRISTAL le 01/03/2016
Tableau IL7. Activité des laboratoires d’isolement d’îlots de Langerhans à partir des donneurs prélevés en France (source : rapport d'activité d'isolement d’îlots de Langerhans de 2011 à 2014)
Laboratoire |
Année |
Nombre de Pancréas organe reçus |
Pancréas envoyé en anatomo-pathologie |
Echec d'isolement |
Isolement à but scientifique |
Isolement ayant abouti à une greffe |
Montpellier |
2011 |
11 |
7 |
0 |
4 |
0 |
Montpellier |
2012 |
12 |
6 |
0 |
6 |
0 |
Montpellier |
2013 |
9 |
4 |
0 |
5 |
0 |
Montpellier |
2014 |
5 |
0 |
0 |
5 |
0 |
Grenoble |
2011 |
8 |
0 |
4 |
0 |
4 |
Grenoble |
2012 |
9 |
0 |
6 |
0 |
3 |
Grenoble |
2013 |
7 |
0 |
2 |
0 |
5 |
Grenoble |
2014 |
4 |
0 |
2 |
0 |
2 |
Lille |
2011 |
57 |
0 |
42 |
0 |
15 |
Lille |
2012 |
53 |
0 |
42 |
0 |
11 |
Lille |
2013 |
47 |
0 |
32 |
0 |
15 |
Lille |
2014 |
60 |
0 |
46 |
4 |
10 |
Paris Saint-Louis |
2011 |
11 |
0 |
0 |
11 |
0 |
Paris Saint-Louis |
2012 |
5 |
0 |
0 |
5 |
0 |
Paris Saint-Louis |
2013 |
3 |
0 |
0 |
3 |
0 |
Paris Saint-Louis |
2014 |
7 |
0 |
1 |
4 |
2 |
Genève |
2011 |
31 |
0 |
19 |
0 |
12 |
Genève |
2012 |
41 |
0 |
24 |
0 |
17 |
Genève |
2013 |
36 |
0 |
12 |
0 |
24 |
Genève |
2014 |
33 |
0 |
18 |
0 |
15 |
Total |
2011 |
118 |
7 |
65 |
15 |
31 |
Total |
2012 |
120 |
6 |
72 |
11 |
31 |
Total |
2013 |
102 |
4 |
46 |
8 |
44 |
Total |
2014 |
109 |
0 |
67 |
13 |
29 |
Tableau IL8. Activité des laboratoires d’isolement d’îlots de Langerhans à partir des donneurs prélevés en France (source : rapport d'activité d'isolement d’îlots de Langerhans à partir de 2015)
Laboratoire |
Année |
Visée Clinique |
Visée scientifique |
||||||
Nombre de Pancréas organe reçus |
Pancréas envoyé en anatomo-pathologie sans isolement |
Isolement ayant abouti à une greffe |
Echec d'isolement |
Nombre de Pancréas organe reçus |
Pancréas envoyé en anatomo-pathologie sans isolement |
Isolement ayant abouti à une greffe |
Echec d'isolement |
||
Genève |
2015 |
35 |
0 |
17 |
18 |
0 |
. |
. |
. |
Grenoble |
2015 |
1 |
0 |
0 |
1 |
0 |
. |
. |
. |
Lille |
2015 |
40 |
0 |
9 |
31 |
16 |
1 |
15 |
0 |
Montpellier |
2015 |
0 |
. |
. |
. |
11 |
2 |
8 |
1 |
Paris Saint-Louis |
2015 |
10 |
0 |
3 |
7 |
0 |
. |
. |
. |
Total |
2015 |
86 |
0 |
29 |
57 |
27 |
3 |
23 |
1 |
Greffe pancréatique et greffe d’îlots de Langerhans
Tableau PAIL1. Evolution de la liste d'attente et devenir des candidats en greffe pancréatique et en greffe d’îlots de Langerhans
|
2010 |
2011 |
2012 |
2013 |
2014 |
2015 |
Malades restant en attente au 1er janvier de chaque année |
190 |
177 |
176 |
192 |
197 |
224 |
Greffes pancréatique |
96 |
73 |
72 |
85 |
79 |
78 |
Greffes d’îlots de Langerhans |
8 |
12 |
14 |
18 |
11 |
7 |
Nombre total de greffons d’îlots de Langerhans injectés |
23 |
31 |
30 |
44 |
31 |
29 |
Remarque : dans ce tableau les injections où 2 greffons de pancréas différents dans l’injection sont comptées deux fois.
Données extraites de CRISTAL le 01/03/2016
Conclusion
En 2015, l’activité de la greffe pancréatique stagne et ne se redresse pas malgré la mobilisation de la communauté des transplanteurs et de l’Agence de la biomédecine. Cette diminution n’est pas en adéquation avec les besoins et avec la reconnaissance de la greffe pancréas-rein comme le meilleur traitement du diabéte de type 1 en insuffisance rénale sévère. La mortalité observée chez les patients diabétiques en dialyse fait qu’il y a une nécessité vitale à augmenter cette activité dont les résultats sont en constant progrès avec actuellement l’obtention d’une insulino-indépendance à 5 ans chez 70% des patients. L’élargissement des critères d’accès à une catégorie prioritaire permettant l’éligibilité de candidats plus âgés va dans ce sens. Les caractéristiques cliniques « optimales » exigées pour les donneurs dans un contexte de vieillissement de ces donneurs est une des difficultés de ces greffes. Un recensement et des propositions aux équipes plus exhaustifs des pancréas, associés à l’élaboration de critères cliniques et paracliniques d’évaluation communs doivent permettre d’augmenter le nombre de pancréas prélevé. La difficulté technique du prélèvement et la nécessité de déplacer les équipes chirurgicales représentent le frein principal au développement de cette activité de greffe. La mutualisation du prélèvement, favorisée par la formation de nouveaux chirurgiens à ce type de prélèvement et de greffe mais aussi par l’organisation de réseaux sont des solutions à ces difficultés. Pour la greffe d’îlots de Langerhans, l’objectif est d’inscrire à moyen terme dans les soins de routine cette activité de recherche, dont les indications et l’efficacité sont démontrées, en assurant une continuité de son financement dans cette période intermédiaire grâce au protocole nationale d’évaluation médico-économique mis en place en 2015.