Résumé de l’activité
Depuis 1959, année de la première greffe rénale enregistrée dans Cristal, un total de 76 980 greffes rénales a été enregistré, ce qui représente l'expérience cumulée globale française en matière de greffe rénale. Le nombre estimé de malades porteurs d’un greffon rénal fonctionnel est de 36 729 au 31 décembre 2015 soit une prévalence de 552,4 par million d’habitants (pmh).
Tableau R1. Evolution de la liste d'attente et devenir des candidats en greffe rénale
|
2010 |
2011 |
2012 |
2013 |
2014 |
2015 |
2016 |
Malades restant en attente au 1er janvier de chaque année |
7602 |
8476 |
9089 |
9889 |
10813 |
11794 |
12459 |
dont malades en attente au 1er janvier et en CIT |
2274 |
2687 |
3155 |
3820 |
4270 |
4785 |
5187 |
Part des malades en CIT parmi les malades en attente au 1er janvier |
30% |
32% |
35% |
39% |
39% |
41% |
42% |
Nouveaux inscrits dans l'année |
4171 |
4027 |
4337 |
4548 |
4768 |
4735 |
|
Décédés en attente dans l'année |
227 |
236 |
254 |
276 |
284 |
266 |
|
Sortis de liste d'attente |
177 |
202 |
239 |
274 |
271 |
318 |
|
dont sortis de la liste d'attente pour aggravation |
100 |
132 |
132 |
166 |
159 |
221 |
|
Greffes |
2893 |
2976 |
3044 |
3074 |
3232 |
3486 |
|
dont greffes avec donneur vivant |
283 |
302 |
357 |
401 |
514 |
547 |
|
dont greffes avec DDAC-ACI |
79 |
65 |
81 |
78 |
54 |
62 |
|
dont greffes avec DDAC-LAT |
|
|
|
|
|
27 |
|
Greffes (pmh) |
44,7 |
45,7 |
46,5 |
46,7 |
48,9 |
52,4 |
. |
DDAC-ACI : donneur décédé après arrêt circulatoire suite à un arrêt cardiaque inopiné
DDAC-LAT : donneur décédé après arrêt circulatoire suite à la limitation ou l’arrêt des thérapeutiques
pmh : par million d'habitant CIT : contre-indication temporaire
Données extraites de CRISTAL le 01/03/2016
Devenir des candidats en liste d’attente
Liste d’attente
En 2015, 4735 nouveaux malades ont été inscrits sur la liste nationale d’attente pour une greffe rénale, soit 32 malades de moins qu’en 2014 et un taux d’inscription de 71 nouveaux candidats pmh. Cette diminution du nombre d’inscriptions, bien que faible, est à souligner car la progression des inscriptions a été constante depuis 2000, à l’exception de l’année 2011. Sur les 5 dernières années, l’augmentation des inscriptions a été de 18%.
Le nombre de nouveaux malades inscrits pour une retransplantation diminue pour la deuxième année consécutive avec 763 nouveaux malades en 2015 soit une baisse de 7%. Ils représentent 16 % des nouvelles inscriptions. L’âge moyen des nouveaux malades s’élève progressivement : il est de 53 ans en 2015 contre 50,1 ans en 2010 et 47,4 ans en 2005. La part des nouveaux inscrits âgés de plus de 65 ans est de 21%. Parmi les nouveaux inscrits, 37,6% ne sont pas encore dialysés et 13,3% sont hyperimmunisés avec un taux de greffons incompatibles supérieur à 85%. Le taux de malades hyperimmunisés était de 25,3% parmi les malades restant en attente sur liste au 1er janvier 2015. Le nombre total de candidats à une greffe (nouveaux inscrits + malades restant en attente au 1er janvier de l’année) a atteint 16 529 en 2015 soit une progression de 6% en 1 an. Cependant, au 1er janvier 2016, 5187 malades étaient en contre-indication temporaire soit 42% des malades en attente avec une progression de 12 % dans les six dernières années de cette part qui ne représentait que 30 % en 2009. Cette dimension relativise l’inadéquation entre le nombre de candidats et le nombre de greffes réalisées.
En 2015, le nombre de greffes réalisées est de 3 486 en augmentation de 7,8 % (soit + 254 greffes) par rapport à 2014. Cette progression est plus importante que celles des 3 dernières années avec une progression de 17% en 5 ans. Mais elle est néanmoins faible au regard de celle du nombre total de candidats qui est de 40% pendant la même période. Le nombre de patients sortis de la liste d’attente hors décès augmente par rapport à 2014 (318 patients en 2015, 271 en 2014 soit + 17%) tandis que le nombre de décès sur liste d’attente diminue pour la deuxième année consécutive (266 en 2015 et 284 en 2014, soit – 6%) et représente 1,6% du total des candidats de l’année 2015.
Parmi les 3 486 greffes rénales réalisées, 502 (14%) étaient préemptives et 512 (15%) étaient des retransplantations.
Tableau R2. Evolution des principaux indicateurs de pénurie de greffe rénale
|
2010 |
2011 |
2012 |
2013 |
2014 |
2015 |
Nouveaux inscrits pour un greffon |
1,4 |
1,4 |
1,4 |
1,5 |
1,5 |
1,4 |
Receveurs en attente au 1er janvier pour un greffon |
2,6 |
2,8 |
3,0 |
3,2 |
3,3 |
3,4 |
Receveurs en attente au 1er janvier pour un greffon hors malade en CIT |
1,8 |
1,9 |
1,9 |
2,0 |
2,0 |
2,0 |
Total candidats pour un greffon |
4,1 |
4,2 |
4,4 |
4,7 |
4,8 |
4,7 |
CIT : contre-indication temporaire
Données extraites de CRISTAL le 01/03/2016 : données générales et méthodes
L’évolution de la pénurie peut être mesurée par 4 indicateurs :
- le nombre de nouveaux inscrits pour un greffon (1,4inscrit en 2015 pour un greffon utilisable) ;
- le nombre de candidats en attente au 1er janvier de l’année pour un greffon (3,4 receveurs début 2015 pour un greffon rénal utilisable) ;
- le nombre de candidats en attente au 1er janvier hors malades en CIT (2 receveurs hors CIT début 2015 pour un greffon utilisable),
- le nombre total de candidats pour un greffon (4,7 candidats en 2015 pour un greffon utilisable dans l’année).
Tableau R3. Caractéristiques démographiques des donneurs de rein et des malades inscrits selon leur devenir en liste d'attente de greffe rénale en 2015
Caractéristiques |
Greffons rénaux greffés en 2015* |
Malades en attente au 1er janvier 2015 |
Nouveaux malades inscrits en 2015 |
Malades greffés en 2015 |
Malades décédés en 2015 |
|||||
n |
% |
n |
% |
n |
% |
n |
% |
n |
% |
|
Age |
||||||||||
0-17 ans |
90 |
2,6 |
128 |
1,1 |
126 |
2,7 |
97 |
2,8 |
2 |
0,8 |
18-29 ans |
320 |
9,2 |
624 |
5,3 |
281 |
5,9 |
261 |
7,5 |
6 |
2,3 |
30-55 ans |
1405 |
40,3 |
5451 |
46,2 |
1993 |
42,1 |
1666 |
47,8 |
90 |
33,8 |
56-65 ans |
775 |
22,2 |
3588 |
30,4 |
1327 |
28,0 |
818 |
23,5 |
92 |
34,6 |
66-69 ans |
303 |
8,7 |
1105 |
9,4 |
468 |
9,9 |
280 |
8,0 |
46 |
17,3 |
70-74 ans |
215 |
6,2 |
657 |
5,6 |
369 |
7,8 |
214 |
6,1 |
23 |
8,6 |
>=75 ans |
378 |
10,8 |
241 |
2,0 |
171 |
3,6 |
150 |
4,3 |
7 |
2,6 |
(m ± ds, ans) |
53,5 |
17,3 |
53,1 |
13,6 |
53,0 |
15,5 |
51,3 |
15,6 |
57,7 |
12,6 |
Sexe |
||||||||||
Masculin |
1916 |
55,0 |
7198 |
61,0 |
2970 |
62,7 |
2155 |
61,8 |
180 |
67,7 |
Féminin |
1570 |
45,0 |
4596 |
39,0 |
1765 |
37,3 |
1331 |
38,2 |
86 |
32,3 |
Groupe sanguin |
||||||||||
A |
1468 |
42,1 |
3865 |
32,8 |
1957 |
41,3 |
1524 |
43,7 |
90 |
33,8 |
AB |
121 |
3,5 |
412 |
3,5 |
222 |
4,7 |
158 |
4,5 |
8 |
3,0 |
B |
360 |
10,3 |
1702 |
14,4 |
536 |
11,3 |
425 |
12,2 |
47 |
17,7 |
O |
1537 |
44,1 |
5815 |
49,3 |
2020 |
42,7 |
1379 |
39,6 |
121 |
45,5 |
Total |
3486 |
100,0 |
11794 |
100,0 |
4735 |
100,0 |
3486 |
100,0 |
266 |
100,0 |
* greffons issus de donneur vivant inclus
(m ± ds, ans): moyenne ± déviation standard
Données extraites de CRISTAL le 01/03/2016
Tableau R4. Caractéristiques démographiques des malades inscrits selon leur devenir en liste d'attente de greffe rénale en 2015
Caractéristiques |
Malades en attente au 1er janvier 2015 |
Nouveaux malades inscrits en 2015 |
Malades greffés en 2015 |
Malades décédés en 2015 |
||||
n |
% |
n |
% |
n |
% |
n |
% |
|
Dialyse* |
||||||||
Manquant |
105 |
0,9 |
17 |
0,4 |
0 |
0,0 |
3 |
1,1 |
Non |
4196 |
35,6 |
1780 |
37,6 |
502 |
14,4 |
56 |
21,1 |
Oui |
7493 |
63,5 |
2938 |
62,0 |
2984 |
85,6 |
207 |
77,8 |
Retransplantation |
||||||||
Non |
8965 |
76,0 |
3972 |
83,9 |
2974 |
85,3 |
194 |
72,9 |
Oui |
2829 |
24,0 |
763 |
16,1 |
512 |
14,7 |
72 |
27,1 |
Taux de greffons incompatibles** |
||||||||
0 % |
4608 |
39,1 |
2677 |
56,5 |
1804 |
51,7 |
101 |
38,0 |
1-24 % |
1353 |
11,5 |
472 |
10,0 |
431 |
12,4 |
31 |
11,7 |
25-49 % |
1207 |
10,2 |
428 |
9,0 |
324 |
9,3 |
31 |
11,7 |
50-84 % |
1639 |
13,9 |
526 |
11,1 |
393 |
11,3 |
35 |
13,2 |
85-100 % |
2987 |
25,3 |
632 |
13,3 |
534 |
15,3 |
68 |
25,6 |
Total |
11794 |
100,0 |
4735 |
100,0 |
3486 |
100,0 |
266 |
100,0 |
* L'information de dialyse est recalculée pour être celle à l'inscription sauf pour les greffés pour lesquels il s'agit de l'information mise à jour au moment de la greffe. La base de données DIADEM a été utilisée pour contrôler les dates de début de première dialyse pour les dossiers de première greffe.
** Le taux de greffons incompatibles est calculé sur la base des spécificités anticorps anti-HLA de classe I et II
Données extraites de CRISTAL le 01/03/2016
Tableau R5. Evolution du nombre de nouveaux inscrits en attente d'une greffe rénale selon la néphropathie d'origine et incidence par million d'habitants (pmh)
Indication |
2010 |
2011 |
2012 |
2013 |
2014 |
2015 |
||||||||||||
N |
% |
pmh |
N |
% |
pmh |
N |
% |
pmh |
N |
% |
pmh |
N |
% |
pmh |
N |
% |
pmh |
|
Diabète insulino-dépendant (Type 1) |
217 |
5,2 |
3,4 |
194 |
4,8 |
3,0 |
216 |
5,0 |
3,3 |
231 |
5,1 |
3,5 |
231 |
4,8 |
3,5 |
196 |
4,1 |
2,9 |
Diabète non insulino-dépendant (Type 2) |
311 |
7,5 |
4,8 |
366 |
9,1 |
5,6 |
389 |
9,0 |
5,9 |
413 |
9,1 |
6,3 |
437 |
9,2 |
6,6 |
496 |
10,5 |
7,5 |
Glomérulonéphrite chronique |
952 |
22,8 |
14,7 |
891 |
22,1 |
13,7 |
969 |
22,3 |
14,8 |
1002 |
22,0 |
15,2 |
982 |
20,6 |
14,8 |
948 |
20,0 |
14,3 |
Néphroangio-sclérose |
342 |
8,2 |
5,3 |
355 |
8,8 |
5,5 |
399 |
9,2 |
6,1 |
434 |
9,5 |
6,6 |
426 |
8,9 |
6,4 |
504 |
10,6 |
7,6 |
Néphropathie interstitielle chronique |
439 |
10,5 |
6,8 |
417 |
10,4 |
6,4 |
485 |
11,2 |
7,4 |
448 |
9,9 |
6,8 |
476 |
10,0 |
7,2 |
456 |
9,6 |
6,9 |
Néphropathie malformative |
96 |
2,3 |
1,5 |
130 |
3,2 |
2,0 |
124 |
2,9 |
1,9 |
119 |
2,6 |
1,8 |
127 |
2,7 |
1,9 |
148 |
3,1 |
2,2 |
Polykystose rénale |
643 |
15,4 |
9,9 |
586 |
14,6 |
9,0 |
586 |
13,5 |
9,0 |
640 |
14,1 |
9,7 |
664 |
13,9 |
10,0 |
632 |
13,3 |
9,5 |
Autre néphropathie héréditaire |
128 |
3,1 |
2,0 |
130 |
3,2 |
2,0 |
114 |
2,6 |
1,7 |
119 |
2,6 |
1,8 |
133 |
2,8 |
2,0 |
111 |
2,3 |
1,7 |
Autres |
362 |
8,7 |
5,6 |
315 |
7,8 |
4,8 |
341 |
7,9 |
5,2 |
412 |
9,1 |
6,3 |
439 |
9,2 |
6,6 |
475 |
10,0 |
7,1 |
Inconnue ou indéterminée |
681 |
16,3 |
10,5 |
643 |
16,0 |
9,9 |
714 |
16,5 |
10,9 |
730 |
16,1 |
11,1 |
853 |
17,9 |
12,9 |
769 |
16,2 |
11,6 |
Total |
4171 |
100,0 |
64,4 |
4027 |
100,0 |
61,8 |
4337 |
100,0 |
66,2 |
4548 |
100,0 |
69,1 |
4768 |
100,0 |
72,1 |
4735 |
100,0 |
71,2 |
pmh : par million d'habitants
Données extraites de CRISTAL le 01/03/2016
En 2015, les glomérulonéphrites chroniques continuent à être la principale maladie rénale primitive, représentant 20% des nouveaux malades inscrits en attente de greffe rénale. De plus, on constate un volumineux groupe de causes "Inconnue ou indéterminée" (16,2% des inscrits). Ce chiffre reflète pour une bonne part le fait que de nombreux malades arrivent au stade terminal de leur IRC (insuffisance rénale chronique) sans prise en charge néphrologique préalable ou dans des conditions où les données cliniques, anamnestiques, biologiques et morphologiques ne permettent pas de diagnostic étiologique. Le nombre de patients diabétiques de type 2 augmente et représente 10,5% des nouveaux inscrits en 2015 contre 7,5 % en 2010 tandis que le nombre de diabétiques de type 1 est stable.
Tableau R6. Comorbidités parmi les nouveaux malades inscrits en greffe rénale selon leur âge à l'inscription (2010-2015)
|
0-17 ans |
18-45 ans |
46-65 ans |
66-75 ans |
>75 ans |
|||||
N |
% |
N |
% |
N |
% |
N |
% |
N |
% |
|
Comorbidités* |
562 |
81,2 |
5539 |
71,7 |
6621 |
48,4 |
1512 |
37,5 |
188 |
41,1 |
Aucune comorbidité |
||||||||||
Une comorbidité |
45 |
6,5 |
1280 |
16,6 |
3630 |
26,5 |
1246 |
30,9 |
147 |
32,2 |
Au moins 2 comorbidités |
10 |
1,4 |
357 |
4,6 |
2560 |
18,7 |
1087 |
27,0 |
104 |
22,8 |
au moins une donnée non disponible |
75 |
10,8 |
544 |
7,0 |
877 |
6,4 |
184 |
4,6 |
18 |
3,9 |
Diabète |
622 |
89,9 |
6485 |
84,0 |
9655 |
70,5 |
2546 |
63,2 |
340 |
74,4 |
Non |
||||||||||
Oui |
5 |
0,7 |
885 |
11,5 |
3530 |
25,8 |
1376 |
34,2 |
109 |
23,9 |
Donnée non disponible |
65 |
9,4 |
350 |
4,5 |
503 |
3,7 |
107 |
2,7 |
8 |
1,8 |
Comorbidités cardiovasculaires** |
611 |
88,3 |
6759 |
87,6 |
10138 |
74,1 |
2646 |
65,7 |
277 |
60,6 |
Aucune comorbidité |
||||||||||
Une comorbidité |
17 |
2,5 |
448 |
5,8 |
1836 |
13,4 |
780 |
19,4 |
111 |
24,3 |
Au moins 2 comorbidités |
2 |
0,3 |
96 |
1,2 |
854 |
6,2 |
377 |
9,4 |
43 |
9,4 |
au moins une donnée non disponible |
62 |
9,0 |
417 |
5,4 |
860 |
6,3 |
226 |
5,6 |
26 |
5,7 |
Antécédent d'infarctus du myocarde |
631 |
91,2 |
7258 |
94,0 |
12200 |
89,1 |
3540 |
87,9 |
404 |
88,4 |
Non |
||||||||||
Oui |
3 |
0,4 |
123 |
1,6 |
865 |
6,3 |
328 |
8,1 |
30 |
6,6 |
Donnée non disponible |
58 |
8,4 |
339 |
4,4 |
623 |
4,6 |
161 |
4,0 |
23 |
5,0 |
Insuffisance coronarienne |
633 |
91,5 |
7179 |
93,0 |
11549 |
84,4 |
3226 |
80,1 |
361 |
79,0 |
Non |
||||||||||
Oui |
1 |
0,1 |
159 |
2,1 |
1353 |
9,9 |
593 |
14,7 |
73 |
16,0 |
Donnée non disponible |
58 |
8,4 |
382 |
4,9 |
786 |
5,7 |
210 |
5,2 |
23 |
5,0 |
Angor instable |
631 |
91,2 |
7309 |
94,7 |
12819 |
93,7 |
3792 |
94,1 |
433 |
94,7 |
Non |
||||||||||
Oui |
3 |
0,4 |
59 |
0,8 |
185 |
1,4 |
57 |
1,4 |
4 |
0,9 |
Donnée non disponible |
58 |
8,4 |
352 |
4,6 |
684 |
5,0 |
180 |
4,5 |
20 |
4,4 |
Arythmie |
627 |
90,6 |
7234 |
93,7 |
12309 |
89,9 |
3460 |
85,9 |
374 |
81,8 |
Non |
||||||||||
Oui |
5 |
0,7 |
126 |
1,6 |
708 |
5,2 |
410 |
10,2 |
62 |
13,6 |
Donnée non disponible |
60 |
8,7 |
360 |
4,7 |
671 |
4,9 |
159 |
3,9 |
21 |
4,6 |
Insuffisance cardiaque |
623 |
90,0 |
7126 |
92,3 |
12140 |
88,7 |
3513 |
87,2 |
393 |
86,0 |
Non |
||||||||||
Oui |
9 |
1,3 |
200 |
2,6 |
689 |
5,0 |
254 |
6,3 |
34 |
7,4 |
Donnée non disponible |
60 |
8,7 |
394 |
5,1 |
859 |
6,3 |
262 |
6,5 |
30 |
6,6 |
Antécédent d'hypertension essentielle |
550 |
79,5 |
2971 |
38,5 |
3541 |
25,9 |
838 |
20,8 |
84 |
18,4 |
Non |
||||||||||
Oui |
86 |
12,4 |
4246 |
55,0 |
9356 |
68,4 |
2977 |
73,9 |
347 |
75,9 |
Donnée non disponible |
56 |
8,1 |
503 |
6,5 |
791 |
5,8 |
214 |
5,3 |
26 |
5,7 |
Antécédent d'accident vasculaire cérébral |
616 |
89,0 |
7208 |
93,4 |
12493 |
91,3 |
3696 |
91,7 |
426 |
93,2 |
Non |
||||||||||
Oui |
15 |
2,2 |
170 |
2,2 |
623 |
4,6 |
206 |
5,1 |
15 |
3,3 |
Donnée non disponible |
61 |
8,8 |
342 |
4,4 |
572 |
4,2 |
127 |
3,2 |
16 |
3,5 |
Donnée non disponible |
61 |
8,8 |
342 |
4,4 |
572 |
4,2 |
127 |
3,2 |
16 |
3,5 |
Antécédent d'accident ischémique transitoire |
619 |
89,5 |
7272 |
94,2 |
12704 |
92,8 |
3721 |
92,4 |
419 |
91,7 |
Non |
||||||||||
Oui |
11 |
1,6 |
90 |
1,2 |
351 |
2,6 |
158 |
3,9 |
21 |
4,6 |
Donnée non disponible |
62 |
9,0 |
358 |
4,6 |
633 |
4,6 |
150 |
3,7 |
17 |
3,7 |
Artérite des membres inférieurs |
630 |
91,0 |
7218 |
93,5 |
11806 |
86,3 |
3372 |
83,7 |
388 |
84,9 |
Non |
||||||||||
Oui |
0 |
0,0 |
113 |
1,5 |
1136 |
8,3 |
465 |
11,5 |
44 |
9,6 |
Donnée non disponible |
62 |
9,0 |
389 |
5,0 |
746 |
5,5 |
192 |
4,8 |
25 |
5,5 |
Insuffisance respiratoire chronique |
628 |
90,8 |
7254 |
94,0 |
12573 |
91,9 |
3656 |
90,7 |
430 |
94,1 |
Non |
||||||||||
Oui |
3 |
0,4 |
105 |
1,4 |
454 |
3,3 |
210 |
5,2 |
12 |
2,6 |
Donnée non disponible |
61 |
8,8 |
361 |
4,7 |
661 |
4,8 |
163 |
4,0 |
15 |
3,3 |
Uropathie |
454 |
65,6 |
6052 |
78,4 |
11320 |
82,7 |
3321 |
82,4 |
398 |
87,1 |
Non |
||||||||||
Oui |
185 |
26,7 |
1302 |
16,9 |
1759 |
12,9 |
576 |
14,3 |
44 |
9,6 |
Donnée non disponible |
53 |
7,7 |
366 |
4,7 |
609 |
4,4 |
132 |
3,3 |
15 |
3,3 |
Neuropathie |
613 |
88,6 |
6828 |
88,4 |
12068 |
88,2 |
3669 |
91,1 |
424 |
92,8 |
Non |
||||||||||
Oui |
29 |
4,2 |
526 |
6,8 |
1010 |
7,4 |
220 |
5,5 |
19 |
4,2 |
Donnée non disponible |
50 |
7,2 |
366 |
4,7 |
610 |
4,5 |
140 |
3,5 |
14 |
3,1 |
Tabagisme |
606 |
87,6 |
3693 |
47,8 |
5637 |
41,2 |
1686 |
41,8 |
225 |
49,2 |
Non |
||||||||||
Oui |
6 |
0,9 |
2907 |
37,7 |
6225 |
45,5 |
1824 |
45,3 |
169 |
37,0 |
Donnée non disponible |
80 |
11,6 |
1120 |
14,5 |
1826 |
13,3 |
519 |
12,9 |
63 |
13,8 |
Dyslipidémie |
577 |
83,4 |
5197 |
67,3 |
6240 |
45,6 |
1488 |
36,9 |
181 |
39,6 |
Non |
||||||||||
Oui |
27 |
3,9 |
1696 |
22,0 |
5846 |
42,7 |
2084 |
51,7 |
224 |
49,0 |
Donnée non disponible |
88 |
12,7 |
827 |
10,7 |
1602 |
11,7 |
457 |
11,3 |
52 |
11,4 |
Cirrhose hépatique |
632 |
91,3 |
7177 |
93,0 |
12576 |
91,9 |
3795 |
94,2 |
441 |
96,5 |
Non |
||||||||||
Oui |
10 |
1,4 |
98 |
1,3 |
383 |
2,8 |
78 |
1,9 |
2 |
0,4 |
Donnée non disponible |
50 |
7,2 |
445 |
5,8 |
729 |
5,3 |
156 |
3,9 |
14 |
3,1 |
Total |
692 |
100,0 |
7720 |
100,0 |
13688 |
100,0 |
4029 |
100,0 |
457 |
100,0 |
* les 11 comorbidités utilisées pour ce calcul sont : cirrhose hépatique, diabète, antécédent d'infarctus du myocarde,insuffisance coronarienne, angor instable, arythmie, insuffisance cardiaque, antécédent d'accident vasculaire cérébral,antécédent d'accident ischémique transitoire, artérite des membres inférieurs, insuffisance respiratoire chronique
**les 5 comorbidités cardiovasculaires utilisées pour ce calcul sont : antécédent d'infarctus du myocarde,insuffisance coronarienne, angor instable, arythmie, insuffisance cardiaque.
Données extraites de CRISTAL le 01/03/2016
Parmi les 26 586 malades inscrits sur la liste d’attente entre 2010 et 2015, 54,2 % n’ont pas de comorbidité associée à leur maladie rénale, 23,9% ont une comorbidité déclarée, 15,5 % au moins 2 comorbidités et les données ne sont pas disponibles pour 6,4%. La présence et le nombre de comorbidités augmentent avec l’âge. Le diabète et les complications cardiovasculaires sont les plus fréquentes.
Tableau R7. Evolution du nombre de nouveaux inscrits en attente d'une greffe rénale préemptive
|
2010 |
2011 |
2012 |
2013 |
2014 |
2015 |
|||||||
N |
% |
N |
% |
N |
% |
N |
% |
N |
% |
N |
% |
||
Retransplantation |
Dialyse en cours |
26 |
0,6 |
19 |
0,5 |
26 |
0,6 |
28 |
0,6 |
33 |
0,7 |
13 |
0,3 |
Non |
Manquant |
||||||||||||
Non |
1093 |
26,2 |
1086 |
27,0 |
1215 |
28,0 |
1389 |
30,5 |
1513 |
31,7 |
1545 |
32,6 |
|
Oui |
2332 |
55,9 |
2189 |
54,4 |
2355 |
54,3 |
2345 |
51,6 |
2398 |
50,3 |
2414 |
51,0 |
|
Oui |
Manquant |
9 |
0,2 |
7 |
0,2 |
1 |
0,0 |
4 |
0,1 |
10 |
0,2 |
4 |
0,1 |
Non |
183 |
4,4 |
222 |
5,5 |
224 |
5,2 |
236 |
5,2 |
244 |
5,1 |
235 |
5,0 |
|
Oui |
528 |
12,7 |
504 |
12,5 |
516 |
11,9 |
546 |
12,0 |
570 |
12,0 |
524 |
11,1 |
|
Dialyse en cours |
35 |
0,8 |
26 |
0,6 |
27 |
0,6 |
32 |
0,7 |
43 |
0,9 |
17 |
0,4 |
|
Manquant |
|||||||||||||
Non |
1276 |
30,6 |
1308 |
32,5 |
1439 |
33,2 |
1625 |
35,7 |
1757 |
36,8 |
1780 |
37,6 |
|
Oui |
2860 |
68,6 |
2693 |
66,9 |
2871 |
66,2 |
2891 |
63,6 |
2968 |
62,2 |
2938 |
62,0 |
|
Total |
4171 |
100,0 |
4027 |
100,0 |
4337 |
100,0 |
4548 |
100,0 |
4768 |
100,0 |
4735 |
100,0 |
|
* L'information de dialyse est recalculée pour être celle à l'inscription sauf pour les greffés pour lesquels il s'agit de l'information mise à jour au moment de la greffe. La base de données DIADEM a été utilisée pour contrôler les dates de début de première dialyse pour les dossiers de première greffe.
Données extraites de CRISTAL le 01/03/2016
En 2015, les inscriptions préemptives représentent 36,8 % des inscriptions pour les nouveaux inscrits, soit plus d’un malade sur trois. La part de ces inscriptions préemptives a progressé de 7% depuis 2010, reflétant une amélioration globale de l’accès à la liste d’attente. Il existe cependant de grandes variations régionales détaillées dans le chapitre sur les activités régionales et le rapport REIN.
Cinétique de la liste d’attente
Le calcul de l’accès à la greffe a changé en 2014. Jusqu’alors on utilisait la durée médiane d’attente qui était calculée par la méthode de Kaplan-Meier. Cet indicateur est remplacé par le taux d’incidence cumulée qui mesure la probabilité d’accès à la greffe en fonction de la durée d’attente sur liste et en tenant compte des risques concurrents (décès et sortie de liste pour aggravation).
Cet indicateur a été calculé pour les malades inscrits entre 1996 et 2015 en excluant les malades candidats et greffés à partir d’un greffon de donneur vivant ainsi que les malades ayant bénéficié d’une greffe combinée rein et organe vital. La probabilité d’être greffé à 24 mois a progressivement diminué passant de 61% à 24 mois à 43% entre les cohortes 1996-1999 et 2011-2015. Le rapport demande /offre en greffe rénale s’est accrue ces 5 dernières années avec un nombre total de candidats par greffon passant de 4,1 en 2010 à 4,7 en 2015. Cependant, ces indicateurs doivent être nuancés par l’augmentation des malades en contre-indication temporaire sur la liste d’attente. Si on ne considère que la liste « active » en excluant le temps cumulé en contre-indication, la probabilité d’être greffé à 24 mois pour les malades inscrits sur liste « active » entre 2010 et 2015 est de 57% alors qu’elle n’est que de 44% pour l’ensemble de la liste. L’accès à la greffe varie significativement selon le groupe sanguin. Ainsi, la probabilité d’être greffé à 24 mois pour les inscrits entre 2010 et 2015 est de 56% pour les malades de groupe sanguin A, 56% pour les malades de groupe sanguin AB, 34% pour les malades de groupe sanguin O et 35% pour les malades de groupe sanguin B. La probabilité d’être greffé varie aussi significativement selon l’âge et selon que le receveur présente ou non une immunisation. Les receveurs âgés de moins de 18 ans qui bénéficient de la priorité pédiatrique ont un accès à la greffe meilleur et plus rapide que les adultes avec une probabilité d’être greffés à 24 mois très supérieure à la probabilité nationale (79% versus 44% pour les inscrits entre 2010 et 2015). A l’autre extrémité, les sujets les plus âgés (≥66 ans) ont également une probabilité d’être greffé supérieure (54% à 24 mois) à celle nationale, ce qui s’explique par la part importante des greffons de donneurs décédés de plus de 65 ans qui leur est proposée (70% des greffons attribués à cette tranche d’âge), tandis que les candidats de 56 à 65 ans sont ceux dont la probabilité de greffe est la plus faible à 24 mois (39%) suivis de près par ceux de 30 à 55 ans .Chez les malades hyperimmunisés avec un taux de greffons incompatibles supérieur à 85% la probabilité d’être greffé à 24 mois est de 31% contre 54% chez les non immunisés.
La médiane d’attente, c’est-à-dire la durée d’attente sur liste après laquelle 50% des candidats ont été greffés, est de 29,5 mois pour les malades inscrits entre 2010 et 2015. Elle n’est plus que de 18,5 mois si on ne considère que la liste « active », hors contre-indications temporaire.
Le risque de décès en liste d’attente est globalement faible avec en 2015, 266 décès parmi les 16 579 candidats en attente dans l’année. Cependant le risque de décès augmente avec la durée d’attente avec une incidence cumulée de décès qui passe de 2% à 12 mois à 7% à 36 mois dans la cohorte des malades inscrits entre 2011 et 2015. Il augmente également discrètement au fil du temps avec un risque de décès à 24 mois qui est passé de 3% pour les malades inscrits entre 1996-1999 à 5% pour la cohorte 2011-2015, dans un contexte de receveurs plus âgés à l’inscription.
Tableau R8. Evolution sur les trois premières années du devenir des malades inscrits pour la première fois en greffe rénale en 2012 (N=3237)
Statut sur liste d'attente |
% à 3 mois |
% à 6 mois |
% à 12 mois |
% à 18 mois |
% à 24 mois |
% à 30 mois |
% à 36 mois |
Toujours en attente |
91,3 |
83,0 |
68,5 |
57,0 |
48,4 |
41,2 |
34,4 |
Greffé |
8,2 |
15,6 |
28,4 |
38,7 |
46,1 |
52,4 |
57,9 |
Décédé en attente |
0,4 |
0,9 |
1,8 |
2,3 |
2,9 |
3,5 |
4,1 |
Sorti de la liste d'attente |
0,1 |
0,5 |
1,4 |
2,0 |
2,6 |
3,0 |
3,5 |
Exclusion des malades candidats ou greffés à partir d'un greffon de donneur vivant
Données extraites de CRISTAL le 01/03/2016
Interprétation des résultats pour un temps donné : après 18 mois d’attente 57% des malades inscrits en 2012 étaient toujours en attente, 38,7% greffés, 2,3% décédés en attente et 2% sortis de liste d’attente.
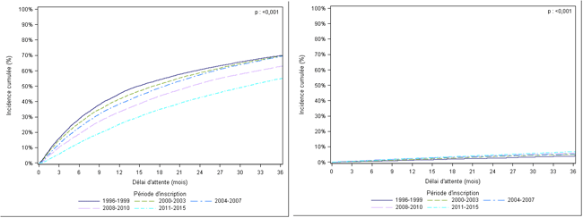
Figure R1. Taux d'incidence cumulée de greffe et de décès ou aggravation sur la liste d'attente de greffe rénale selon la période d'inscription (Exclusion des malades candidats et greffés à partir d’un greffon de donneur vivant et des malades ayant bénéficié d’une greffe combinée rein et organe vital)
|
Incidence cumulée des greffes avec prise en compte du risque concurrent de décès en attente ou sorties pour aggravation |
|||||
Période d'inscription |
N |
à 3 mois |
à 6 mois |
à 12 mois |
à 24 mois |
à 36 mois |
1996-1999 |
8770 |
16 [15-17] |
29 [28-30] |
45 [44-46] |
61 [60-62] |
70 [69-71] |
2000-2003 |
9426 |
15 [14-16] |
26 [25-27] |
42 [41-43] |
59 [58-60] |
69 [69-70] |
2004-2007 |
12131 |
13 [12-13] |
23 [22-24] |
39 [38-39] |
57 [57-58] |
69 [68-70] |
2008-2010 |
10993 |
10 [10-11] |
19 [18-20] |
33 [32-34] |
52 [51-53] |
63 [62-64] |
2011-2015 |
20460 |
6 [6-6] |
13 [13-14] |
25 [25-26] |
43 [42-43] |
55 [54-56] |
|
Incidence cumulée des décès en attente ou sorties pour aggravation avec prise en compte du risque concurrent de greffe |
|||||
Période d'inscription |
N |
à 3 mois |
à 6 mois |
à 12 mois |
à 24 mois |
à 36 mois |
1996-1999 |
8770 |
0 [0-1] |
1 [0-1] |
1 [1-2] |
3 [2-3] |
4 [4-4] |
2000-2003 |
9426 |
0 [0-1] |
1 [1-1] |
2 [2-2] |
4 [3-4] |
5 [5-6] |
2004-2007 |
12131 |
1 [1-1] |
1 [1-1] |
2 [2-3] |
4 [4-4] |
5 [5-6] |
2008-2010 |
10993 |
1 [1-1] |
1 [1-2] |
2 [2-3] |
4 [4-5] |
6 [6-6] |
2011-2015 |
20460 |
1 [1-1] |
1 [1-1] |
2 [2-3] |
5 [4-5] |
7 [6-7] |
NC=Non calculable / IC : Intervalle de confiance
Données extraites de CRISTAL le 01/03/2016
Après 24 mois d’attente, les malades inscrits entre 2011 et 2015 ont 43% de chance d’être greffés et 5% de risque de décès en attente.
Tableau R9. Incidence cumulée des greffes avec prise en compte du risque concurrent de décès en attente ou sorties pour aggravation selon les caractéristiques des malades inscrits à partir du 1er janvier 2010 sur la liste d'attente d'une greffe rénale (Exclusion des malades en attente de greffe à partir de donneurs vivants et des greffes combinées rein plus un organe vital)
|
Incidence cumulée des greffes avec prise en compte du risque concurrent de décès en attente ou sorties pour aggravation |
|
||||||
' |
' |
N |
à 3 mois |
à 6 mois |
à 12 mois |
à 24 mois |
à 36 mois |
pvalue |
Global |
|
24326 |
7 [6-7] |
14 [13-14] |
26 [26-27] |
44 [43-45] |
56 [55-57] |
|
Global hors temps cumulé en CIT* |
|
24326 |
14 [14-14] |
24 [24-25] |
39 [38-40] |
57 [56-58] |
69 [68-69] |
|
Groupe sanguin |
A |
9997 |
10 [9-11] |
20 [20-21] |
37 [36-38] |
56 [55-57] |
68 [67-69] |
<0,001 |
|
AB |
1044 |
8 [7-10] |
19 [17-22] |
36 [33-39] |
56 [53-60] |
66 [63-70] |
|
|
B |
2845 |
4 [3-5] |
8 [7-9] |
18 [16-19] |
35 [33-37] |
46 [44-48] |
|
|
O |
10440 |
4 [3-4] |
8 [8-9] |
18 [17-19] |
34 [33-35] |
47 [46-48] |
|
Immunisé** |
Non |
12099 |
9 [9-10] |
19 [19-20] |
35 [34-36] |
55 [54-56] |
68 [66-69] |
<0,001 |
|
Oui |
12227 |
4 [3-4] |
8 [8-9] |
18 [17-19] |
34 [33-35] |
46 [45-47] |
|
Taux de greffons incompatibles*** |
0 % |
12830 |
9 [9-10] |
19 [18-20] |
34 [33-35] |
54 [53-55] |
67 [66-68] |
<0,001 |
|
1-24 % |
2455 |
4 [4-5] |
9 [8-10] |
20 [18-22] |
38 [35-40] |
52 [49-54] |
|
|
25-49 % |
2134 |
3 [3-4] |
8 [7-10] |
18 [16-20] |
33 [30-35] |
45 [42-47] |
|
|
50-84 % |
2750 |
4 [3-5] |
8 [7-9] |
18 [16-19] |
33 [31-35] |
45 [43-48] |
|
|
85-100 % |
4157 |
3 [3-4] |
8 [7-9] |
17 [16-18] |
31 [30-33] |
42 [40-44] |
|
Age à l'inscription |
0-17 ans |
594 |
16 [13-19] |
33 [29-37] |
55 [51-59] |
79 [74-82] |
88 [84-91] |
<0,001 |
|
18-20 ans |
214 |
9 [5-13] |
19 [14-25] |
32 [25-38] |
51 [43-58] |
70 [62-77] |
|
|
21-29 ans |
1374 |
6 [5-8] |
14 [12-16] |
30 [27-32] |
50 [47-53] |
64 [60-66] |
|
|
30-55 ans |
10725 |
5 [5-5] |
11 [10-11] |
23 [22-23] |
40 [39-41] |
54 [53-55] |
|
|
56-65 ans |
7073 |
5 [5-6] |
11 [11-12] |
23 [22-24] |
39 [38-41] |
51 [49-52] |
|
|
>=66 ans |
4346 |
12 [11-13] |
22 [21-23] |
37 [35-38] |
54 [52-56] |
64 [62-66] |
|
NC=Non calculable, IC=Intervalle de confiance
* CIT : contre-indication temporaire
** un malade immunisé est défini par l'existence d'au moins une spécificité HLA de classe I ou II saisie dans les antigènes interdits
*** le taux de greffons incompatibles est calculé sur la base des spécificités anticorps anti-HLA de classe I et II.
Données extraites de CRISTAL le 01/03/2016
Interprétation des résultats pour un facteur : Après 1 an d’attente, les malades inscrits entre 2010 et 2015 de groupe sanguin A ont significativement plus de chance d’être greffés que les malades de groupes B et O (37% versus respectivement 18% et 18% pour les B et O, p<0,001).
Tableau R10. Incidence cumulée des greffes avec prise en compte du risque concurrent de décès en attente ou sorties pour aggravation hors temps cumulé en CIT selon les caractéristiques des malades inscrits à partir du 1er janvier 2010 sur la liste d'attente d'une greffe rénale (Exclusion des malades en attente de greffe à partir de donneurs vivants et des greffes combinées rein plus un organe vital)
|
Incidence cumulée des greffes avec prise en compte du risque concurrent de décès en attente ou sorties pour aggravation |
|
||||||
' |
' |
N |
à 3 mois |
à 6 mois |
à 12 mois |
à 24 mois |
à 36 mois |
pvalue |
Global hors temps cumulé en CIT* |
|
24326 |
14 [14-14] |
24 [24-25] |
39 [38-40] |
57 [56-58] |
69 [68-69] |
|
Groupe sanguin |
A |
9997 |
21 [20-22] |
35 [34-36] |
53 [52-54] |
71 [70-72] |
82 [81-83] |
<0,001 |
hors temps cumulé en CIT |
AB |
1044 |
18 [16-21] |
34 [31-37] |
52 [48-55] |
71 [68-75] |
78 [74-81] |
|
|
B |
2845 |
9 [8-10] |
16 [14-17] |
28 [27-30] |
47 [45-49] |
57 [54-59] |
|
|
O |
10440 |
8 [8-9] |
16 [15-16] |
28 [27-29] |
45 [44-46] |
59 [57-60] |
|
Immunisé** |
Non |
12099 |
19 [18-20] |
32 [31-33] |
49 [48-50] |
68 [67-69] |
80 [78-81] |
<0,001 |
hors temps cumulé en CIT |
Oui |
12227 |
9 [9-10] |
17 [16-18] |
30 [29-31] |
46 [45-47] |
58 [57-59] |
|
Taux de greffons incompatibles*** |
0 % |
12830 |
18 [18-19] |
31 [30-32] |
48 [47-49] |
67 [66-68] |
79 [78-80] |
<0,001 |
hors temps cumulé en CIT |
1-24 % |
2455 |
10 [9-12] |
18 [16-19] |
33 [31-35] |
52 [49-54] |
65 [62-68] |
|
|
25-49 % |
2134 |
9 [8-10] |
18 [16-19] |
29 [27-31] |
45 [42-48] |
59 [56-62] |
|
|
50-84 % |
2750 |
9 [7-10] |
16 [15-18] |
30 [28-32] |
46 [43-48] |
58 [56-61] |
|
|
85-100 % |
4157 |
9 [8-10] |
17 [15-18] |
28 [26-29] |
43 [42-45] |
52 [50-54] |
|
Age à l'inscription |
0-17 ans |
594 |
28 [24-32] |
47 [43-52] |
71 [66-75] |
89 [85-92] |
93 [89-96] |
<0,001 |
hors temps cumulé en CIT |
18-20 ans |
214 |
21 [16-27] |
33 [26-40] |
52 [44-59] |
65 [57-72] |
81 [72-87] |
|
|
21-29 ans |
1374 |
13 [11-15] |
24 [22-27] |
43 [40-45] |
63 [60-66] |
74 [71-77] |
|
|
30-55 ans |
10725 |
11 [11-12] |
20 [19-21] |
35 [34-36] |
53 [52-54] |
67 [66-68] |
|
|
56-65 ans |
7073 |
12 [11-13] |
22 [21-23] |
35 [34-37] |
53 [52-55] |
64 [62-65] |
|
|
>=66 ans |
4346 |
23 [21-24] |
36 [35-38] |
51 [49-53] |
68 [66-69] |
76 [74-78] |
|
NC=Non calculable, IC=Intervalle de confiance
* CIT : contre-indication temporaire
** un malade immunisé est défini par l'existence d'au moins une spécificité HLA de classe I ou II saisie dans les antigènes interdits
*** le taux de greffons incompatibles est calculé sur la base des spécificités anticorps anti-HLA de classe I et II.
Données extraites de CRISTAL le 01/03/2016
Interprétation des résultats pour un facteur : Après 1 an d’attente hors temps cumulé en CIT, les malades inscrits entre 2010 et 2015 de groupe sanguin A ont significativement plus de chance d’être greffés que ceux des groupes B et O (53% versus respectivement 28% et 28% pour les B et O, p<0,001).
Tableau R11. Evolution de l'incidence cumulée des greffes avec prise en compte du risque concurrent de décès en attente ou sorties pour aggravation selon les caractéristiques des malades inscrits sur la liste d'attente d'une greffe rénale (Exclusion des malades en attente de greffe à partir de donneurs vivants et des greffes combinées rein plus un organe vital)
|
Effectif |
incidence cumulée des greffes avec prise en compte du risque concurrent de décès en attente ou sorties pour aggravation |
|||||||||
' |
' |
1996-1999 |
2000-2003 |
2004-2007 |
2008-2010 |
2011-2015 |
1996-1999 |
2000-2003 |
2004-2007 |
2008-2010 |
2011-2015 |
Global |
|
8770 |
9426 |
12131 |
10993 |
20460 |
61 [60-62] |
59 [58-60] |
57 [57-58] |
52 [51-53] |
43 [42-43] |
Global hors temps cumulé en CIT* |
|
8770 |
9426 |
12131 |
10993 |
20460 |
62 [61-63] |
61 [60-62] |
62 [61-63] |
61 [60-62] |
56 [55-57] |
Groupe sanguin |
A |
3756 |
3918 |
4971 |
4537 |
8416 |
71 [70-73] |
70 [69-72] |
72 [71-73] |
68 [66-69] |
54 [53-56] |
|
AB |
371 |
354 |
492 |
462 |
890 |
63 [58-68] |
77 [72-81] |
72 [68-76] |
67 [62-71] |
55 [51-59] |
|
B |
960 |
1140 |
1477 |
1280 |
2401 |
56 [53-59] |
45 [42-48] |
36 [34-39] |
35 [32-37] |
34 [32-36] |
|
O |
3683 |
4014 |
5191 |
4714 |
8753 |
51 [49-53] |
50 [48-51] |
48 [47-49] |
40 [38-41] |
33 [31-34] |
Immunisé** |
Non |
6754 |
7500 |
8730 |
6096 |
10101 |
67 [66-68] |
65 [63-66] |
67 [66-68] |
66 [65-67] |
53 [52-54] |
|
Oui |
2016 |
1926 |
3401 |
4897 |
10359 |
39 [37-41] |
36 [34-38] |
34 [32-36] |
34 [33-36] |
33 [32-34] |
Age à l'inscription |
0-17 ans |
416 |
386 |
395 |
329 |
503 |
81 [77-85] |
88 [84-90] |
88 [84-91] |
81 [77-85] |
78 [73-82] |
|
18-20 ans |
197 |
193 |
182 |
138 |
172 |
69 [62-75] |
66 [59-72] |
65 [58-72] |
62 [53-69] |
51 [42-59] |
|
21-29 ans |
1035 |
899 |
970 |
755 |
1115 |
66 [63-68] |
58 [54-61] |
62 [59-65] |
57 [53-61] |
48 [45-52] |
|
30-55 ans |
5341 |
5579 |
6562 |
5407 |
8873 |
58 [56-59] |
56 [54-57] |
53 [51-54] |
48 [46-49] |
39 [38-40] |
|
56-65 ans |
1563 |
1880 |
3000 |
3033 |
5975 |
61 [59-63] |
60 [58-62] |
58 [56-60] |
50 [48-52] |
38 [36-39] |
|
>=66 ans |
218 |
489 |
1022 |
1331 |
3822 |
67 [60-73] |
66 [61-70] |
69 [66-72] |
62 [59-64] |
53 [51-55] |
NC=Non calculable, IC=Intervalle de confiance
* CIT : contre-indication temporaire
** un malade immunisé est défini avec par l'existence d'au moins une spécificité HLA de classe I ou II saisie dans les antigènes interdits
Données extraites de CRISTAL le 01/03/2016
Tableau R12. Taux d'incidence cumulée selon l'équipe de greffe des malades inscrits à partir du 1er janvier 2010 sur la liste d'attente d'une grefferénale (Exclusion des malades en attente de greffe à partir de donneurs vivants et des greffes combinées rein plus un organe vital)
|
Incidence cumulée des greffes avec prise en compte du risque concurrent de décès en attente ou sorties pour aggravation |
|||||
Equipe |
N |
à 3 mois |
à 6 mois |
à 12 mois |
à 24 mois |
à 36 mois |
Amiens (A) |
608 |
4 [3-6] |
9 [7-11] |
18 [15-21] |
43 [38-47] |
58 [53-62] |
Angers (A) |
370 |
7 [4-9] |
15 [11-19] |
32 [27-37] |
54 [48-60] |
64 [58-69] |
Besançon (A) |
379 |
4 [3-7] |
9 [6-12] |
21 [17-26] |
43 [38-49] |
55 [49-61] |
Bordeaux (A+P) |
1010 |
6 [5-8] |
15 [13-17] |
30 [27-33] |
51 [48-55] |
65 [61-69] |
Brest (A) |
346 |
14 [10-18] |
25 [20-29] |
41 [35-46] |
64 [58-70] |
78 [72-83] |
Caen (A) |
369 |
14 [10-17] |
23 [18-27] |
43 [38-48] |
69 [63-73] |
81 [76-85] |
Clermont-Ferrand (A) |
403 |
7 [5-10] |
18 [14-22] |
29 [25-34] |
50 [45-56] |
62 [56-68] |
Créteil Henri Mondor (AP-HP) (A) |
814 |
1 [0-1] |
4 [3-6] |
12 [9-14] |
26 [22-29] |
39 [35-43] |
Dijon (A) |
418 |
8 [6-11] |
15 [11-18] |
31 [26-35] |
51 [45-56] |
64 [57-69] |
Grenoble (A) |
880 |
5 [3-6] |
10 [8-12] |
22 [19-25] |
41 [37-45] |
53 [49-57] |
La Réunion (A+P) |
364 |
2 [1-4] |
4 [3-7] |
8 [6-12] |
18 [13-22] |
30 [24-36] |
Le Kremlin Bicêtre (AP-HP) (A) |
841 |
4 [2-5] |
10 [8-12] |
20 [17-23] |
33 [30-37] |
45 [41-50] |
Lille C. Huriez (A) |
1057 |
2 [1-2] |
6 [5-8] |
21 [19-24] |
47 [44-51] |
61 [58-65] |
Lille Jeanne de Flandre (P) |
52 |
14 [6-25] |
32 [19-46] |
55 [39-68] |
89 [71-96] |
NC |
Limoges (A) |
379 |
11 [8-14] |
20 [16-24] |
33 [28-38] |
52 [46-58] |
71 [64-77] |
Lyon (HCL) (A) |
1169 |
6 [5-7] |
14 [12-16] |
26 [24-29] |
41 [38-44] |
52 [48-55] |
Lyon HFME (P) |
93 |
14 [7-22] |
29 [20-39] |
53 [41-64] |
85 [73-92] |
98 [91-99] |
Marseille Conception (APM) (A) |
841 |
20 [17-23] |
33 [30-36] |
49 [45-52] |
66 [63-70] |
77 [73-80] |
Marseille La Timone enfant (P) |
33 |
28 [14-44] |
53 [35-68] |
71 [51-84] |
85 [63-95] |
NC |
Montpellier A. de Villeneuve (P) |
14 |
23 [6-47] |
38 [14-63] |
62 [31-82] |
85 [51-96] |
NC |
Montpellier La Peyronie (A) |
818 |
7 [5-9] |
16 [13-18] |
32 [28-35] |
57 [53-61] |
71 [67-75] |
Nancy (A) |
619 |
3 [2-4] |
7 [5-10] |
15 [12-18] |
30 [26-34] |
43 [39-48] |
Nancy (P) |
11 |
32 [7-61] |
32 [7-61] |
32 [7-61] |
49 [13-78] |
NC |
Nantes (A+P) |
1275 |
9 [7-10] |
19 [17-21] |
35 [32-38] |
51 [48-54] |
62 [58-65] |
Nice (A+P) |
776 |
10 [8-12] |
22 [19-25] |
38 [34-42] |
56 [52-60] |
68 [64-72] |
Paris Necker (AP-HP) (A) |
1320 |
7 [6-8] |
12 [10-14] |
23 [21-25] |
36 [33-39] |
47 [43-50] |
Paris Necker-Enfants Malades (AP-HP) (P) |
81 |
22 [14-32] |
40 [30-51] |
67 [55-77] |
96 [87-99] |
NC |
Paris Pitié-Salpêtrière (AP-HP) (A) |
833 |
2 [2-4] |
7 [5-9] |
19 [16-22] |
36 [32-40] |
49 [45-54] |
Paris Robert Debré (AP-HP) (P) |
80 |
6 [2-13] |
22 [13-31] |
47 [35-58] |
79 [65-88] |
90 [59-98] |
Paris Saint-Louis (AP-HP) (A) |
1036 |
1 [1-2] |
3 [2-5] |
9 [7-11] |
19 [16-22] |
30 [27-34] |
Paris Tenon (AP-HP) (A) |
698 |
0 [0-1] |
1 [0-2] |
5 [3-7] |
13 [11-17] |
26 [22-30] |
Point-à-Pitre Abymes (A) |
257 |
6 [4-10] |
10 [7-14] |
23 [18-29] |
37 [31-44] |
45 [38-52] |
Poitiers (A) |
456 |
12 [9-15] |
26 [22-30] |
45 [40-50] |
66 [61-71] |
77 [71-81] |
Reims (A) |
378 |
1 [0-3] |
6 [4-9] |
17 [13-21] |
33 [28-38] |
49 [42-55] |
Rennes (A) |
508 |
12 [10-16] |
26 [22-30] |
48 [43-53] |
68 [63-72] |
81 [76-85] |
Rouen (A) |
664 |
5 [3-7] |
12 [10-15] |
26 [22-30] |
48 [44-53] |
64 [59-69] |
Saint-Etienne (A) |
494 |
12 [9-15] |
25 [22-30] |
40 [35-44] |
58 [53-63] |
71 [65-75] |
Strasbourg Hôpital Civil (A+P) |
745 |
5 [4-7] |
10 [8-13] |
21 [18-24] |
41 [37-45] |
57 [52-62] |
Suresnes Foch (A) |
655 |
1 [1-2] |
5 [3-7] |
11 [8-14] |
25 [22-29] |
36 [31-41] |
Toulouse Purpan (P) |
30 |
3 [0-15] |
28 [13-45] |
57 [37-73] |
92 [60-99] |
NC |
Toulouse Rangueil (A) |
1227 |
8 [6-10] |
14 [12-16] |
26 [24-29] |
42 [39-45] |
56 [52-60] |
Tours Bretonneau (A) |
901 |
14 [12-17] |
25 [22-28] |
38 [34-41] |
53 [49-57] |
64 [60-68] |
Tours Clocheville (P) |
22 |
32 [14-52] |
37 [18-56] |
63 [38-80] |
85 [54-96] |
93 [59-99] |
NC=Non calculable, IC=Intervalle de confiance
Données extraites de CRISTAL le 01/03/2016
L’incidence cumulée de greffe diffère d’une équipe à l’autre. Après 1 an d’attente, le pourcentage de malades greffés parmi les malades inscrits entre 2010 et 2015 varie de 5% (Paris Tenon) à 48% (Rennes) en excluant les équipes de greffe uniquement pédiatrique. Cet écart se creuse d’année en année. L'interprétation de ces différences brutes entre les équipes doit demeurer prudente car il existe, entre les équipes, d'importantes variations des caractéristiques des malades inscrits (malades pédiatriques, malades immunisés, inscriptions pour retransplantation, etc.). L’accès à la greffe dépend des politiques d’inscription sur liste et de greffe qui diffèrent entre les équipes, notamment vis-à-vis des malades "à risque" (malades immunisés, sujets âgés par exemple). La constatation d’un pourcentage de malades greffés élevés à un an ou deux ans ne signifie pas un meilleur accès des malades insuffisants rénaux à la greffe, notamment lorsque le taux d’inscription reste faible dans la région. L’incidence de l’insuffisance rénale chronique terminale, l’accès à la liste d’attente et le taux de prélèvement de sujets décédés sont autant de facteurs qui pèsent sur l’accès à la greffe et varient fortement d’une région à l’autre.
Prélèvement en vue de greffe rénale
En 2015 parmi les 1 824 donneurs décédés (de mort encéphalique ou après arrêt circulatoire non contrôlé) prélevés d’au moins un organe, 1 693 (93%) ont été prélevés d’au moins un rein. Au total, 3288 greffons rénaux ont été prélevés dont 90,3 % ont été greffés. La part des greffons greffés parmi les prélevés, indicateur de l’efficacité du prélèvement, a diminué au cours des dix dernières années (94% de greffons greffés parmi ceux prélevés en 2000). Cela s’explique par l’augmentation de l’âge moyen des donneurs décédés de mort encéphalique (57,1 ans en 2015 contre 41,5 ans en 2000) et du nombre de greffons dits à critères élargis qui représentent 48% des greffons greffés en 2015 soit 1 375 greffons. En 2015, la progression de la mise sous machine à perfusion de ces reins de donneurs à critères élargis se poursuit correspondant au déploiement du programme national avec 62,1% de mise sous machine contre 42,2% en 2014, 24% en 2013 et 12,9% en 2012. Il existe une marge de progression importante de cette pratique avec un taux de mise sous machine des reins de ce type de donneurs variant de 0 à 68% selon l’équipe de greffe et un taux national de 31 % pour les greffes réalisées entre 2011 et 2015.
Tableau R13. Evolution de l’activité de prélèvement en France de greffon rénal depuis 1997
Année |
Donneurs décédés prélevés d'au moins un organe |
Donneurs décédés prélevés d'au moins un rein |
Donneurs décédés prélevés d'au moins un rein greffé |
Greffons rénaux prélevés |
Greffons rénaux greffés |
Part des greffons rénaux greffés parmi les greffons rénaux prélevés |
1997 |
881 |
861 |
833 |
1703 |
1611 |
94,6% |
1998 |
994 |
972 |
934 |
1921 |
1810 |
94,2% |
1999 |
970 |
942 |
911 |
1863 |
1770 |
95,0% |
2000 |
1016 |
991 |
950 |
1950 |
1832 |
93,9% |
2001 |
1065 |
1043 |
994 |
2060 |
1921 |
93,3% |
2002 |
1198 |
1149 |
1117 |
2260 |
2152 |
95,2% |
2003 |
1119 |
1085 |
1037 |
2122 |
1989 |
93,7% |
2004 |
1291 |
1249 |
1189 |
2439 |
2270 |
93,1% |
2005 |
1371 |
1319 |
1236 |
2558 |
2363 |
92,4% |
2006 |
1443 |
1394 |
1320 |
2694 |
2488 |
92,4% |
2007 |
1600 |
1542 |
1428 |
2981 |
2688 |
90,2% |
2008 |
1610 |
1554 |
1443 |
2999 |
2708 |
90,3% |
2009 |
1543 |
1486 |
1399 |
2850 |
2604 |
91,4% |
2010 |
1538 |
1476 |
1404 |
2858 |
2616 |
91,5% |
2011 |
1630 |
1541 |
1442 |
2970 |
2684 |
90,4% |
2012 |
1642 |
1532 |
1452 |
2963 |
2690 |
90,8% |
2013 |
1680 |
1558 |
1453 |
3022 |
2680 |
88,7% |
2014 |
1695 |
1579 |
1470 |
3069 |
2734 |
89,1% |
2015 |
1824 |
1693 |
1596 |
3288 |
2970 |
90,3% |
Données extraites de CRISTAL le 01/03/2016
Tableau R14. Age des greffons prélevés sur donneurs décédés et greffés en France en 2015 selon l'âge du receveur
Age du donneur |
Age du receveur |
Total |
||||||
0-17 ans |
18-29 ans |
30-55 ans |
56-65 ans |
66-69 ans |
70-74 ans |
>=75 ans |
||
0-17 ans |
57 |
19 |
12 |
1 |
1 |
0 |
0 |
90 |
18-29 ans |
17 |
112 |
141 |
14 |
1 |
0 |
0 |
285 |
30-55 ans |
3 |
60 |
854 |
127 |
21 |
7 |
1 |
1073 |
56-65 ans |
0 |
3 |
260 |
315 |
47 |
11 |
3 |
639 |
66-69 ans |
0 |
0 |
63 |
117 |
63 |
26 |
3 |
272 |
70-74 ans |
0 |
1 |
10 |
76 |
47 |
56 |
14 |
204 |
>=75 ans |
0 |
0 |
22 |
58 |
72 |
98 |
126 |
376 |
Total |
77 |
195 |
1362 |
708 |
252 |
198 |
147 |
2939 |
Remarque : les donneurs prélevés à l’étranger sont exclus de ce tableau
Données extraites de CRISTAL le 01/03/2016
Le score d’attribution des greffons rénaux permet un bon appariement en âge des donneurs et des receveurs. La limitation à moins de 15 ans du différentiel d’âge entre receveur et donneur des attributions prioritaires, lorsque le receveur a plus de 50 ans, évite l’attribution de greffons de donneurs jeunes à des receveurs âgés.
Tableau R15. Evolution des caractéristiques des donneurs décédés en mort encéphalique en France dont au moins un rein a été greffé (2006-2015)
|
2006 |
2007 |
2008 |
2009 |
2010 |
2011 |
2012 |
2013 |
2014 |
2015 |
||||||||||
N |
% |
N |
% |
N |
% |
N |
% |
N |
% |
N |
% |
N |
% |
N |
% |
N |
% |
N |
% |
|
Age |
64 |
4,6 |
86 |
5,8 |
55 |
3,7 |
51 |
3,6 |
59 |
4,1 |
72 |
4,7 |
61 |
4,0 |
57 |
3,6 |
55 |
3,4 |
52 |
3,0 |
0-17 ans |
||||||||||||||||||||
18-29 ans |
157 |
11,2 |
161 |
10,9 |
150 |
10,1 |
159 |
11,1 |
129 |
9,0 |
118 |
7,8 |
137 |
8,9 |
113 |
7,2 |
106 |
6,6 |
145 |
8,5 |
30-55 ans |
625 |
44,8 |
629 |
42,4 |
639 |
42,9 |
572 |
40,0 |
560 |
39,1 |
576 |
37,9 |
538 |
34,9 |
521 |
33,0 |
526 |
32,9 |
549 |
32,1 |
56-65 ans |
284 |
20,3 |
329 |
22,2 |
312 |
20,9 |
315 |
22,0 |
323 |
22,5 |
348 |
22,9 |
351 |
22,8 |
348 |
22,0 |
328 |
20,5 |
362 |
21,2 |
66-69 ans |
80 |
5,7 |
101 |
6,8 |
100 |
6,7 |
82 |
5,7 |
105 |
7,3 |
83 |
5,5 |
112 |
7,3 |
140 |
8,9 |
113 |
7,1 |
158 |
9,3 |
70-74 ans |
92 |
6,6 |
97 |
6,5 |
120 |
8,1 |
134 |
9,4 |
106 |
7,4 |
135 |
8,9 |
123 |
8,0 |
130 |
8,2 |
139 |
8,7 |
134 |
7,8 |
>=75 ans |
94 |
6,7 |
80 |
5,4 |
114 |
7,7 |
117 |
8,2 |
151 |
10,5 |
186 |
12,3 |
220 |
14,3 |
270 |
17,1 |
331 |
20,7 |
308 |
18,0 |
Sexe |
576 |
41,3 |
568 |
38,3 |
638 |
42,8 |
555 |
38,8 |
631 |
44,0 |
650 |
42,8 |
697 |
45,2 |
684 |
43,3 |
717 |
44,9 |
750 |
43,9 |
Féminin |
||||||||||||||||||||
Masculin |
820 |
58,7 |
915 |
61,7 |
852 |
57,2 |
875 |
61,2 |
802 |
56,0 |
868 |
57,2 |
845 |
54,8 |
895 |
56,7 |
881 |
55,1 |
958 |
56,1 |
Groupe sanguin |
608 |
43,6 |
672 |
45,3 |
672 |
45,1 |
612 |
42,8 |
644 |
44,9 |
642 |
42,3 |
658 |
42,7 |
668 |
42,3 |
687 |
43,0 |
748 |
43,8 |
A |
||||||||||||||||||||
AB |
49 |
3,5 |
57 |
3,8 |
52 |
3,5 |
56 |
3,9 |
44 |
3,1 |
73 |
4,8 |
47 |
3,0 |
60 |
3,8 |
45 |
2,8 |
69 |
4,0 |
B |
114 |
8,2 |
123 |
8,3 |
134 |
9,0 |
130 |
9,1 |
139 |
9,7 |
139 |
9,2 |
158 |
10,2 |
151 |
9,6 |
165 |
10,3 |
177 |
10,4 |
O |
625 |
44,8 |
631 |
42,5 |
632 |
42,4 |
632 |
44,2 |
606 |
42,3 |
664 |
43,7 |
679 |
44,0 |
700 |
44,3 |
701 |
43,9 |
714 |
41,8 |
Total |
1396 |
100,0 |
1483 |
100,0 |
1490 |
100,0 |
1430 |
100,0 |
1433 |
100,0 |
1518 |
100,0 |
1542 |
100,0 |
1579 |
100,0 |
1598 |
100,0 |
1708 |
100,0 |
Remarque : les donneurs prélevés à l’étranger sont exclus de ce tableau.
Données extraites de CRISTAL le 01/03/2016
Activité de greffe rénale
En 2015, 3 486 greffes rénales ont été réalisées en France, soit 52,4 pmh et une augmentation de 7,9% (+ 254 greffes) par rapport à l’année précédente. Cette progression est remarquable au regard de la relative stagnation de l’activité enregistrée dans les dernières années et confirme la tendance de 2014 (respectivement +2,9%, +2,3% et +1% en 2011, 2012 et 2013 ; +5,1% en 2014). C’est ainsi le plus grand nombre de greffes annuelles jamais atteint. Cette progression a été possible grâce à l’augmentation des 3 types de greffe. Parmi les greffes réalisées, 82% (2 850) ont été effectuées à partir de donneurs en mort encéphalique, 2% (62) avec donneur décédé après arrêt circulatoire suite à un arrêt cardiaque inopiné (DDAC-ACI), 1% (27) avec donneur décédé après arrêt circulatoire suite à la limitation ou l’arrêt des thérapeutiques (DDAC-LAT) et 16% (547) avec un donneur vivant. On enregistre en 2015, une hausse de 7% des greffes avec donneur en mort encéphalique (+186 greffes) après 7 ans de stagnation ou de baisse d’activité. Cette augmentation ne porte pas seulement sur les donneurs de plus de 65 ans comme dans les années précédentes, mais également sur les tranches d’âge 18-49 ans et 50-64 ans. Les greffes avec DDAC-ACI augmentent peu avec 62 greffes contre 54 en 2014 mais la nouvelle activité de greffe à partir de DDAC-LAT Catégorie Maastricht III) a permis 27 greffes. Les greffes effectuées à partir de donneur vivant, après une hausse historique de 28 % en 2014 poursuivent une progression plus lente avec 547 greffes (+ 33 greffes). Le nombre de greffes avec donneur vivant a plus que doublé depuis 2009 (+ 145%). Le tableau R14 analyse l’appariement en âge entre donneurs décédés (en mort encéphalique) et receveurs. L’appariement en âge entre donneur et receveur, recherché par le score d’attribution des greffons s’améliore en 2015, avec 67% des greffons de donneurs âgés de moins de 30 ans attribués à des receveurs de moins de 30 ans contre 47 % en 2014 et 84% des greffons de donneurs âgés de plus 65 ans attribués à des receveurs de plus de 65 ans contre 63% en 2014.
L’attribution ciblée des greffons de donneurs jeunes, dont le nombre a diminué avec le temps, vers des receveurs dont la différence d’âge n’excède pas 20 ans (15 ans pour les receveurs de plus de 50 ans bénéficiant d’une priorité nationale ou interrégionale), est un objectif du nouveau score d’attribution mis en place le 3 février 2015. L’objectif global de ce nouveau score est de promouvoir des stratégies d’allocations différenciées, mieux adaptées aux besoins des malades, et en particulier à leur âge.
En 2015, 14,6 % des premières transplantations ont été préemptives mais cette proportion atteint 31% pour les greffes avec donneurs vivants. Près de la moitié des greffes avec donneur décédé en mort encéphalique (48%) étaient à partir de donneurs à critères élargis (1 375 sur 2 850) et 62% des reins de ce type de donneur ont été mis sous machine à perfusion soit une progression de 40% depuis 2013. On observe une diminution significative de la part des retards de fonction quand le rein est perfusé avec 16,9% de retard de fonction pour les 919 reins perfusés entre 2011 et 2014 contre 29,3% pour les 3 268 non perfusés dans la même période.
Depuis le 3 février 2015, le nouveau score d’attribution des greffons rénaux modifie le modèle géographique de répartition des greffons. Un des reins du donneur reste attribué au niveau local sauf si aucun receveur ne remplit l’exigence d’un différentiel d’âge de moins de 20 ans avec le donneur. L’autre rein, jusqu’alors attribué au niveau de l’interrégion, est désormais mutualisé au niveau national. Les attributions prioritaires restent inchangées. Pour les 2 850 greffes rénales réalisées à partir de greffons issus de donneurs décédés, 1 325 greffons (46,5%) ont été attribués à l’échelon local, 77 (2,7% contre 26,5 % en 2014) à l’échelon régional, 731 greffons (25,6% contre 1,5% en 2014) ont été attribués à l’échelon national et 683 greffons (24%) ont fait l’objet d’une attribution prioritaire, à l’échelon national dans 85% des cas. La modification de la définition de l’hyperimmunisation mise en place en juillet 2009 a conduit à une augmentation des attributions prioritaires qui sont passées de 16,6% pour la période 2007-2009 à 22,2 % pour la période 2013-2015. Elles se maintiennent à plus de 20% des attributions, malgré une limitation en 2011 de l’accès au programme hyperimmunisés-antigènes permis exigeant un meilleur appariement en âge et en HLA. Cependant, dans le même temps, la part des malades hyperimmunisés restant en attente au 1er janvier est passée de 7% en 2009 à 27% en 2010. En 2015, une diminution de ces patients qui représentent 25,3% semble s’amorcer.
Dans le cadre du programme bigreffe, 68 reins ont été greffés chez 34 receveurs, soit une activité faible et stable dans les dernières années, alors que le nombre de donneurs âgés augmentent.
Le prélèvement sur DDAC-ACI (répondant aux critères Maastricht I et II) a débuté fin 2006. Depuis l’activité est fluctuante avec un maximum de 81 greffes en 2012. En 2015, 62 greffes ont été réalisées contre 54 en 2014. La difficulté à développer ce type de greffe tient aux importantes contraintes du prélèvement des donneurs répondant aux critères Maastricht I et II, seuls autorisés en France jusqu’en 2014. Le prélèvement de DDAC-LAT (répondant aux critères de Maastricht III) est autorisé depuis février 2014 et a conduit à l’élaboration d’un protocole national auquel participent des équipes volontaires. Le premier prélèvement de ce type a été réalisé en décembre 2014. En 2015, 27 greffes de ce type ont été réalisées avec succès. Cette nouvelle activité devrait permettre d’élargir progressivement le nombre de donneurs après arrêt circulatoire.
Le nombre de greffes combinées rein et organe vital relativement stable au cours des 10 dernières années avec une moyenne de 125 greffes combinées par an, augmente depuis 2 ans avec 151 greffes en 2014 et 163 en 2015. Ceci est lié à une augmentation des greffes foie-rein (63 en 2014 et 74 en 2015 versus 43 en 2013). Les greffes combinées pancréas-rein, en revanche, n’augmentent pas.
En excluant les malades greffés à partir d’un greffon de donneur vivant ou de donneur décédé après arrêt circulatoire, ainsi que les malades ayant bénéficié d’une greffe combinée rein et organe vital, la durée moyenne d’ischémie est de 17,1h en 2015. Après avec une amélioration régulière entre 2005 et 2013 permettant une diminution de 3 heures de la durée moyenne nationale, la moyenne se stabilise. L’amélioration se poursuit pour la durée moyenne d’ischémie froide des reins greffés localement qui est passé de 18,4h à 15,3h entre 2005 et 2013 et atteint 14,9 h en 2015. Elle demeure très variable d’une équipe à une autre (13h à 22,1h, hors équipes exclusivement pédiatriques et départements d’Outre-mer). L’effort de réduction de la durée d’ischémie froide réalisé par l’ensemble des intervenants du prélèvement et de la greffe doit se poursuivre, la durée d’ischémie froide ayant un impact important sur la survie à long terme des greffons rénaux.
Tableau R16. Evolution de l'activité de greffe rénale depuis 1987 selon le type de donneur
Année de greffe |
Donneur décédé de mort encéphalique |
DDAC-ACI |
DDAC-LAT |
Donneur vivant |
1987 |
1559 |
|
|
80 |
1988 |
1739 |
|
|
67 |
1989 |
1902 |
|
|
55 |
1990 |
1899 |
|
|
52 |
1991 |
1938 |
|
|
40 |
1992 |
1725 |
|
|
44 |
1993 |
1743 |
|
|
42 |
1994 |
1564 |
|
|
66 |
1995 |
1585 |
|
|
64 |
1996 |
1578 |
|
|
58 |
1997 |
1613 |
|
|
71 |
1998 |
1809 |
|
|
73 |
1999 |
1765 |
|
|
77 |
2000 |
1840 |
|
|
84 |
2001 |
1921 |
|
|
101 |
2002 |
2144 |
|
|
108 |
2003 |
1991 |
|
|
136 |
2004 |
2259 |
|
|
164 |
2005 |
2375 |
|
|
197 |
2006 |
2483 |
1 |
|
247 |
2007 |
2633 |
43 |
|
236 |
2008 |
2663 |
52 |
|
222 |
2009 |
2533 |
70 |
|
223 |
2010 |
2531 |
79 |
|
283 |
2011 |
2609 |
65 |
|
302 |
2012 |
2606 |
81 |
|
357 |
2013 |
2595 |
78 |
|
401 |
2014 |
2664 |
54 |
0 |
514 |
2015 |
2850 |
62 |
27 |
547 |
DDAC-ACI : donneur décédé après arrêt circulatoire suite à un arrêt cardiaque inopiné
DDAC-LAT : donneur décédé après arrêt circulatoire suite à la limitation ou l’arrêt des thérapeutiques
Données extraites de CRISTAL le 01/03/2016
Tableau R17. Evolution du nombre de greffes rénales selon la néphropathie d'origine et incidence par million d'habitants (pmh)
Indication |
2010 |
2011 |
2012 |
2013 |
2014 |
2015 |
||||||||||||
N |
% |
pmh |
N |
% |
pmh |
N |
% |
pmh |
N |
% |
pmh |
N |
% |
pmh |
N |
% |
pmh |
|
Diabète insulino-dépendant (Type 1) |
148 |
5 |
2,3 |
138 |
5 |
2,1 |
123 |
4 |
1,9 |
132 |
4 |
2,0 |
132 |
4 |
2,0 |
147 |
4 |
2,2 |
Diabète non insulino-dépendant (Type 2) |
185 |
6 |
2,9 |
179 |
6 |
2,7 |
232 |
8 |
3,5 |
230 |
7 |
3,5 |
232 |
7 |
3,5 |
245 |
7 |
3,7 |
Glomérulonéphrite chronique |
695 |
24 |
10,7 |
710 |
24 |
10,9 |
711 |
23 |
10,9 |
716 |
23 |
10,9 |
751 |
23 |
11,4 |
757 |
22 |
11,4 |
Néphroangio-sclérose |
216 |
7 |
3,3 |
229 |
8 |
3,5 |
273 |
9 |
4,2 |
249 |
8 |
3,8 |
257 |
8 |
3,9 |
302 |
9 |
4,5 |
Néphropathie interstitielle chronique |
329 |
11 |
5,1 |
313 |
11 |
4,8 |
332 |
11 |
5,1 |
325 |
11 |
4,9 |
347 |
11 |
5,2 |
369 |
11 |
5,6 |
Néphropathie malformative |
79 |
3 |
1,2 |
101 |
3 |
1,6 |
94 |
3 |
1,4 |
90 |
3 |
1,4 |
102 |
3 |
1,5 |
116 |
3 |
1,7 |
Polykystose rénale |
446 |
15 |
6,9 |
474 |
16 |
7,3 |
459 |
15 |
7,0 |
476 |
15 |
7,2 |
486 |
15 |
7,3 |
500 |
14 |
7,5 |
Autre néphropathie héréditaire |
88 |
3 |
1,4 |
94 |
3 |
1,4 |
93 |
3 |
1,4 |
83 |
3 |
1,3 |
99 |
3 |
1,5 |
107 |
3 |
1,6 |
Autres |
233 |
8 |
3,6 |
235 |
8 |
3,6 |
252 |
8 |
3,8 |
240 |
8 |
3,6 |
281 |
9 |
4,2 |
319 |
9 |
4,8 |
Inconnue ou indéterminée |
474 |
16 |
7,3 |
503 |
17 |
7,7 |
475 |
16 |
7,3 |
533 |
17 |
8,1 |
545 |
17 |
8,2 |
624 |
18 |
9,4 |
Total |
2893 |
100 |
44,7 |
2976 |
100 |
45,7 |
3044 |
100 |
46,5 |
3074 |
100 |
46,7 |
3232 |
100 |
48,9 |
3486 |
100 |
52,4 |
pmh : par million d'habitants
Données extraites de CRISTAL le 01/03/2016
La répartition du type de néphropathie primitive parmi les malades greffés ne s’est pas modifiée dans les cinq dernières années. Les glomérulonéphrites demeurent en tête et représentent près d’un quart des patients, suivis par la polykystose rénale, les néphropathies interstitielles et les néphroangioscléroses. Dix-huit pourcent sont de nature inconnue ou indéterminée. L’appréciation de la part du diabète de type 2 est difficile avec une sous-estimation car celui-ci est pris en compte également comme comorbidité (22,2% des patients inscrits entre 2010 et 2015).
Tableau R18. Evolution du nombre de greffes rénales préemptives (exclusion des retransplantations)
|
2010 |
2011 |
2012 |
2013 |
2014 |
2015 |
|||||||
N |
% |
N |
% |
N |
% |
N |
% |
N |
% |
N |
% |
||
Type de donneur |
Dialyse avant la greffe |
5 |
0,2 |
7 |
0,3 |
8 |
0,3 |
7 |
0,3 |
7 |
0,3 |
5 |
0,2 |
DAC-ACI |
Non |
||||||||||||
Oui |
74 |
3,0 |
58 |
2,3 |
73 |
2,8 |
71 |
2,7 |
47 |
1,7 |
57 |
1,9 |
|
DAC-LAT |
Non |
0 |
0,0 |
0 |
0,0 |
0 |
0,0 |
0 |
0,0 |
0 |
0,0 |
4 |
0,1 |
Oui |
0 |
0,0 |
0 |
0,0 |
0 |
0,0 |
0 |
0,0 |
0 |
0,0 |
23 |
0,8 |
|
Décédé en mort encéphalique |
Non |
219 |
8,9 |
227 |
8,9 |
229 |
8,8 |
211 |
7,9 |
242 |
8,9 |
272 |
9,1 |
Oui |
1896 |
77,2 |
1990 |
77,7 |
1984 |
76,3 |
2023 |
76,0 |
1972 |
72,6 |
2126 |
71,5 |
|
Vivant |
Non |
80 |
3,3 |
90 |
3,5 |
95 |
3,7 |
130 |
4,9 |
164 |
6,0 |
153 |
5,1 |
Oui |
181 |
7,4 |
188 |
7,3 |
210 |
8,1 |
219 |
8,2 |
286 |
10,5 |
334 |
11,2 |
|
Dialyse avant la greffe |
304 |
12,4 |
324 |
12,7 |
332 |
12,8 |
348 |
13,1 |
413 |
15,2 |
434 |
14,6 |
|
Non |
|||||||||||||
Oui |
2151 |
87,6 |
2236 |
87,3 |
2267 |
87,2 |
2313 |
86,9 |
2305 |
84,8 |
2540 |
85,4 |
|
Total |
2455 |
100,0 |
2560 |
100,0 |
2599 |
100,0 |
2661 |
100,0 |
2718 |
100,0 |
2974 |
100,0 |
|
La base de données DIADEM a été utilisée pour contrôler les dates de début de première dialyse pour les dossiers de première greffe.
DDAC-ACI : donneur décédé après arrêt circulatoire suite à un arrêt cardiaque inopiné
DDAC-LAT : donneur décédé après arrêt circulatoire suite à la limitation ou l’arrêt des thérapeutiques
Données extraites de CRISTAL le 01/03/2016
En 2015, 14,6% des greffes réalisées étaient des greffes préemptives en excluant les retransplantations. Cette proportion a augmenté de 2% dans les 6 dernières années principalement en raison de l’augmentation de ce type de greffe avec les donneurs vivants. En 2015, 31 % des greffes avec donneur vivant étaient préemptives (153 greffes sur 487 premières greffes).
Tableau R19. Nombre de greffes rénales effectuées par équipe en 2015
| Equipe de greffe | Total greffes en 2015 |
dont donneur vivant |
dont DDAC-ACI |
dont DDAC-LAT |
Taux de croissance 2015/2014 (%) |
Amiens (A) |
71 |
9 |
0 |
0 |
7,6 |
Angers (A) |
35 |
2 |
0 |
1 |
-18,6 |
Besançon (A) |
48 |
10 |
0 |
0 |
6,7 |
Bordeaux (A+P) |
159 |
33 |
0 |
0 |
4,6 |
Brest (A) |
56 |
3 |
0 |
0 |
12,0 |
Caen (A) |
58 |
2 |
0 |
0 |
-21,6 |
Clermont-Ferrand (A) |
45 |
6 |
0 |
0 |
-18,2 |
Créteil Henri Mondor (AP-HP) (A) |
96 |
13 |
1 |
0 |
18,5 |
Dijon (A) |
48 |
8 |
0 |
0 |
-11,1 |
Grenoble (A) |
115 |
19 |
5 |
4 |
5,5 |
La Réunion (A+P) |
36 |
0 |
0 |
0 |
56,5 |
Le Kremlin Bicêtre (AP-HP) (A) |
112 |
15 |
7 |
3 |
20,4 |
Lille C. Huriez (A) |
179 |
15 |
3 |
0 |
10,5 |
Lille Jeanne de Flandre (P) |
7 |
1 |
0 |
0 |
0,0 |
Limoges (A) |
36 |
3 |
0 |
0 |
-35,7 |
Lyon (HCL) (A) |
187 |
23 |
8 |
4 |
15,4 |
Lyon HFME (P) |
19 |
2 |
0 |
0 |
5,6 |
Marseille Conception (APM) (A) |
125 |
19 |
1 |
0 |
-13,2 |
Marseille La Timone enfant (P) |
4 |
0 |
0 |
0 |
33,3 |
Montpellier A. de Villeneuve (P) |
1 |
0 |
0 |
0 |
0,0 |
Montpellier La Peyronie (A) |
145 |
29 |
2 |
0 |
3,6 |
Nancy (A) |
81 |
29 |
0 |
0 |
-4,7 |
Nancy (P) |
1 |
0 |
0 |
0 |
0,0 |
Nantes (A+P) |
177 |
35 |
4 |
6 |
-1,7 |
Nice (A+P) |
110 |
8 |
0 |
0 |
14,6 |
Paris Necker (AP-HP) (A) |
207 |
53 |
1 |
0 |
27,8 |
Paris Necker-Enfants Malades (AP-HP) (P) |
13 |
2 |
0 |
0 |
-23,5 |
Paris Pitié-Salpêtrière(AP-HP) (A) |
104 |
6 |
8 |
5 |
19,5 |
Paris Robert Debré (AP-HP) (P) |
13 |
5 |
0 |
0 |
18,2 |
Paris Saint-Louis (AP-HP) (A) |
162 |
26 |
9 |
1 |
27,6 |
Paris Tenon (AP-HP) (A) |
102 |
14 |
0 |
0 |
47,8 |
Point-à-Pitre Abymes (A) |
44 |
4 |
0 |
0 |
41,9 |
Poitiers (A) |
66 |
7 |
1 |
2 |
20,0 |
Reims (A) |
51 |
5 |
0 |
0 |
-8,9 |
Rennes (A) |
82 |
8 |
0 |
0 |
12,3 |
Rouen (A) |
88 |
14 |
9 |
0 |
1,1 |
Saint-Etienne (A) |
78 |
14 |
0 |
0 |
20,0 |
Strasbourg Hôpital Civil (A+P) |
113 |
17 |
0 |
0 |
16,5 |
Suresnes Foch (A) |
70 |
14 |
0 |
0 |
-19,5 |
Toulouse Purpan (P) |
3 |
1 |
0 |
0 |
-62,5 |
Toulouse Rangueil (A) |
200 |
54 |
0 |
0 |
7,0 |
Tours Bretonneau (A) |
133 |
16 |
3 |
1 |
19,8 |
Tours Clocheville (P) |
6 |
3 |
0 |
0 |
200,0 |
France |
3486 |
547 |
62 |
27 |
7,9 |
DDAC-ACI : donneur décédé après arrêt circulatoire suite à un arrêt cardiaque inopiné
DDAC-LAT : donneur décédé après arrêt circulatoire suite à la limitation ou l’arrêt des thérapeutiques
Données extraites de CRISTAL le 01/03/2016
L’activité de greffe rénale s’est effectuée en 2015 dans 43 équipes de greffe, dont 9 équipes avec une activité pédiatrique exclusive et 5 équipes avec une activité pédiatrique associée au programme de greffe chez l’adulte. En France, l’activité de greffe rénale est soumise à autorisation.
Tableau R20. Evolution des durées moyennes d’ischémie froide en heure (hors donneur vivant, donneur décédé après arrêt circulatoire et greffe combinée)
Année de greffe |
Nombre de greffes |
Durée d'ischémie froide |
Nombre de greffes locales* |
Durée d'ischémie froide parmi les greffes locales* |
||||
NR |
moyenne |
IC |
NR |
moyenne |
IC |
|||
2005 |
2245 |
6 |
20,6 |
0,3 |
1047 |
2 |
18,4 |
0,4 |
2006 |
2352 |
26 |
19,8 |
0,3 |
1077 |
13 |
17,8 |
0,4 |
2007 |
2495 |
22 |
18,9 |
0,3 |
1157 |
9 |
16,6 |
0,3 |
2008 |
2533 |
144 |
18,1 |
0,3 |
1145 |
46 |
16,3 |
0,3 |
2009 |
2421 |
33 |
18,0 |
0,3 |
1073 |
9 |
15,9 |
0,3 |
2010 |
2399 |
38 |
17,6 |
0,3 |
1084 |
16 |
15,4 |
0,3 |
2011 |
2487 |
23 |
17,5 |
0,2 |
1156 |
5 |
15,5 |
0,3 |
2012 |
2497 |
64 |
17,3 |
0,2 |
1197 |
30 |
15,4 |
0,3 |
2013 |
2468 |
16 |
17,0 |
0,2 |
1193 |
6 |
15,3 |
0,3 |
2014 |
2513 |
23 |
17,0 |
0,2 |
1224 |
13 |
15,0 |
0,3 |
2015 |
2714 |
22 |
17,1 |
0,2 |
1316 |
7 |
14,9 |
0,3 |
*Les greffes locales sont les greffes dont le mode d'attribution correspond à un échelon local de la répartition.
NR: nombrede durées d'ischémie froide non renseignées dans Cristal
IC: moitié de la largeur de l'intervalle de confiance de la moyenne à 95% exprimée en heure
Données extraites de CRISTAL le 01/03/2016
Tableau R21. Evolution des durées moyennes d’ischémie froide en heure pour les greffes rénales à partir des donneurs décédés après arrêt circulatoire
Année de greffe |
Nombre de greffes |
Durée d'ischémie froide |
||
NR |
moyenne |
IC |
||
2007 |
43 |
1 |
15,5 |
1,6 |
2008 |
52 |
3 |
14,2 |
1,1 |
2009 |
70 |
1 |
13,9 |
0,9 |
2010 |
79 |
8 |
15,2 |
1,1 |
2011 |
65 |
2 |
12,5 |
1,1 |
2012 |
81 |
3 |
13,9 |
0,9 |
2013 |
78 |
2 |
12,6 |
0,8 |
2014 |
54 |
3 |
12,7 |
1,0 |
2015 |
89 |
0 |
12,5 |
0,9 |
NR: nombrede durées d'ischémie froide non renseignées dans Cristal
IC: moitié de la largeur de l'intervalle de confiance de la moyenne à 95% exprimée en heure
Données extraites de CRISTAL le 01/03/2016
En 2015, la durée moyenne d’ischémie froide pour les greffes à partir de donneurs en mort encéphalique est, estimée à 17,1 heures et reste stable mais varie d’une équipe à l’autre. Pour les greffes avec donneurs après arrêt circulatoire, cette durée est de 12,5 h et a diminué régulièrement.
Tableau R22. Durée moyenne d’ischémie froide en heure pour l’année 2015 par équipe de greffe (hors donneur vivant, donneur décédé après arrêt circulatoire non contrôlé et greffe combinée)
Equipe de greffe |
Nombre de greffes |
Durée d'ischémie froide |
Nombre de greffes locales* |
Durée d'ischémie froide parmi les greffes locales* |
||||||
NR |
moyenne |
IC |
<19h |
NR |
moyenne |
IC |
<19h |
|||
Amiens (A) |
62 |
0 |
14,7 |
1,2 |
77% |
32 |
0 |
13,6 |
1,5 |
84% |
Angers (A) |
32 |
0 |
19,0 |
2,7 |
50% |
16 |
0 |
17,3 |
3,7 |
63% |
Besançon (A) |
36 |
0 |
17,1 |
1,7 |
56% |
27 |
0 |
16,4 |
1,9 |
56% |
Bordeaux (A+P) |
126 |
5 |
13,0 |
0,9 |
86% |
87 |
3 |
11,6 |
0,8 |
95% |
Brest (A) |
53 |
0 |
17,3 |
2,1 |
62% |
31 |
0 |
13,5 |
2,1 |
84% |
Caen (A) |
56 |
0 |
18,7 |
1,7 |
55% |
38 |
0 |
16,3 |
1,5 |
68% |
Clermont-Ferrand (A) |
37 |
0 |
18,5 |
2,6 |
54% |
23 |
0 |
15,5 |
3,0 |
70% |
Créteil Henri Mondor (AP-HP) (A) |
74 |
0 |
18,2 |
1,1 |
49% |
25 |
0 |
17,3 |
2,1 |
56% |
Dijon (A) |
40 |
0 |
16,6 |
1,7 |
70% |
22 |
0 |
14,4 |
1,8 |
82% |
Grenoble (A) |
86 |
0 |
15,2 |
1,2 |
74% |
41 |
0 |
12,6 |
1,3 |
93% |
La Réunion (A+P) |
36 |
0 |
19,5 |
2,3 |
47% |
28 |
0 |
16,6 |
1,8 |
61% |
Le Kremlin Bicêtre (AP-HP) (A) |
64 |
1 |
18,6 |
1,7 |
52% |
36 |
1 |
17,6 |
2,4 |
63% |
Lille C. Huriez (A) |
157 |
1 |
17,1 |
0,9 |
59% |
109 |
0 |
15,4 |
1,0 |
72% |
Lille Jeanne de Flandre (P) |
6 |
0 |
20,6 |
3,5 |
33% |
0 |
. |
|
|
|
Limoges (A) |
32 |
0 |
14,7 |
1,6 |
84% |
19 |
0 |
13,1 |
1,9 |
89% |
Lyon (HCL) (A) |
117 |
0 |
16,7 |
1,2 |
67% |
52 |
0 |
12,5 |
0,9 |
96% |
Lyon HFME (P) |
14 |
0 |
15,3 |
2,5 |
71% |
0 |
. |
|
|
|
Marseille Conception (APM) (A) |
104 |
0 |
13,4 |
1,0 |
86% |
77 |
0 |
11,6 |
0,7 |
96% |
Marseille La Timone enfant (P) |
4 |
0 |
14,5 |
6,2 |
75% |
0 |
. |
|
|
|
Montpellier A. de Villeneuve (P) |
1 |
0 |
13,6 |
. |
100% |
0 |
. |
|
|
|
Montpellier La Peyronie (A) |
104 |
0 |
18,2 |
1,1 |
56% |
62 |
0 |
16,6 |
1,2 |
69% |
Nancy (A) |
52 |
0 |
17,2 |
1,4 |
60% |
35 |
0 |
15,3 |
1,4 |
71% |
Nancy (P) |
1 |
0 |
13,4 |
. |
100% |
0 |
. |
|
|
|
Nantes (A+P) |
120 |
0 |
16,4 |
1,1 |
68% |
56 |
0 |
13,9 |
1,3 |
88% |
Nice (A+P) |
101 |
4 |
19,3 |
1,4 |
48% |
34 |
2 |
14,9 |
2,2 |
81% |
Paris Necker (AP-HP) (A) |
143 |
2 |
19,8 |
1,2 |
46% |
24 |
0 |
16,8 |
2,6 |
63% |
Paris Necker-Enfants Malades (AP-HP) (P) |
8 |
6 |
NC |
NC |
NC |
0 |
. |
|
|
|
Paris Pitié-Salpêtrière(AP-HP) (A) |
77 |
4 |
15,6 |
1,3 |
68% |
35 |
0 |
13,2 |
1,3 |
91% |
Paris Robert Debré (AP-HP) (P) |
8 |
3 |
NC |
NC |
NC |
0 |
. |
|
|
|
Paris Saint-Louis (AP-HP) (A) |
118 |
2 |
19,2 |
1,1 |
45% |
49 |
1 |
18,5 |
1,8 |
52% |
Paris Tenon (AP-HP) (A) |
83 |
1 |
19,0 |
1,3 |
49% |
13 |
0 |
18,5 |
3,2 |
46% |
Point-à-Pitre Abymes (A) |
40 |
1 |
22,0 |
1,3 |
18% |
36 |
1 |
21,5 |
1,2 |
20% |
Poitiers (A) |
56 |
0 |
14,8 |
1,0 |
88% |
37 |
0 |
13,6 |
1,0 |
92% |
Reims (A) |
46 |
1 |
18,2 |
2,0 |
58% |
24 |
1 |
15,6 |
2,1 |
74% |
Rennes (A) |
65 |
1 |
16,9 |
1,4 |
67% |
43 |
1 |
15,6 |
1,6 |
74% |
Rouen (A) |
65 |
0 |
16,5 |
1,2 |
72% |
37 |
0 |
15,4 |
1,7 |
76% |
Saint-Etienne (A) |
64 |
1 |
22,1 |
1,7 |
30% |
22 |
1 |
19,4 |
2,5 |
57% |
Strasbourg Hôpital Civil (A+P) |
95 |
0 |
15,6 |
0,9 |
72% |
35 |
0 |
13,0 |
1,4 |
89% |
Suresnes Foch (A) |
56 |
0 |
17,2 |
1,6 |
59% |
19 |
0 |
16,3 |
2,9 |
68% |
Toulouse Purpan (P) |
2 |
0 |
16,9 |
11,4 |
100% |
0 |
. |
|
|
|
Toulouse Rangueil (A) |
134 |
3 |
16,4 |
1,2 |
63% |
60 |
0 |
13,8 |
1,5 |
72% |
Tours Bretonneau (A) |
109 |
0 |
17,2 |
1,1 |
63% |
32 |
0 |
14,7 |
1,6 |
81% |
Tours Clocheville (P) |
3 |
0 |
16,7 |
10,9 |
67% |
0 |
. |
|
|
|
Total |
2687 |
36 |
17,2 |
0,2 |
61% |
1316 |
11 |
14,9 |
0,3 |
76% |
NC: non calculable si plus de 20% de données non renseignées NR: nombrede durées d'ischémie froide non renseignées dans Cristal
IC: moitié de la largeur de l'intervalle de confiance de la moyenne à 95% exprimée en heure
*Les greffes locales sont les greffes dont le mode d'attribution correspond à un échelon local de la répartition.
Données extraites de CRISTAL le 01/03/2016
Tableau R23. Evolution depuis 2011 du nombre de greffes selon que le rein a été mis sous machine à perfusion ou non et selon le type de donneur décédé
|
Rein mis sous machine à perfuser |
Nombre de greffes |
||||||
non |
oui |
information incohérente |
||||||
N |
% |
N |
% |
N |
% |
N |
||
Type de donneur |
|
0 |
0 |
65 |
100,0 |
0 |
0 |
65 |
DAC-ACI |
2011 |
|||||||
2012 |
0 |
0 |
81 |
100,0 |
0 |
0 |
81 |
|
2013 |
0 |
0 |
78 |
100,0 |
0 |
0 |
78 |
|
2014 |
0 |
0 |
54 |
100,0 |
0 |
0 |
54 |
|
2015 |
0 |
0 |
62 |
100,0 |
0 |
0 |
62 |
|
DAC-LAT |
2015 |
0 |
0 |
27 |
100,0 |
0 |
0 |
27 |
Décédé en mort encéphalique à critères standards |
2011 |
1439 |
97,9 |
31 |
2,1 |
0 |
0 |
1470 |
2012 |
1376 |
97,2 |
40 |
2,8 |
0 |
0 |
1416 |
|
2013 |
1268 |
95,3 |
57 |
4,3 |
5 |
0,4 |
1330 |
|
2014 |
1237 |
95,5 |
54 |
4,2 |
4 |
0,3 |
1295 |
|
2015 |
1401 |
95,0 |
73 |
4,9 |
1 |
0,1 |
1475 |
|
Décédé en mort encéphalique à critères élargis |
2011 |
1069 |
93,9 |
70 |
6,1 |
0 |
0 |
1139 |
2012 |
1037 |
87,1 |
153 |
12,9 |
0 |
0 |
1190 |
|
2013 |
951 |
75,2 |
303 |
24,0 |
11 |
0,9 |
1265 |
|
2014 |
790 |
57,7 |
578 |
42,2 |
1 |
0,1 |
1369 |
|
2015 |
520 |
37,8 |
854 |
62,1 |
1 |
0,1 |
1375 |
|
Nombre de greffes |
11088 |
81,0 |
2580 |
18,8 |
23 |
0,2 |
13691 |
|
DDAC-ACI : donneur décédé après arrêt circulatoire suite à un arrêt cardiaque inopiné
DDAC-LAT : donneur décédé après arrêt circulatoire suite à la limitation ou l’arrêt des thérapeutiques
Les reins ont été considérés comme mis sous machine quand la déclaration de mise sous machine a été faite dans Cristal Donneur ou dans Cristal receveur.
Données extraites de CRISTAL le 01/03/2016
Depuis 2011, un programme national de mise sous machine à perfusion est développé pour les reins de donneurs à critères élargis définis comme les donneurs âgés de plus de 60 ans ou de 50 à 59 ans avec au moins deux des facteurs de risque suivants :
- cause de décès vasculaire,
- antécédent d’hypertension artérielle,
- créatininémie supérieure à 130 µmol/l.
Un forfait spécifique est attribué pour le prélèvement et la greffe lorsque les deux reins du donneur sont perfusés. Tous les reins prélevés sur des donneurs décédés après arrêt circulatoire non contrôlé sont perfusés.
Ce programme vise à diminuer la part des non fonctions primaires et retard de fonction et devrait permettre une amélioration de la survie à long terme de ces greffons.
La part des reins de donneurs à critères élargis perfusés est passée de 6,1% en 2011 à 60,2% en 2015 avec 854 reins perfusés dépassant l’objectif de 45% des greffons de donneurs à critères élargis perfusés en 2015. Actuellement, la plupart des équipes ont débuté ce programme avec des activités très variables.
Tableau R24. Nombre de greffes par équipe selon que le rein a été mis sous machine à perfusion ou non et selon le type de donneur décédé en état de mort encéphalique (2011-2015)
|
Rein mis sous machine à perfuser |
Nombre de greffes |
||||||
non |
oui |
information incohérente |
||||||
N |
% |
N |
% |
N |
% |
N |
||
Type de donneur |
Nom de l'équipe de greffe |
196 |
99,0 |
2 |
1,0 |
0 |
0 |
198 |
Décédé en mort encéphalique à critères standards |
Amiens (A) |
|||||||
Angers (A) |
114 |
99,1 |
1 |
0,9 |
0 |
0 |
115 |
|
Besançon (A) |
108 |
100,0 |
0 |
0 |
0 |
0 |
108 |
|
Bordeaux (A+P) |
295 |
99,0 |
3 |
1,0 |
0 |
0 |
298 |
|
Brest (A) |
124 |
98,4 |
2 |
1,6 |
0 |
0 |
126 |
|
Caen (A) |
125 |
100,0 |
0 |
0 |
0 |
0 |
125 |
|
Clermont-Ferrand (A) |
114 |
97,4 |
3 |
2,6 |
0 |
0 |
117 |
|
Créteil Henri Mondor (AP-HP) (A) |
186 |
96,4 |
7 |
3,6 |
0 |
0 |
193 |
|
Dijon (A) |
117 |
100,0 |
0 |
0 |
0 |
0 |
117 |
|
Grenoble (A) |
199 |
96,6 |
7 |
3,4 |
0 |
0 |
206 |
|
La Réunion (A+P) |
97 |
100,0 |
0 |
0 |
0 |
0 |
97 |
|
Le Kremlin Bicêtre (AP-HP) (A) |
209 |
92,1 |
16 |
7,0 |
2 |
0,9 |
227 |
|
Lille C. Huriez (A) |
342 |
97,2 |
10 |
2,8 |
0 |
0 |
352 |
|
Lille Jeanne de Flandre (P) |
31 |
100,0 |
0 |
0 |
0 |
0 |
31 |
|
Limoges (A) |
97 |
100,0 |
0 |
0 |
0 |
0 |
97 |
|
Lyon (HCL) (A) |
354 |
87,2 |
52 |
12,8 |
0 |
0 |
406 |
|
Lyon HFME (P) |
63 |
100,0 |
0 |
0 |
0 |
0 |
63 |
|
Marseille Conception (APM) (A) |
314 |
99,7 |
1 |
0,3 |
0 |
0 |
315 |
|
Marseille La Timone enfant (P) |
24 |
100,0 |
0 |
0 |
0 |
0 |
24 |
|
Montpellier A. de Villeneuve (P) |
13 |
100,0 |
0 |
0 |
0 |
0 |
13 |
|
Montpellier La Peyronie (A) |
306 |
98,1 |
6 |
1,9 |
0 |
0 |
312 |
|
Nancy (A) |
158 |
98,8 |
2 |
1,3 |
0 |
0 |
160 |
|
Nancy (P) |
6 |
100,0 |
0 |
0 |
0 |
0 |
6 |
|
Nantes (A+P) |
347 |
94,6 |
20 |
5,4 |
0 |
0 |
367 |
|
Nice (A+P) |
171 |
97,2 |
5 |
2,8 |
0 |
0 |
176 |
|
Paris Necker (AP-HP) (A) |
290 |
95,1 |
10 |
3,3 |
5 |
1,6 |
305 |
|
Paris Necker-Enfants Malades (AP-HP) (P) |
54 |
94,7 |
0 |
0 |
3 |
5,3 |
57 |
|
Paris Pitié-Salpêtrière(AP-HP) (A) |
139 |
80,8 |
33 |
19,2 |
0 |
0 |
172 |
|
Paris Robert Debré (AP-HP) (P) |
48 |
100,0 |
0 |
0 |
0 |
0 |
48 |
|
Paris Saint-Louis (AP-HP) (A) |
218 |
86,2 |
35 |
13,8 |
0 |
0 |
253 |
|
Paris Tenon (AP-HP) (A) |
135 |
97,8 |
3 |
2,2 |
0 |
0 |
138 |
|
Paris Trousseau (AP-HP) |
1 |
100,0 |
0 |
0 |
0 |
0 |
1 |
|
Point-à-Pitre Abymes (A) |
95 |
100,0 |
0 |
0 |
0 |
0 |
95 |
|
Poitiers (A) |
145 |
93,5 |
10 |
6,5 |
0 |
0 |
155 |
|
Reims (A) |
118 |
100,0 |
0 |
0 |
0 |
0 |
118 |
|
Rennes (A) |
196 |
99,0 |
2 |
1,0 |
0 |
0 |
198 |
|
Rouen (A) |
135 |
91,8 |
12 |
8,2 |
0 |
0 |
147 |
|
Saint-Etienne (A) |
127 |
97,7 |
3 |
2,3 |
0 |
0 |
130 |
|
Strasbourg Hôpital Civil (A+P) |
208 |
100,0 |
0 |
0 |
0 |
0 |
208 |
|
Suresnes Foch (A) |
126 |
100,0 |
0 |
0 |
0 |
0 |
126 |
|
Toulouse Purpan (P) |
15 |
100,0 |
0 |
0 |
0 |
0 |
15 |
|
Toulouse Rangueil (A) |
332 |
100,0 |
0 |
0 |
0 |
0 |
332 |
|
Tours Bretonneau (A) |
212 |
95,5 |
10 |
4,5 |
0 |
0 |
222 |
|
Tours Clocheville (P) |
17 |
100,0 |
0 |
0 |
0 |
0 |
17 |
|
Décédé en mort encéphalique à critères élargis |
Amiens (A) |
70 |
58,3 |
50 |
41,7 |
0 |
0 |
120 |
Angers (A) |
33 |
38,4 |
53 |
61,6 |
0 |
0 |
86 |
|
Besançon (A) |
83 |
93,3 |
6 |
6,7 |
0 |
0 |
89 |
|
Bordeaux (A+P) |
291 |
93,3 |
21 |
6,7 |
0 |
0 |
312 |
|
Brest (A) |
81 |
68,6 |
37 |
31,4 |
0 |
0 |
118 |
|
Caen (A) |
122 |
87,1 |
18 |
12,9 |
0 |
0 |
140 |
|
Clermont-Ferrand (A) |
89 |
83,2 |
18 |
16,8 |
0 |
0 |
107 |
|
Créteil Henri Mondor (AP-HP) (A) |
167 |
77,7 |
48 |
22,3 |
0 |
0 |
215 |
|
Dijon (A) |
87 |
85,3 |
15 |
14,7 |
0 |
0 |
102 |
|
Grenoble (A) |
135 |
63,1 |
79 |
36,9 |
0 |
0 |
214 |
|
La Réunion (A+P) |
14 |
60,9 |
9 |
39,1 |
0 |
0 |
23 |
|
Le Kremlin Bicêtre (AP-HP) (A) |
137 |
71,4 |
55 |
28,6 |
0 |
0 |
192 |
|
Lille C. Huriez (A) |
156 |
52,0 |
144 |
48,0 |
0 |
0 |
300 |
|
Limoges (A) |
91 |
85,8 |
15 |
14,2 |
0 |
0 |
106 |
|
Lyon (HCL) (A) |
120 |
43,6 |
155 |
56,4 |
0 |
0 |
275 |
|
Marseille Conception (APM) (A) |
187 |
81,0 |
44 |
19,0 |
0 |
0 |
231 |
|
Montpellier La Peyronie (A) |
250 |
87,1 |
37 |
12,9 |
0 |
0 |
287 |
|
Nancy (A) |
92 |
68,7 |
42 |
31,3 |
0 |
0 |
134 |
|
Nantes (A+P) |
157 |
46,0 |
184 |
54,0 |
0 |
0 |
341 |
|
Nice (A+P) |
219 |
77,1 |
65 |
22,9 |
0 |
0 |
284 |
|
Paris Necker (AP-HP) (A) |
251 |
74,3 |
74 |
21,9 |
13 |
3,8 |
338 |
|
Paris Necker-Enfants Malades (AP-HP) (P) |
0 |
0 |
1 |
100,0 |
0 |
0 |
1 |
|
Paris Pitié-Salpêtrière(AP-HP) (A) |
47 |
31,3 |
103 |
68,7 |
0 |
0 |
150 |
|
Paris Saint-Louis (AP-HP) (A) |
73 |
33,2 |
147 |
66,8 |
0 |
0 |
220 |
|
Paris Tenon (AP-HP) (A) |
142 |
78,5 |
39 |
21,5 |
0 |
0 |
181 |
|
Point-à-Pitre Abymes (A) |
81 |
98,8 |
1 |
1,2 |
0 |
0 |
82 |
|
Poitiers (A) |
51 |
38,6 |
81 |
61,4 |
0 |
0 |
132 |
|
Reims (A) |
50 |
64,9 |
27 |
35,1 |
0 |
0 |
77 |
|
Rennes (A) |
105 |
64,8 |
57 |
35,2 |
0 |
0 |
162 |
|
Rouen (A) |
97 |
56,1 |
76 |
43,9 |
0 |
0 |
173 |
|
Saint-Etienne (A) |
141 |
84,4 |
26 |
15,6 |
0 |
0 |
167 |
|
Strasbourg Hôpital Civil (A+P) |
132 |
69,1 |
59 |
30,9 |
0 |
0 |
191 |
|
Suresnes Foch (A) |
136 |
83,4 |
27 |
16,6 |
0 |
0 |
163 |
|
Toulouse Rangueil (A) |
332 |
97,6 |
8 |
2,4 |
0 |
0 |
340 |
|
Tours Bretonneau (A) |
148 |
51,9 |
137 |
48,1 |
0 |
0 |
285 |
|
Nombre de greffes |
11088 |
83,2 |
2213 |
16,6 |
23 |
0,2 |
13324 |
|
Les reins ont été considérés comme mis sous machine quand la déclaration de mise sous machine a été faite dans Cristal Données extraites de CRISTAL le 01/03/2016
Modalités d’attribution
Tableau R25. Modalités d’attribution pour les greffes rénales réalisées en 2015 à partir de donneurs décédés en état de mort encéphalique
Modalité d'attribution |
n |
% |
score local |
1325 |
46,5 |
score régional |
77 |
2,7 |
score national |
731 |
25,6 |
bigreffe |
34 |
1,2 |
priorité régionale ou nationale |
683 |
24,0 |
répartition des priorités selon les caractéristiques des malades |
. |
. |
-super urgence |
8 |
1,2 |
-hyperimmunisé |
409 |
59,9 |
-immunisé |
38 |
5,6 |
-pédiatrique |
70 |
10,2 |
-greffe combinée |
154 |
22,5 |
-régionale |
4 |
0,6 |
répartition des priorités selon le niveau géographique de leur application |
. |
. |
-nationale |
579 |
84,8 |
-régionale |
104 |
15,2 |
Ces chiffres correspondent aux modalités réelles d’attribution des greffons et non aux caractéristiques des malades. Par exemple, un malade hyperimmunisé ou prioritaire pour une greffe combinée rein-pancréas peut être greffé avec greffon compatible selon le score local. Ce malade aura comme modalité d’attribution une attribution selon le score local.
Données extraites de CRISTAL le 01/03/2016
Pour les 2 850 greffes rénales réalisées à partir de greffons issus de donneurs décédés en mort encéphalique, 1 325 greffons (46,5%) ont été attribués selon le score local, 731 (25,6%) ont été attribués à l’aide du score national mis en place le 3 février 2015 et 683 (24%) ont fait l’objet d’une priorité régionale ou nationale.
Tableau R26. Evolution des modalités d’attribution pour les greffes rénales réalisées à partir de donneurs décédés en état de mort encéphalique
Modalités d’attribution |
2004-2006 |
2007-2009 |
2010-2012 |
2013-2015 |
||||
n |
% |
n |
% |
n |
% |
n |
% |
|
score local |
3225 |
45,3 |
3414 |
43,6 |
3476 |
44,9 |
3756 |
46,3 |
score régional |
2595 |
36,5 |
2990 |
38,2 |
2285 |
29,5 |
1652 |
20,4 |
score national |
0 |
0,0 |
99 |
1,3 |
113 |
1,5 |
793 |
9,8 |
hors tour |
3 |
0,0 |
13 |
0,2 |
1 |
0,0 |
0 |
0,0 |
bigreffe |
114 |
1,6 |
149 |
1,9 |
172 |
2,2 |
110 |
1,4 |
priorité régionale ou nationale |
1180 |
16,6 |
1164 |
14,9 |
1699 |
21,9 |
1798 |
22,2 |
répartition des priorités selon les caractéristiques des malades |
|
|
|
|
|
|
|
|
-super urgence |
18 |
1,5 |
16 |
1,4 |
20 |
1,2 |
16 |
0,9 |
-hyperimmunisé |
341 |
28,9 |
352 |
30,2 |
1055 |
62,1 |
993 |
55,2 |
-full match |
50 |
4,2 |
0 |
0,0 |
0 |
0,0 |
0 |
0,0 |
-immunisé |
135 |
11,4 |
127 |
10,9 |
39 |
2,3 |
138 |
7,7 |
-pédiatrique |
195 |
16,5 |
231 |
19,8 |
218 |
12,8 |
217 |
12,1 |
-greffe combinée |
326 |
27,6 |
325 |
27,9 |
321 |
18,9 |
419 |
23,3 |
-régionale |
115 |
9,7 |
113 |
9,7 |
46 |
2,7 |
15 |
0,8 |
répartition des priorités selon le niveau géographique de leur application |
|
|
|
|
|
|
|
|
-nationale |
837 |
70,9 |
863 |
74,1 |
1475 |
86,8 |
1475 |
85,3 |
-régionale |
343 |
29,1 |
301 |
25,9 |
224 |
13,2 |
224 |
14,7 |
Ces chiffres correspondent aux modalités réelles d’attribution des greffons et non aux caractéristiques des malades. Par exemple, un malade hyperimmunisé ou prioritaire pour une greffe combinée rein-pancréas peut être greffé avec greffon compatible selon le score local. Ce malade aura comme modalité d’attribution une attribution selon le score local.
Données extraites de CRISTAL le 01/03/2016
Tableau R27. Caractéristiques des malades hyper-immunisés greffés en 2015 par catégorie d'allocation H3, HAP, HFM
|
H3 |
HAP |
HFM |
|||
N |
% |
N |
% |
N |
% |
|
Age à la greffe |
0 |
0,0 |
2 |
0,6 |
0 |
0,0 |
0-17 ans |
||||||
18-45 ans |
11 |
30,6 |
100 |
29,7 |
9 |
25,0 |
46-55 ans |
8 |
22,2 |
98 |
29,1 |
13 |
36,1 |
56-65 ans |
12 |
33,3 |
82 |
24,3 |
7 |
19,4 |
>65 ans |
5 |
13,9 |
55 |
16,3 |
7 |
19,4 |
Sexe du receveur |
23 |
63,9 |
194 |
57,6 |
20 |
55,6 |
Féminin |
||||||
Masculin |
13 |
36,1 |
143 |
42,4 |
16 |
44,4 |
Groupe sanguin du receveur |
17 |
47,2 |
146 |
43,3 |
18 |
50,0 |
A |
||||||
AB |
4 |
11,1 |
13 |
3,9 |
2 |
5,6 |
B |
5 |
13,9 |
40 |
11,9 |
3 |
8,3 |
O |
10 |
27,8 |
138 |
40,9 |
13 |
36,1 |
Retransplantation |
20 |
55,6 |
164 |
48,7 |
5 |
13,9 |
Non |
||||||
Oui |
16 |
44,4 |
173 |
51,3 |
31 |
86,1 |
Nombre d'incompatibilités HLA A |
29 |
80,6 |
66 |
19,6 |
36 |
100,0 |
0 |
||||||
1 |
7 |
19,4 |
166 |
49,3 |
0 |
0,0 |
2 |
0 |
0,0 |
105 |
31,2 |
0 |
0,0 |
Nombre d'incompatibilités HLA B |
14 |
38,9 |
37 |
11,0 |
36 |
100,0 |
0 |
||||||
1 |
22 |
61,1 |
226 |
67,1 |
0 |
0,0 |
2 |
0 |
0,0 |
74 |
22,0 |
0 |
0,0 |
Nombre d'incompatibilités HLA DR |
29 |
80,6 |
185 |
54,9 |
36 |
100,0 |
0 |
||||||
1 |
7 |
19,4 |
152 |
45,1 |
0 |
0,0 |
Total |
36 |
100,0 |
337 |
100,0 |
36 |
100,0 |
H3 Hyperimmunisé
HAP Hyperimmunisé avec antigènes permis
HFM Hyperimmunisé full match
Données extraites de CRISTAL le 01/03/2016
Tableau R28. Caractéristiques des malades ayant eu au moins une fois depuis leur inscription un taux de greffon incompatible à 85% ou plus, par année d'inscription
|
2011 |
2012 |
2013 |
2014 |
2015 |
|||||
N |
% |
N |
% |
N |
% |
N |
% |
N |
% |
|
Age à la greffe |
8 |
1,1 |
14 |
1,8 |
19 |
2,4 |
6 |
0,8 |
17 |
2,6 |
0-17 ans |
||||||||||
18-45 ans |
286 |
38,5 |
254 |
32,6 |
262 |
32,8 |
277 |
36,0 |
220 |
33,5 |
46-55 ans |
204 |
27,5 |
237 |
30,4 |
230 |
28,8 |
203 |
26,4 |
146 |
22,3 |
56-65 ans |
178 |
24,0 |
184 |
23,6 |
174 |
21,8 |
175 |
22,7 |
164 |
25,0 |
>65 ans |
67 |
9,0 |
91 |
11,7 |
113 |
14,2 |
109 |
14,2 |
109 |
16,6 |
Sexe du receveur |
419 |
56,4 |
400 |
51,3 |
419 |
52,5 |
438 |
56,9 |
403 |
61,4 |
Féminin |
||||||||||
Masculin |
324 |
43,6 |
380 |
48,7 |
379 |
47,5 |
332 |
43,1 |
253 |
38,6 |
Groupe sanguin du receveur |
311 |
41,9 |
336 |
43,1 |
350 |
43,9 |
305 |
39,6 |
271 |
41,3 |
A |
||||||||||
AB |
33 |
4,4 |
30 |
3,8 |
45 |
5,6 |
40 |
5,2 |
41 |
6,3 |
B |
91 |
12,2 |
92 |
11,8 |
98 |
12,3 |
105 |
13,6 |
84 |
12,8 |
O |
308 |
41,5 |
322 |
41,3 |
305 |
38,2 |
320 |
41,6 |
260 |
39,6 |
Retransplantation |
277 |
37,3 |
296 |
37,9 |
301 |
37,7 |
296 |
38,4 |
299 |
45,6 |
Non |
||||||||||
Oui |
466 |
62,7 |
484 |
62,1 |
497 |
62,3 |
474 |
61,6 |
357 |
54,4 |
Total |
743 |
100,0 |
780 |
100,0 |
798 |
100,0 |
770 |
100,0 |
656 |
100,0 |
Le statut d'immunisation des receveurs est le dernier connu sur liste d'attente (c'est-à-dire avant greffe ou sortie de liste ou au 01/03/2016 pour les malades toujours en attente). Pour les malades récents comme les inscrits en 2015, le nombre total de malades ayant eu au moins une fois depuis leur inscription un taux de greffon incompatible à 85% ou plus pourra sensiblement augmenter dans le temps.
Données extraites de CRISTAL le 01/03/2016
Greffe rénale combinée à la greffe d'autres organes
L'arrêté modificatif des règles de répartition et d’attribution des organes de donneurs décédés du 30 août 2002 a permis l'amélioration des conditions logistiques de réalisation des greffes combinées. Dans tous les cas, pour les greffes combinées comportant un organe "vital" (foie, cœur, poumon, cœur-poumons), le rein est attribué de façon automatique au receveur, suivant la hiérarchie d'attribution de l'organe vital. Pour les greffes rein-pancréas, cette attribution automatique ne concerne que les greffes réalisées à l'échelon local, et les receveurs prioritaires aux échelons interrégional et national. La catégorie des receveurs prioritaires est élargie depuis l’arrêté de janvier 2011 avec mise en application en février 2012 : sont depuis cette date prioritaires les receveurs âgés de 55 ans au plus ayant un taux de greffons incompatibles inférieur ou égal à 25% en attente d’une première greffe.
Tableau R29. Evolution du nombre de greffes combinées à une greffe rénale
|
2005 |
2006 |
2007 |
2008 |
2009 |
2010 |
2011 |
2012 |
2013 |
2014 |
2015 |
Coeur-Rein |
4 |
10 |
6 |
6 |
4 |
8 |
4 |
8 |
12 |
17 |
18 |
Foie-Rein |
42 |
39 |
48 |
50 |
38 |
40 |
48 |
41 |
43 |
63 |
74 |
Multiviscérale |
0 |
0 |
0 |
0 |
0 |
1 |
1 |
1 |
0 |
0 |
0 |
Pancréas-Rein |
84 |
82 |
83 |
73 |
69 |
83 |
67 |
58 |
71 |
70 |
70 |
Poumon-Rein |
0 |
0 |
1 |
1 |
1 |
0 |
2 |
1 |
1 |
1 |
1 |
Les greffes multiviscérales sont des greffes en bloc de 2 ou 3 organes viscéraux (foie-intestin-pancréas, rein-intestin-pancréas, ou intestin-pancréas).
Données extraites de CRISTAL le 01/03/2016
Donneur vivant
Historiquement, en France, la greffe avec donneur vivant a été peu développée par rapport à d’autres pays européens et à l’Amérique du Nord. Depuis 2008, elle est considérée comme un complément nécessaire de la greffe avec donneur décédé et son développement devient une priorité nationale. En 2015, 547 greffes à partir de donneur vivant ont été réalisées avec une progression de 146 % depuis 2008, représentant 16% de l’activité de greffe rénale contre 8% en 2008. En 2015, trois régions, l’Ile–de-France, la Lorraine et Midi-Pyrénées ont atteint l’objectif de 20 % de greffes avec donneur vivant fixé pour 2016. L’activité se déploie sur l’ensemble du territoire mais il persiste une grande disparité d’activité selon les régions avec une marge de progression importante pour les années à venir. L’Ile de France, région de forte pénurie réalise 29 % de ces greffes (159 greffes) contre 40 % en 2009. La moyenne d’âge des donneurs vivants prélevés d’un rein en 2015 est de 49,7 ans avec une augmentation de 1,3 ans depuis 2010 et 19% de donneurs âgés de plus de 60 ans (contre 12% en 2010). Pour ces 547 greffes, le donneur était un ascendant direct du receveur dans 130 cas (23,8 %), un collatéral direct dans 166 cas (30,3%), un descendant dans 33 cas (6%), un collatéral indirect (oncle, tante ou cousin germain) dans 11 cas (2%), le conjoint dans 139 cas (25,4 %), une personne pouvant justifier de plus de 2 ans de vie commune avec le receveur dans 18 cas (3,3 %) et une personne ayant un lien affectif étroit et durable dans 47 cas (8,6%) avec une augmentation régulière de ce type de donneur autorisé depuis la dernière loi de bioéthique de 2011 ( 2 en 2011 et 39 en 2014). Si les donneurs restent principalement issus du cercle familial étroit, leur origine se diversifie avec la part cumulée des parents, de la fratrie et des conjoints qui passe de 96% des donneurs en 2005 à 80 % en 2015. Les greffes ABO incompatibles se développent rapidement depuis 2010 avec 22 greffes réalisées en 2013, 47 en 2014, 67 en 2015 pour un total de 168 greffes enregistré dans la base CRISTAL depuis 2004. Le don croisé, permettant l’échange de greffons entre 2 paires de donneur et receveur incompatibles mais mutuellement compatibles, est autorisé en France depuis la loi de bioéthique de juillet 2011 avec un décret d’application paru en septembre 2012 et a débuté en décembre 2013 avec les 2 premières greffes réalisées en 2014. Depuis le début de l’activité, 48 paires ont été inscrites dans le registre des paires et 7 cycles d’appariement ont été effectués avec entre 11 et 22 paires participant à chaque cycle. Quatre échanges étaient possibles soient 8 greffes potentielles : 4 greffes ont été faites en 2014, 2 début 2015 et 2 greffes ont été annulées par les équipes. Il est indispensable d’augmenter le nombre de paires inscrites dans la base pour développer cette activité qui offre l’avantage de greffes compatibles.
La survie des greffons de donneurs vivants est supérieure à celle observée avec des donneurs décédés avec sur la cohorte des patients greffés entre 1993 et 2014 une survie à respectivement 1 an, 5 ans et 10 ans de 96,6%, 89,6 % et 76,4% contre 90,9%, 78,6% et 61,4% pour les donneurs décédés ( soit + 15% à 10 ans pour les donneurs vivants). La survie du receveur est également meilleure après ce type de greffe avec à 1 an, 5 ans et 10 ans une survie à 99,2%, 96,8% et 91,6% contre 98%, 90% et 79,5% pour les donneurs décédés (soit +12% de survie à 5 ans pour les donneurs vivants).
Le suivi des donneurs est obligatoire depuis la loi de bioéthique de 2004. Il existe cependant un nombre de données manquantes important dans le registre de suivi des donneurs, en particulier, en ce qui concerne le suivi à long terme. La part du prélèvement du rein de donneurs opérés par cœlioscopie s’est largement développée dans les 5 dernières années avec 95% des donneurs bénéficiant de cette technique (en excluant les techniques manquantes). En 2014 (les suivis pour 2015 n’étant pas encore disponibles), 39% des donneurs ont présenté au moins une complication post opératoire. Il s’agit dans 72,5% des cas de douleurs post opératoires (145 sur 200 donneurs avec complications). Mais les complications nécessitant une réhospitalisation ne concernent que 4,3 % des donneurs avec 7 réinterventions chirurgicales (1,4%). Aucun décès péri opératoire n’a été enregistré depuis la mise en place d’un registre de suivi des donneurs en 2004. Le débit de filtration glomérulaire (DFG) médian des donneurs, estimé par la formule MDRD et ajusté sur l’âge, est de 91,3 ml/min/1,73 m2 avant don et de 59,9 ml/min/1,73 m2 à 1 an après don avec une discrète augmentation avec le temps (63,9 ml/min/1,73 m2 après 5 ans). Mais la perte de suivi de la grande majorité des donneurs au-delà de 2 ans ne permet pas une appréciation du risque de dégradation de la fonction rénale à long terme des donneurs. Une enquête prospective longitudinale sur la qualité de vie des donneurs vivants (avant don, à 3 mois et 1 an post don) a été menée en France entre octobre 2009 et janvier 2012 en collaboration avec le service d’épidémiologie du CH de Nancy et l’Agence de la biomédecine. Elle confirme la bonne santé physique des donneurs, supérieure à celle de la population générale avant don en raison de la sélection sévère faite par les cliniciens et leur bonne santé mentale. Cette situation persiste après don après un infléchissement dans les 3 mois qui suivent le don. La nécessité et l’importance de l’accompagnement des donneurs tout au long de leur parcours, en particulier dans la prise en charge des douleurs post opératoires et l’amélioration de la neutralité financière du don, sont soulignées par cette étude. Le rapport scientifique complet ainsi qu’une plaquette d’information aux professionnels et aux donneurs sont disponibles sur le site de l’Agence de la biomédecine.
Prélèvement à partir de donneur vivant
Tableau R30. Evolution de l'activité de prélèvement rénal sur donneur vivant
Indicateur |
2010 |
2011 |
2012 |
2013 |
2014 |
2015 |
Nombre de donneurs vivants prélevés d'un organe |
310 |
335 |
374 |
421 |
531 |
571 |
Nombre de donneurs vivants prélevés d'un organe pmh |
4,8 |
5,1 |
5,7 |
6,4 |
8 |
8,6 |
|
|
|
|
|
|
|
Rein |
|
|
|
|
|
|
Nombre de donneurs vivants prélevés d'un rein |
283 |
302 |
357 |
401 |
514 |
547 |
Dont résidus opératoires |
0 |
1 |
1 |
0 |
0 |
0 |
Dont donneurs vivants apparentés |
283 |
301 |
356 |
401 |
510 |
545 |
Reins droits |
23 |
56 |
40 |
46 |
71 |
66 |
Reins gauches |
260 |
245 |
316 |
355 |
443 |
481 |
18 - 35 ans (en %) |
13 |
11 |
15 |
13 |
16 |
15 |
36 - 50 ans (en %) |
45 |
41 |
39 |
40 |
38 |
38 |
51 - 60 ans (en %) |
30 |
34 |
28 |
32 |
28 |
27 |
61 ans et plus (en %) |
12 |
14 |
18 |
16 |
19 |
19 |
Moyenne d'âge des donneurs vivants prélevés d'un rein [IC 95%] |
48,4 |
49,5 |
49,4 |
49,2 |
49,5 |
49,7 |
pmh : par million d'habitants
Résidu opératoire : néphrectomie d’un rein fonctionnel au cours d’une chirurgie avec attribution du rein à un receveur en attente sur liste.
Données extraites de la base CRISTAL le 02/03/2016
Tableau R31. Evolution de la part de la cœlioscopie dans le prélèvement du donneur
|
|
Total |
||||||||
2008 |
2009 |
2010 |
2011 |
2012 |
2013 |
2014 |
2015 |
|||
Cœlioscopie |
N |
125 |
142 |
201 |
207 |
251 |
300 |
379 |
339 |
2242 |
% |
65,8 |
70,6 |
76,4 |
80,9 |
83,1 |
85,2 |
90,2 |
95,8 |
73,6 |
|
Autre type de chirurgie |
N |
65 |
59 |
62 |
49 |
51 |
52 |
41 |
15 |
805 |
% |
34,2 |
29,4 |
23,6 |
19,1 |
16,9 |
14,8 |
9,8 |
4,2 |
26,4 |
|
Manquant |
N |
26 |
19 |
19 |
45 |
46 |
47 |
94 |
191 |
573 |
% |
12 |
8,6 |
6,7 |
14,9 |
13,2 |
11,8 |
18,3 |
24,4 |
15,8 |
|
Total |
N |
216 |
220 |
282 |
301 |
348 |
399 |
514 |
545 |
3620 |
Données extraites de la base CRISTAL le 02/03/2016
Greffe rénale à partir de donneur vivant
Tableau R32. Evolution de l'activité de greffe rénale selon le type de donneur
Année de greffe |
Évolution depuis 1959 du nombre de greffes rénales issues de donneurs vivants et de donneurs décédés |
Évolution du nombre de greffes rénales de donneurs vivants chez les adultes et les enfants (< 18 ans) |
|||
donneur décédé |
donneur Vivant |
% de greffe à partir de donneur vivant |
receveur adulte |
receveur pédiatrique |
|
1959-1968 |
170 |
157 |
|
|
|
1970-1979 |
3328 |
264 |
|
|
|
1980-1989 |
11442 |
551 |
|
|
|
1990-1999 |
17221 |
587 |
|
|
|
2000 |
1840 |
84 |
4,40% |
71 |
13 |
2001 |
1921 |
101 |
5,00% |
86 |
15 |
2002 |
2144 |
108 |
4,80% |
100 |
8 |
2003 |
1991 |
136 |
6,40% |
127 |
9 |
2004 |
2259 |
164 |
6,80% |
145 |
19 |
2005 |
2375 |
197 |
7,70% |
189 |
8 |
2006 |
2484 |
247 |
9,00% |
233 |
14 |
2007 |
2676 |
236 |
8,10% |
221 |
15 |
2008 |
2715 |
222 |
7,60% |
215 |
7 |
2009 |
2603 |
223 |
7,90% |
209 |
14 |
2010 |
2610 |
283 |
9,80% |
267 |
16 |
2011 |
2674 |
302 |
10,10% |
293 |
9 |
2012 |
2687 |
357 |
11,70% |
345 |
12 |
2013 |
2673 |
401 |
13,00% |
384 |
17 |
2014 |
2718 |
514 |
15,90% |
488 |
26 |
2015 |
2939 |
547 |
15,70% |
527 |
20 |
Tableau R33. Evolution depuis 2005 du nombre de greffes rénales avec donneur vivant selon le lien entre le donneur et le receveur
|
Année de greffe |
||||||||||
2005 |
2006 |
2007 |
2008 |
2009 |
2010 |
2011 |
2012 |
2013 |
2014 |
2015 |
|
N |
N |
N |
N |
N |
N |
N |
N |
N |
N |
N |
|
Donneur ascendant direct (père, mère) |
70 |
85 |
86 |
70 |
66 |
81 |
91 |
97 |
98 |
129 |
130 |
Donneur collatéral direct (frère, sœur) |
81 |
98 |
79 |
82 |
69 |
110 |
99 |
121 |
139 |
171 |
166 |
Donneur conjoint |
39 |
47 |
50 |
46 |
63 |
63 |
66 |
84 |
97 |
129 |
139 |
Donneur descendant direct (fils, fille) |
3 |
10 |
7 |
8 |
8 |
14 |
11 |
15 |
18 |
16 |
33 |
Donneur ascendant indirect (grand-père, grand-mère) |
0 |
0 |
1 |
0 |
1 |
1 |
0 |
1 |
0 |
2 |
0 |
Donneur collatéral indirect (cousin germain, oncle, tante) |
0 |
5 |
5 |
6 |
9 |
7 |
11 |
15 |
12 |
7 |
11 |
Donneur conjoint vie commune supérieure à 2 ans |
4 |
1 |
7 |
8 |
6 |
7 |
21 |
18 |
16 |
21 |
18 |
Donneur conjoint du père ou de la mère |
0 |
0 |
0 |
1 |
1 |
0 |
0 |
0 |
1 |
0 |
3 |
Donneur résidu opératoire |
0 |
1 |
1 |
1 |
0 |
0 |
1 |
1 |
0 |
0 |
0 |
Liens affectifs étroit et stables |
0 |
0 |
0 |
0 |
0 |
0 |
2 |
5 |
20 |
39 |
47 |
Données extraites de la base CRISTAL le 02/03/2016
Tableau R34. Evolution de l'âge des donneurs et des receveurs (exclusion des donneurs de résidus opératoires)
|
2008 |
2009 |
2010 |
2011 |
2012 |
2013 |
2014 |
2015 |
Âge du donneur |
|
|
|
|
|
|
|
|
N |
221,0 |
223,0 |
283,0 |
301,0 |
356,0 |
401,0 |
514,0 |
547,0 |
Moyenne |
47,4 |
47,1 |
48,4 |
49,6 |
49,4 |
49,2 |
49,5 |
49,7 |
Ecart-type |
10,9 |
11,2 |
10,5 |
10,6 |
12,1 |
11,1 |
11,9 |
11,9 |
Minimum |
21,4 |
20,9 |
20,8 |
21,2 |
19,5 |
19,7 |
19,9 |
20,7 |
Maximum |
72,0 |
78,9 |
72,0 |
75,9 |
80,3 |
77,1 |
79,1 |
78,3 |
Âge du receveur |
|
|
|
|
|
|
|
|
N |
221,0 |
223,0 |
283,0 |
301,0 |
356,0 |
401,0 |
514,0 |
547,0 |
Moyenne |
40,2 |
40,6 |
42,1 |
43,1 |
43,3 |
44,6 |
44,3 |
46,1 |
Ecart-type |
14,9 |
15,4 |
15,1 |
15,2 |
14,6 |
14,9 |
15,6 |
15,1 |
Minimum |
1,8 |
3,2 |
6,4 |
2,1 |
1,9 |
4,8 |
4,8 |
1,9 |
Maximum |
72,7 |
70,3 |
77,9 |
73,3 |
77,9 |
79,8 |
79,1 |
78,5 |
Données extraites de la base CRISTAL le 02/03/2016
Tableau R35. Evolution du nombre de greffes de rein à partir de donneur vivant ABO incompatibles entre 2004* et 2014
Nombre de greffes ABO incompatibles |
Année de prélèvement |
||||||||||||
2004 |
2005 |
2006 |
2007 |
2008 |
2009 |
2010 |
2011 |
2012 |
2013 |
2014 |
2015 |
||
|
N |
1 |
0 |
1 |
0 |
1 |
2 |
3 |
10 |
14 |
22 |
47 |
67 |
% du nb de greffes avec donneur vivant |
0,83 |
0,00 |
0,41 |
0,00 |
0,45 |
0,90 |
1,06 |
3,32 |
3,93 |
5,49 |
9,14 |
12,25 |
|
*Les données pour l'année 2004 ne couvrent que la période du 1er Mai au 31 Décembre
Données extraites de la base CRISTAL le 02/03/2016
Suivis des donneurs vivants post don
Tableau R36. Fréquences des douleurs postopératoires après le prélèvement chez les donneurs vivants de rein selon l'âge et le type d'intervention entre 2004* et 2014
|
Douleurs postopératoires |
|||||
Manquant |
Non |
Oui |
||||
N |
% |
N |
% |
N |
% |
|
Age du donneur |
|
|
|
|
|
|
18 - 34 ans |
105 |
20,9 |
298 |
59,2 |
100 |
19,9 |
35 - 50 ans |
251 |
17,6 |
832 |
58,4 |
342 |
24 |
50 - 65 ans |
243 |
16,5 |
875 |
59,4 |
356 |
24,2 |
65 ans et plus |
37 |
15,2 |
143 |
58,8 |
63 |
25,9 |
Total |
636 |
17,4 |
2148 |
58,9 |
861 |
23,6 |
|
|
|
|
|
|
|
Type de chirurgie |
|
|
|
|
|
|
Autre |
6 |
4,5 |
89 |
67,4 |
37 |
28 |
Cœlioscopie |
99 |
4,4 |
1533 |
67,8 |
630 |
27,9 |
Lombotomie |
62 |
10,3 |
387 |
64,1 |
155 |
25,7 |
Lombotomie en conversion de cœlioscopie |
1 |
9,1 |
8 |
72,7 |
2 |
18,2 |
Manquant |
459 |
80,1 |
95 |
16,6 |
19 |
3,3 |
Voie sous costale |
9 |
14,3 |
36 |
57,1 |
18 |
28,6 |
Total |
636 |
17,4 |
2148 |
58,9 |
861 |
23,6 |
* Les données pour l'année 2004 ne couvrent que la période du 1er Mai au 31 Décembre,
les suivis n'ont pas encore tous été reçus pour l'année 2015
Tableau R37. Evolution de la fréquence des complications péri-opératoires chez les donneurs vivants de rein
|
2008 |
2009 |
2010 |
2011 |
2012 |
2013 |
2014 |
Nombre de dons |
221 |
223 |
283 |
301 |
356 |
401 |
514 |
Nombre de donneurs avec au moins une complication |
70 |
80 |
104 |
112 |
133 |
164 |
200 |
Réhospitalisations |
7 |
4 |
13 |
14 |
13 |
13 |
22 |
dont réinterventions |
4 |
|
4 |
4 |
6 |
9 |
7 |
Saignements |
8 |
2 |
5 |
8 |
9 |
10 |
10 |
Complications réno-vasculaires |
5 |
7 |
6 |
13 |
16 |
13 |
12 |
dont complications urologiques |
1 |
2 |
1 |
0 |
0 |
3 |
0 |
dont hypertension artérielle |
2 |
2 |
1 |
8 |
7 |
4 |
5 |
dont insuffisance rénale aigüe |
2 |
3 |
3 |
4 |
10 |
6 |
7 |
dont dialyse |
1 |
0 |
1 |
2 |
0 |
2 |
0 |
Complications thrombo-emboliques |
|
3 |
4 |
3 |
3 |
4 |
7 |
dont embolie pulmonaire |
|
1 |
1 |
1 |
1 |
2 |
1 |
Infections |
10 |
13 |
28 |
24 |
36 |
43 |
41 |
dont infections urinaires |
5 |
6 |
13 |
11 |
19 |
21 |
15 |
dont infections de paroi |
3 |
5 |
11 |
5 |
15 |
15 |
15 |
dont septicémie |
0 |
0 |
0 |
0 |
0 |
0 |
0 |
Complications pulmonaires (sauf infection et embolie) |
4 |
2 |
3 |
8 |
5 |
10 |
9 |
Douleurs post-opératoires |
53 |
60 |
78 |
76 |
85 |
108 |
145 |
Autres complications |
7 |
5 |
9 |
6 |
17 |
15 |
27 |
Les saignements incluent hématome de la loge rénale et hémorragie. Les complications pulmonaires incluent bronchospasme, pneumopathie, atélectasie, et autres complications pulmonaires. Les infections incluent infections urinaires, infection de la paroi, septicémie et autres infections.
Données extraites de la base CRISTAL le 02/03/2016
Tableau R38. Taux de suivi des donneurs vivants par équipe de greffe
Equipe de suivi |
Nb donneurs |
Nb de donneurs à suivre |
Indicateur COP* (%) |
Amiens (A) |
31 |
26 |
58 |
Angers (A) |
14 |
14 |
21 |
Besançon (A) |
32 |
32 |
66 |
Bordeaux (A+P) |
123 |
123 |
6 |
Brest (A) |
15 |
15 |
20 |
Caen (A) |
62 |
62 |
81 |
Clermont-Ferrand (A) |
29 |
28 |
69 |
Créteil Henri Mondor (AP-HP) (A) |
100 |
100 |
54 |
Dijon (A) |
42 |
42 |
45 |
Grenoble (A) |
128 |
123 |
26 |
La Réunion (A+P) |
2 |
2 |
50 |
Le Kremlin Bicêtre (AP-HP) (A) |
160 |
159 |
3 |
Lille C. Huriez (A) |
127 |
117 |
74 |
Limoges (A) |
23 |
19 |
61 |
Lyon (HCL) (A) |
156 |
128 |
40 |
Marseille Conception (APM) (A) |
90 |
86 |
28 |
Montpellier La Peyronie (A) |
153 |
123 |
16 |
Nancy (A) |
218 |
209 |
67 |
Nantes (A+P) |
225 |
224 |
68 |
Nice (A+P) |
72 |
72 |
31 |
Papeete |
13 |
13 |
8 |
Paris Georges Pompidou (AP-HP) |
1 |
1 |
0 |
Paris Necker (AP-HP) (A) |
470 |
409 |
59 |
Paris Necker-Enfants Malades (AP-HP) (P) |
2 |
2 |
0 |
Paris Pitié-Salpêtrière (AP-HP) (A) |
89 |
83 |
35 |
Paris Saint-Louis (AP-HP) (A) |
235 |
202 |
69 |
Paris Tenon (AP-HP) (A) |
110 |
110 |
14 |
Paris Trousseau (AP-HP) |
3 |
3 |
0 |
Point-à-Pitre Abymes (A) |
22 |
21 |
14 |
Poitiers (A) |
31 |
30 |
55 |
Reims (A) |
41 |
37 |
71 |
Rennes (A) |
31 |
30 |
61 |
Rouen (A) |
68 |
67 |
46 |
Saint-Etienne (A) |
60 |
50 |
33 |
Strasbourg Hôpital Civil (A+P) |
117 |
103 |
44 |
Suresnes Foch (A) |
169 |
142 |
52 |
Toulouse Rangueil (A) |
310 |
299 |
50 |
Tours Bretonneau (A) |
84 |
83 |
29 |
Total |
3658 |
3389 |
47 |
*Indicateur COP:
Pourcentage de donneurs vivants depuis le 01/01/2004 avec un taux de suivi adéquat dans le registre donneur vivant.
Le taux de suivi adéquat est défini par le cumul :
Pour les donneurs résidants à l'étranger : nombre de donneurs avec un suivi postopératoire et au moins un suivi annuel / nombre de donneurs résidants à l'étranger.
Pour les donneurs résidants en France : nombre de donneurs avec au moins 25% des suivis attendus / nombre de donneurs résidants en France.
Tableau R39. Débit de filtration glomérulaire (DFG) moyen des donneurs vivants de reins selon le temps de suivi (méthode MDRD sans l'origine ethnique)
Durée de suivi |
N suivis attendus |
N observés |
DFG médian |
10ème percentile |
90ème percentile |
pré don |
3650 |
3008 |
91,3 |
72,1 |
116,9 |
1 |
3103 |
2163 |
59,9 |
47,5 |
77 |
2 |
2589 |
1036 |
61 |
48,5 |
80,1 |
3 |
2188 |
809 |
61,7 |
48,7 |
80,4 |
4 |
1831 |
676 |
62,1 |
49,6 |
80,6 |
5 |
1529 |
531 |
63,9 |
51,3 |
83,8 |
6 |
1246 |
427 |
64 |
51 |
82,4 |
7 |
1023 |
312 |
64 |
51,3 |
82,2 |
8 |
801 |
238 |
64,4 |
52 |
83,6 |
9 |
565 |
131 |
65,7 |
52,9 |
87,7 |
10 |
318 |
78 |
66,1 |
53,4 |
81,7 |
11 |
121 |
11 |
66 |
46,7 |
75,6 |
Données extraites de la base CRISTAL le 02/03/2016
Don croisé
Tableau R40. Evolution des inscriptions et greffes en don croisé
|
2013 |
2014 |
2015 |
Nombre de paires inscrites depuis le début du programme |
12 |
40 |
48 |
Nombre de cycles d'appariement dans l’année |
1 |
3 |
3 |
Nombre de croisements possibles |
1 |
3 |
0 |
Nombre de greffes réalisées |
0 |
4 |
2 |
Tableau R41. Caractéristiques des donneurs et des receveurs des paires inscrites entre le 01/01/2013 et le 31/12/2015
|
N |
Age moyen |
Groupe A |
Groupe B |
Groupe AB |
Groupe O |
Taux de greffons incompatibles >85% |
Donneurs |
48 |
50 [32 - 74] |
24 |
7 |
4 |
12 |
|
Receveurs |
48 |
50 [20 - 73] |
14 |
4 |
1 |
28 |
9 |
Données extraites de la base CRISTAL le 02/03/2016
Tableau R42. Nombre de paires inscrites entre le 01/01/2013 et le 31/12/2015 en don croisé selon la relation entre le donneur et le receveur
|
Total |
N |
|
Manquant |
1 |
Donneur ascendant direct (père, mère) |
4 |
Donneur collatéral direct (frère, sœur) |
3 |
Donneur conjoint |
30 |
Donneur descendant direct (fils, fille) |
2 |
Donneur collatéral indirect (cousin germain, oncle, tante) |
2 |
Donneur vie commune supérieure à 2 ans |
2 |
Donneur conjoint du père ou de la mère |
2 |
Liens affectifs étroits et stables |
2 |
Total |
48 |
Données extraites de la base CRISTAL le 02/03/2016
Survie post greffe
La comparaison des courbes de survie des greffons montre une amélioration significative (p < 0,001, test du Log-Rank) des résultats selon les cohortes de greffe : 1986-1990, 1991-1995, 1996-2000, 2001-2005 et 2006-2008 avec des survies à 1 an de 83,7%, 86,3%, 91,0%, 92,2% et 92,6%, et des survies à 5 ans de 68,2%, 74,6%, 80,5%, 80,6% et 80%, respectivement. La survie à 10 ans est passée de 52,2% pour la cohorte 1986-1990 à 65,1 % pour la cohorte 1996-2000 mais diminue à 63,5% pour 2001-2005. On observe cependant pour les cohortes les plus récentes 2009-2011 et 2012-2014 une légère diminution de la survie à 1 an à 91,7% et 91,3%. Cet infléchissement est discret en regard de l’augmentation importante des donneurs âgés.
Pour l’ensemble de la cohorte (1993-2014), la survie des greffons est significativement meilleure pour les greffes à partir de donneur vivant avec à 10 ans un taux de survie de 76,4 % contre 61,4% pour les greffes avec donneur décédé (p<0,001). Parmi les greffes avec donneur décédé sur la cohorte 2007-2014, la survie du greffon est meilleure pour les donneurs à critères standard (84,1% à 5 ans) que pour les donneurs à critères élargis (68%) et les donneurs après arrêt circulatoire inopiné (74,4 %). La survie du greffon diminue significativement en cas de retransplantation, avec l’âge du donneur et l’âge du receveur. Les courbes de survie du receveur en fonction de l’âge montrent la diminution attendue de la survie des receveurs les plus âgés qui impacte la survie des greffons de donneurs âgés prioritairement attribués à des receveurs âgés. La survie à 5 ans des greffes avec des donneurs de 61 à 70 ans est de 73,2% contre 81,8% pour les des donneurs de 18-60 ans. La différence reste significative mais considérablement atténuée avec la censure des décès (87,8% pour les 18-60 ans contre 84,1% pour les 61-70 ans).
La non fonction primaire du greffon et le retard de fonction du greffon, qui est un facteur de risque pour la durée de survie du greffon, sont rares chez les receveurs de greffons de donneurs optimaux et augmentent chez les receveurs de greffons de donneurs à critères élargis et de donneurs décédés après arrêt circulatoire inopiné. La non fonction primaire est observée pour 2% des greffes à partir de donneurs vivants, 3,1% des greffes à partir de donneurs standards, 5,5% des greffes à partir de donneurs à critères élargis et 7,7 % des greffes à partir de donneurs décédés après arrêt circulatoire inopiné. Le taux de reprise retardée de fonction est pour ces mêmes catégories respectivement de 6,9%, 21,7%, 27,5 % et 75,8%. Parmi les greffes avec donneur à critères élargis, on observe 29,3% de retard de fonction en l’absence de machine à perfusion contre seulement 16,9% pour les reins perfusés (p du test du chi-2 <0,001) avec des premiers résultats très encourageants de cette technique. Le débit de filtration glomérulaire à 1 an, estimé par MDRD (Schwartz en pédiatrie) est supérieur à 60 ml/min chez 42,7% des receveurs de greffons issus de donneurs vivants, 44,3% des receveurs de greffons issus de donneurs standards, 12,9% des receveurs de greffons issus de donneurs à critères élargis et 26% des receveurs de greffons issus de donneurs décédés après arrêt circulatoire suite à un arrêt cardiaque inopiné.
Survie greffon
Figure R2. Survie du greffon rénal selon la période de greffe
| Période de greffe | N |
Survie à 1 mois |
Survie à 1 an |
Survie à 5 ans |
Survie à 10 ans |
Survie à 15 ans |
Médiane de |
1986-1990 |
8671 |
93,3% |
83,7% |
68,2% |
52,2% |
38,3% |
128,5 |
nombre de sujets à risque* |
|
7858 |
7023 |
5677 |
4276 |
2900 |
|
1991-1995 |
8819 |
94,2% |
86,3% |
74,5% |
59,2% |
44,0% |
156,7 |
nombre de sujets à risque* |
|
8252 |
7536 |
6454 |
4860 |
3344 |
|
1996-2000 |
8970 |
96,0% |
91,0% |
80,5% |
65,1% |
49,8% |
178,8 |
nombre de sujets à risque* |
|
8602 |
8157 |
7149 |
5565 |
3326 |
|
2001-2005 |
11396 |
96,2% |
92,2% |
80,6% |
63,5% |
NO |
163,3 |
nombre de sujets à risque* |
|
10950 |
10469 |
9005 |
5537 |
0 |
|
2006-2008 |
8580 |
96,5% |
92,6% |
80,0% |
NO |
NO |
NO |
nombre de sujets à risque* |
|
8270 |
7927 |
6524 |
0 |
0 |
|
2009-2011 |
8695 |
96,0% |
91,7% |
78,7% |
NO |
NO |
NO |
nombre de sujets à risque* |
|
8327 |
7893 |
2833 |
0 |
0 |
|
2012-2014 |
9350 |
95,7% |
91,3% |
NO |
NO |
NO |
NO |
nombre de sujets à risque* |
|
8663 |
6925 |
0 |
0 |
0 |
|
[] : Intervalle de confiance
NO : non observable
* : Nombre de malades restant à observer pour chaque temps et pour lesquels aucun évènement n'est survenu
Données extraites de CRISTAL le 01/03/2016
Figure R3. Survie globale du greffon rénal (1993-2014)
Période de greffe |
N |
Survie à 1 mois |
Survie à 1 an |
Survie à 5 ans |
Survie à 10 ans |
Survie à 15 ans |
Médiane de |
1993-2014 |
52060 |
95,9% |
91,3% |
79,4% |
62,3% |
46,7% |
167,6 |
nombre de sujets à risque* |
|
49581 |
45739 |
29307 |
13943 |
5336 |
|
[] : Intervalle de confiance
NO : non observable
* : Nombre de malades restant à observer pour chaque temps et pour lesquels aucun évènement n'est survenu
Données extraites de CRISTAL le 01/03/2016
Figure R4a. Survie du greffon rénal selon l'âge du donneur (1993-2014)
Age du donneur |
N |
Survie à 1 mois |
Survie à 1 an |
Survie à 5 ans |
Survie à 10 ans |
Survie à 15 ans |
Médiane de |
0-17 ans |
2866 |
95,1% |
91,7% |
83,0% |
69,8% |
55,8% |
202,9 |
nombre de sujets à risque* |
|
2705 |
2576 |
1919 |
1203 |
598 |
|
18-60 ans |
37590 |
96,3% |
92,4% |
81,8% |
65,5% |
49,3% |
177,2 |
nombre de sujets à risque* |
|
35991 |
33618 |
22943 |
11577 |
4461 |
|
61-70 ans |
7276 |
95,3% |
89,2% |
73,2% |
48,9% |
NO |
117,6 |
nombre de sujets à risque* |
|
6884 |
6150 |
3190 |
904 |
181 |
|
71-75 ans |
2109 |
94,8% |
87,2% |
65,3% |
37,1% |
NO |
87,3 |
nombre de sujets à risque* |
|
1981 |
1744 |
700 |
118 |
3 |
|
>75 ans |
2008 |
92,3% |
82,7% |
57,1% |
NO |
NO |
77,9 |
nombre de sujets à risque* |
|
1831 |
1476 |
398 |
28 |
1 |
|
[] : Intervalle de confiance
NO : non observable
* : Nombre de malades restant à observer pour chaque temps et pour lesquels aucun évènement n'est survenu
Données extraites de CRISTAL le 01/03/2016
Figure R4b. Survie du greffon rénal avec censure des décès selon l'âge du donneur (1993-2014)
Age du donneur |
N |
Survie à 1 mois |
Survie à 1 an |
Survie à 5 ans |
Survie à 10 ans |
Survie à 15 ans |
Médiane de |
0-17 ans |
2866 |
95,6% |
93,0% |
86,2% |
75,7% |
63,3% |
NO |
nombre de sujets à risque* |
|
2705 |
2576 |
1919 |
1203 |
598 |
|
18-60 ans |
37590 |
97,1% |
94,7% |
87,8% |
76,4% |
64,5% |
NO |
nombre de sujets à risque* |
|
35991 |
33618 |
22943 |
11577 |
4461 |
|
61-70 ans |
7276 |
96,4% |
93,0% |
84,1% |
68,0% |
NO |
NO |
nombre de sujets à risque* |
|
6884 |
6150 |
3190 |
904 |
181 |
|
71-75 ans |
2109 |
96,2% |
92,7% |
80,7% |
62,7% |
NO |
NO |
nombre de sujets à risque* |
|
1981 |
1744 |
700 |
118 |
3 |
|
>75 ans |
2008 |
93,8% |
88,9% |
75,2% |
NO |
NO |
NO |
nombre de sujets à risque* |
|
1831 |
1476 |
398 |
28 |
1 |
|
[] : Intervalle de confiance
NO : non observable
* : Nombre de malades restant à observer pour chaque temps et pour lesquels aucun évènement n'est survenu
Données extraites de CRISTAL le 01/03/2016
Figure R5. Survie du greffon rénal selon l'origine du greffon (1993-2014)
Type de donneur |
N |
Survie à 1 mois |
Survie à 1 an |
Survie à 5 ans |
Survie à 10 ans |
Survie à 15 ans |
Médiane de |
Donneur décédé |
47986 |
95,7% |
90,9% |
78,6% |
61,4% |
45,8% |
164,2 |
nombre de sujets à risque* |
|
45679 |
42190 |
27374 |
13203 |
5107 |
|
Donneur vivant |
4026 |
98,0% |
96,6% |
89,6% |
76,4% |
62,7% |
NO |
nombre de sujets à risque* |
|
3866 |
3518 |
1905 |
722 |
216 |
|
[] : Intervalle de confiance
NO : non observable
* : Nombre de malades restant à observer pour chaque temps et pour lesquels aucun évènement n'est survenu
Données extraites de CRISTAL le 01/03/2016
Figure R6. Survie du greffon rénal selon l'origine du greffon (2007-2014)
Type de donneur |
N |
Survie à 1 mois |
Survie à 1 an |
Survie à 5 ans |
Survie à 10 ans |
Survie à 15 ans |
Médiane de |
Décédé en mort encéphalique à critères standards |
11766 |
96,9% |
94,3% |
84,1% |
NO |
NO |
NO |
nombre de sujets à risque* |
|
11258 |
10396 |
4173 |
0 |
0 |
|
Décédé en mort encéphalique à critères élargis |
9068 |
94,5% |
87,3% |
68,0% |
NO |
NO |
NO |
nombre de sujets à risque* |
|
8476 |
7282 |
2253 |
0 |
0 |
|
DAC-ACI |
522 |
92,7% |
88,4% |
74,4% |
NO |
NO |
NO |
nombre de sujets à risque* |
|
479 |
432 |
135 |
0 |
0 |
|
[] : Intervalle de confiance
NO : non observable
* : Nombre de malades restant à observer pour chaque temps et pour lesquels aucun évènement n'est survenu
DDAC-ACI : donneur décédé après arrêt circulatoire suite à un arrêt cardiaque inopiné
DDAC-LAT : donneur décédé après arrêt circulatoire suite à la limitation ou l’arrêt des thérapeutiques
Données extraites de CRISTAL le 01/03/2016
Figure R7. Survie du greffon rénal selon le rang de la greffe (1993-2014)
N |
Survie à 1 mois |
Survie à 1 an |
Survie à 5 ans |
Survie à 10 ans |
Survie à 15 ans |
Médiane de |
|
Rang de la greffe = 1 |
44426 |
96,1% |
91,7% |
80,3% |
63,8% |
48,0% |
172,5 |
nombre de sujets à risque* |
|
42384 |
39209 |
25287 |
12259 |
4737 |
|
Rang de la greffe = 2 |
6590 |
95,1% |
89,5% |
75,2% |
54,9% |
39,8% |
138,0 |
nombre de sujets à risque* |
|
6225 |
5672 |
3524 |
1491 |
539 |
|
Rang de la greffe > 2 |
1044 |
93,6% |
85,6% |
67,6% |
45,2% |
30,1% |
102,6 |
nombre de sujets à risque* |
|
972 |
858 |
496 |
193 |
60 |
|
[] : Intervalle de confiance
NO : non observable
* : Nombre de malades restant à observer pour chaque temps et pour lesquels aucun évènement n'est survenu
Données extraites de CRISTAL le 01/03/2016
Figure R8a. Survie du greffon rénal selon l'âge du receveur (greffes 1993-2014)
Age du receveur |
N |
Survie à 1 mois |
Survie à 1 an |
Survie à 5 ans |
Survie à 10 ans |
Survie à 15 ans |
Médiane de |
0-17 ans |
2135 |
95,5% |
92,8% |
84,1% |
69,7% |
52,2% |
193,1 |
nombre de sujets à risque* |
|
2009 |
1908 |
1354 |
771 |
342 |
|
18-60 ans |
38477 |
96,3% |
92,4% |
81,8% |
65,6% |
50,2% |
181,1 |
nombre de sujets à risque* |
|
36809 |
34398 |
23353 |
11597 |
4582 |
|
61-70 ans |
9292 |
95,0% |
88,2% |
71,5% |
48,9% |
NO |
117,8 |
nombre de sujets à risque* |
|
8760 |
7786 |
4071 |
1469 |
406 |
|
71-75 ans |
1650 |
94,2% |
84,1% |
60,4% |
36,9% |
NO |
85,5 |
nombre de sujets à risque* |
|
1541 |
1275 |
446 |
99 |
6 |
|
>75 ans |
506 |
92,6% |
81,9% |
53,7% |
NO |
NO |
72,3 |
nombre de sujets à risque* |
|
462 |
372 |
83 |
7 |
0 |
|
[] : Intervalle de confiance
NO : non observable
* : Nombre de malades restant à observer pour chaque temps et pour lesquels aucun évènement n'est survenu
Données extraites de CRISTAL le 01/03/2016
Figure R8b. Survie du greffon rénal avec censure des décès selon l'âge du receveur (greffes 1993-2014)
Age du receveur |
N |
Survie à 1 mois |
Survie à 1 an |
Survie à 5 ans |
Survie à 10 ans |
Survie à 15 ans |
Médiane de |
0-17 ans |
2135 |
95,9% |
93,7% |
86,1% |
72,2% |
54,9% |
209,1 |
nombre de sujets à risque* |
|
2009 |
1908 |
1354 |
771 |
342 |
|
18-60 ans |
38477 |
97,0% |
94,5% |
87,1% |
75,2% |
63,3% |
NO |
nombre de sujets à risque* |
|
36809 |
34398 |
23353 |
11597 |
4582 |
|
61-70 ans |
9292 |
96,3% |
93,2% |
85,6% |
74,0% |
NO |
NO |
nombre de sujets à risque* |
|
8760 |
7786 |
4071 |
1469 |
406 |
|
71-75 ans |
1650 |
96,0% |
91,3% |
81,7% |
74,8% |
NO |
NO |
nombre de sujets à risque* |
|
1541 |
1275 |
446 |
99 |
6 |
|
>75 ans |
506 |
94,8% |
90,3% |
81,7% |
NO |
NO |
NO |
nombre de sujets à risque* |
|
462 |
372 |
83 |
7 |
0 |
|
[] : Intervalle de confiance
NO : non observable
* : Nombre de malades restant à observer pour chaque temps et pour lesquels aucun évènement n'est survenu
Données extraites de CRISTAL le 01/03/2016
Figure R9. Survie du greffon rénal selon l'immunisation du receveur (03/02/2009-2014)
Taux de greffons incompatibles (%) |
N |
Survie à 1 mois |
Survie à 1 an |
Survie à 5 ans |
Survie à 10 ans |
Survie à 15 ans |
Médiane de |
0 % |
11221 |
95,8% |
91,6% |
78,5% |
NO |
NO |
NO |
nombre de sujets à risque* |
|
10615 |
9342 |
1955 |
0 |
0 |
|
1-24 % |
1389 |
96,5% |
92,4% |
80,1% |
NO |
NO |
NO |
nombre de sujets à risque* |
|
1299 |
1100 |
116 |
0 |
0 |
|
25-49 % |
1147 |
96,1% |
92,6% |
77,9% |
NO |
NO |
NO |
nombre de sujets à risque* |
|
1081 |
934 |
112 |
0 |
0 |
|
50-84 % |
1612 |
96,0% |
90,7% |
76,2% |
NO |
NO |
NO |
nombre de sujets à risque* |
|
1500 |
1285 |
173 |
0 |
0 |
|
85-100 % |
2432 |
95,4% |
90,4% |
74,4% |
NO |
NO |
NO |
nombre de sujets à risque* |
|
2256 |
1928 |
312 |
0 |
0 |
|
[] : Intervalle de confiance
NO : non observable
* : Nombre de malades restant à observer pour chaque temps et pour lesquels aucun évènement n'est survenu
Données extraites de CRISTAL le 01/03/2016
Figure R10. Survie du greffon rénal issu de donneur décédé, en fonction du nombre d’incompatibilités HLA A, B et DR avec exclusion des retransplantations (2008-2014)
Incompatibilité HLA A, B et DR |
N |
Survie à 1 mois |
Survie à 1 an |
Survie à 5 ans |
Survie à 10 ans |
Survie à 15 ans |
Médiane de |
0 |
220 |
95,9% |
93,0% |
75,5% |
NO |
NO |
NO |
nombre de sujets à risque* |
|
207 |
172 |
36 |
0 |
0 |
|
1-3 |
6567 |
95,7% |
91,8% |
79,3% |
NO |
NO |
NO |
nombre de sujets à risque* |
|
6192 |
5509 |
1358 |
0 |
0 |
|
4-6 |
9069 |
95,7% |
90,8% |
76,2% |
NO |
NO |
NO |
nombre de sujets à risque* |
|
8577 |
7647 |
2451 |
0 |
0 |
|
[] : Intervalle de confiance
NO : non observable
* : Nombre de malades restant à observer pour chaque temps et pour lesquels aucun évènement n'est survenu
Données extraites de CRISTAL le 01/03/2016
Figure R11. Survie du greffon rénal issu de donneur décédé, en fonction du nombre d’incompatibilités HLA DR et DQ avec exclusion des retransplantations (2008-2014)
Incompatibilité HLA DR et DQ |
N |
Survie à 1 mois |
Survie à 1 an |
Survie à 5 ans |
Survie à 10 ans |
Survie à 15 ans |
Médiane de |
0 |
2531 |
95,8% |
92,6% |
79,6% |
NO |
NO |
NO |
nombre de sujets à risque* |
|
2382 |
2117 |
396 |
0 |
0 |
|
1-2 |
8979 |
95,6% |
91,1% |
76,5% |
NO |
NO |
NO |
nombre de sujets à risque* |
|
8471 |
7495 |
2029 |
0 |
0 |
|
3-4 |
3149 |
95,3% |
89,9% |
75,8% |
NO |
NO |
NO |
nombre de sujets à risque* |
|
2956 |
2609 |
854 |
0 |
0 |
|
Manquant |
1197 |
97,5% |
93,1% |
82,5% |
NO |
NO |
NO |
nombre de sujets à risque* |
|
1167 |
1107 |
566 |
0 |
0 |
|
[] : Intervalle de confiance
NO : non observable
* : Nombre de malades restant à observer pour chaque temps et pour lesquels aucun évènement n'est survenu
Données extraites de CRISTAL le 01/03/2016
Figure R12. Survie du greffon rénal selon la présence d'anticorps anti-HLA dirigés contre le HLA du donneur (hors donneur vivant, donneur décédé après arrêt circulatoire, 2009-2014)
Anticorps anti-HLA dirigés contre le HLA du donneur |
N |
Survie à 1 mois |
Survie à 1 an |
Survie à 5 ans |
Survie à 10 ans |
Survie à 15 ans |
Médiane de |
pas de DSA |
14990 |
95,7% |
91,0% |
NO |
NO |
NO |
NO |
nombre de sujets à risque* |
|
14134 |
12389 |
0 |
0 |
0 |
|
DSA certain (HLA en soustype) |
531 |
94,6% |
88,0% |
NO |
NO |
NO |
NO |
nombre de sujets à risque* |
|
482 |
401 |
0 |
0 |
0 |
|
[] : Intervalle de confiance
NO : non observable
* : Nombre de malades restant à observer pour chaque temps et pour lesquels aucun évènement n'est survenu
Remarque : la présence d’anticorps anti-HLA dirigés contre le HLA du donneur est calculée à partir des anticorps classe I et classe II du receveur saisis dans Cristal. Si le HLA du donneur est codé en soustype ainsi que les anticorps du receveur alors la présence d’anticorps dirigés contre le HLA du donneur est certaine sinon elle est probable.
Données extraites de CRISTAL le 01/03/2016
Figure R13. Survie du greffon rénal issu de donneur vivant selon la présence d'anticorps anti-HLA dirigés contre le HLA du donneur (2010-2014)
Anticorps anti-HLA dirigés contre le HLA du donneur |
N |
Survie à 1 mois |
Survie à 1 an |
Survie à 5 ans |
Survie à 10 ans |
Survie à 15 ans |
Médiane de |
pas de DSA |
1626 |
98,1% |
97,3% |
NO |
NO |
NO |
NO |
nombre de sujets à risque* |
|
1534 |
1278 |
0 |
0 |
0 |
|
DSA certain (HLA en soustype) |
195 |
97,9% |
94,6% |
NO |
NO |
NO |
NO |
nombre de sujets à risque* |
|
185 |
150 |
0 |
0 |
0 |
|
[] : Intervalle de confiance
NO : non observable
* : Nombre de malades restant à observer pour chaque temps et pour lesquels aucun évènement n'est survenu
Remarque : la présence d’anticorps anti-HLA dirigés contre le HLA du donneur est calculée à partir des anticorps classe I et classe II du receveur saisis dans Cristal. Si le HLA du donneur est codé en soustype ainsi que les anticorps du receveur alors la présence d’anticorps dirigés contre le HLA du donneur est certaine sinon elle est probable.
Données extraites de CRISTAL le 01/03/2016
Figure R14. Survie du greffon rénal issu de donneur vivant selon le lien entre le donneur et le receveur (2004-2014)
Lien entre le donneur et le receveur |
N |
Survie à 1 mois |
Survie à 1 an |
Survie à 5 ans |
Survie à 10 ans |
Survie à 15 ans |
Médiane de |
Donneur apparenté |
2250 |
98,2% |
97,1% |
89,9% |
NO |
NO |
NO |
nombre de sujets à risque* |
|
2155 |
1933 |
887 |
129 |
0 |
|
Donneur non-apparenté |
891 |
97,1% |
96,0% |
89,1% |
NO |
NO |
NO |
nombre de sujets à risque* |
|
845 |
745 |
274 |
28 |
0 |
|
[] : Intervalle de confiance
NO : non observable
* : Nombre de malades restant à observer pour chaque temps et pour lesquels aucun évènement n'est survenu
Donneur apparenté : donneur ascendant direct (père, mère), donneur collatéral direct (frère, sœur), donneur descendant direct (fils, fille), donneur ascendant indirect (grand-père, grand-mère), donneur collatéral indirect (cousin germain, oncle, tante).
Donneur apparenté : donneur conjoint, donneur conjoint vie commune supérieure à 2 ans, donneur conjoint du père ou de la mère, liens affectifs étroit et stables.
Données extraites de CRISTAL le 01/03/2016
Figure R15. Survie du greffon rénal à partir de donneur vivant selon la compatibilité ABO (2009-2014)
Compatibilité ABO |
N |
Survie à 1 mois |
Survie à 1 an |
Survie à 5 ans |
Survie à 10 ans |
Survie à 15 ans |
Médiane de |
Compatible |
1980 |
98,1% |
96,9% |
NO |
NO |
NO |
NO |
nombre de sujets à risque* |
|
1880 |
1602 |
0 |
0 |
0 |
|
Incompatible |
98 |
96,8% |
95,6% |
NO |
NO |
NO |
NO |
nombre de sujets à risque* |
|
87 |
64 |
0 |
0 |
0 |
|
[] : Intervalle de confiance
NO : non observable
* : Nombre de malades restant à observer pour chaque temps et pour lesquels aucun évènement n'est survenu
Données extraites de CRISTAL le 01/03/2016
Survie receveur
Figure R16. Survie du receveur après greffe rénale selon la période
Période de greffe |
N |
Survie à 1 mois |
Survie à 1 an |
Survie à 5 ans |
Survie à 10 ans |
Survie à 15 ans |
Médiane de |
1996-2000 |
7752 |
99,3% |
97,2% |
92,4% |
83,5% |
73,0% |
NO |
nombre de sujets à risque* |
|
7680 |
7491 |
7016 |
6119 |
4272 |
|
2001-2005 |
9698 |
99,1% |
97,1% |
91,4% |
81,5% |
NO |
NO |
nombre de sujets à risque* |
|
9594 |
9371 |
8669 |
6168 |
0 |
|
2006-2008 |
7232 |
99,2% |
97,1% |
90,2% |
NO |
NO |
NO |
nombre de sujets à risque* |
|
7165 |
6991 |
6204 |
0 |
0 |
|
2009-2011 |
7404 |
99,2% |
96,8% |
88,9% |
NO |
NO |
NO |
nombre de sujets à risque* |
|
7328 |
7095 |
2746 |
0 |
0 |
|
2012-2014 |
7977 |
99,1% |
96,7% |
NO |
NO |
NO |
NO |
nombre de sujets à risque* |
|
7673 |
6276 |
0 |
0 |
0 |
|
[] : Intervalle de confiance
NO : non observable
* : Nombre de malades restant à observer pour chaque temps et pour lesquels aucun évènement n'est survenu
Figure R17. Survie du receveur après greffe rénale selon l'âge à la greffe (1996-2014)
Age du receveur |
N |
Survie à 1 mois |
Survie à 1 an |
Survie à 5 ans |
Survie à 10 ans |
Survie à 15 ans |
Médiane de |
0-17 ans |
1657 |
99,6% |
99,1% |
97,6% |
96,1% |
94,3% |
NO |
nombre de sujets à risque* |
|
1624 |
1576 |
1168 |
712 |
319 |
|
18-60 ans |
28567 |
99,3% |
97,9% |
93,4% |
85,2% |
75,4% |
NO |
nombre de sujets à risque* |
|
28192 |
26962 |
19097 |
10081 |
3635 |
|
61-70 ans |
7875 |
98,7% |
94,5% |
81,9% |
61,5% |
NO |
150,7 |
nombre de sujets à risque* |
|
7718 |
7052 |
3808 |
1388 |
313 |
|
71-75 ans |
1492 |
98,0% |
91,7% |
72,9% |
44,0% |
NO |
108,4 |
nombre de sujets à risque* |
|
1452 |
1254 |
472 |
99 |
5 |
|
>75 ans |
472 |
97,4% |
90,3% |
64,1% |
NO |
NO |
94,3 |
nombre de sujets à risque* |
|
454 |
380 |
90 |
7 |
0 |
|
[] : Intervalle de confiance
NO : non observable
* : Nombre de malades restant à observer pour chaque temps et pour lesquels aucun évènement n'est survenu
Figure R18. Survie du receveur après greffe rénale selon l'origine du greffon (1996-2014)
Type de donneur |
N |
Survie à 1 mois |
Survie à 1 an |
Survie à 5 ans |
Survie à 10 ans |
Survie à 15 ans |
Médiane de |
Donneur décédé |
36646 |
99,1% |
96,8% |
90,0% |
79,5% |
68,2% |
NO |
nombre de sujets à risque* |
|
36100 |
34159 |
22943 |
11617 |
4083 |
|
Donneur vivant |
3417 |
99,8% |
99,2% |
96,8% |
91,6% |
89,2% |
NO |
nombre de sujets à risque* |
|
3340 |
3065 |
1692 |
670 |
189 |
|
[] : Intervalle de confiance
NO : non observable
* : Nombre de malades restant à observer pour chaque temps et pour lesquels aucun évènement n'est survenu
Tableau R43. Répartition des malades déclarés vivants avec un greffon fonctionnel dans les différentes équipes de greffe rénale, en fonction du délai écoulé depuis les dernières nouvelles : état de la base au 31 décembre 2015 des malades ayant eu une greffe rénale entre 1993 et 2014
|
nombre total de dossiers |
Ancienneté des dernières nouvelles (en % de dossiers) |
||
0-1 an (%) |
1-2 ans (%) |
> 2 ans* (%) |
||
% |
% |
% |
||
Amiens (A) |
680 |
98,7 |
1,2 |
0,1 |
Angers (A) |
525 |
28,6 |
37,3 |
34,1 |
Besançon (A) |
480 |
90,0 |
10,0 |
0,0 |
Bordeaux (A+P) |
1474 |
28,0 |
5,8 |
66,2 |
Brest (A) |
540 |
66,1 |
33,3 |
0,6 |
Caen (A) |
696 |
96,6 |
3,3 |
0,1 |
Clermont-Ferrand (A) |
515 |
86,4 |
13,6 |
0,0 |
Créteil Henri Mondor (AP-HP) (A) |
901 |
96,4 |
2,9 |
0,7 |
Dijon (A) |
482 |
16,4 |
23,2 |
60,4 |
Grenoble (A) |
1125 |
98,8 |
0,8 |
0,4 |
La Réunion (A+P) |
331 |
88,2 |
10,0 |
1,8 |
Le Kremlin Bicêtre (AP-HP) (A) |
1195 |
45,9 |
12,3 |
41,8 |
Lille C. Huriez (A) |
1221 |
98,5 |
1,4 |
0,1 |
Lille Jeanne de Flandre (P) |
43 |
90,7 |
9,3 |
0,0 |
Limoges (A) |
474 |
96,8 |
2,1 |
1,1 |
Lyon (HCL) (A) |
1809 |
99,6 |
0,3 |
0,2 |
Lyon HFME (P) |
89 |
89,9 |
6,7 |
3,4 |
Marseille Conception (APM) (A) |
1213 |
94,5 |
3,5 |
2,0 |
Marseille La Timone enfant (P) |
30 |
100,0 |
0,0 |
0,0 |
Montpellier A. de Villeneuve (P) |
23 |
100,0 |
0,0 |
0,0 |
Montpellier La Peyronie (A) |
1409 |
89,6 |
10,4 |
0,0 |
Nancy (A) |
1045 |
98,6 |
1,4 |
0,0 |
Nancy (P) |
11 |
100,0 |
0,0 |
0,0 |
Nantes (A+P) |
1826 |
76,8 |
20,6 |
2,5 |
Nice (A+P) |
885 |
67,3 |
31,2 |
1,5 |
Paris Necker (AP-HP) (A) |
1835 |
83,7 |
10,5 |
5,9 |
Paris Necker-Enfants Malades (AP-HP) (P) |
152 |
31,6 |
25,7 |
42,8 |
Paris Pitié-Salpêtrière(AP-HP) (A) |
879 |
43,8 |
41,9 |
14,3 |
Paris Robert Debré (AP-HP) (P) |
95 |
56,8 |
38,9 |
4,2 |
Paris Saint-Louis (AP-HP) (A) |
1146 |
90,3 |
8,8 |
0,9 |
Paris Tenon (AP-HP) (A) |
588 |
9,9 |
38,9 |
51,2 |
Paris Trousseau (AP-HP) ** |
23 |
95,7 |
4,3 |
0,0 |
Point-à-Pitre Abymes (A) |
257 |
45,5 |
35,4 |
19,1 |
Poitiers (A) |
687 |
71,6 |
28,4 |
0,0 |
Reims (A) |
570 |
99,3 |
0,7 |
0,0 |
Rennes (A) |
865 |
99,7 |
0,2 |
0,1 |
Rouen (A) |
696 |
67,1 |
32,9 |
0,0 |
Saint-Etienne (A) |
720 |
98,2 |
1,8 |
0,0 |
Strasbourg Hôpital Civil (A+P) |
899 |
100,0 |
0,0 |
0,0 |
Suresnes Foch (A) |
724 |
76,7 |
19,8 |
3,6 |
Toulouse Purpan (P) |
29 |
100,0 |
0,0 |
0,0 |
Toulouse Rangueil (A) |
1601 |
96,3 |
3,5 |
0,2 |
Tours Bretonneau (A) |
1114 |
95,2 |
3,7 |
1,2 |
Tours Clocheville (P) |
15 |
80,0 |
20,0 |
0,0 |
Total |
31917 |
80,1 |
11,2 |
8,7 |
* pourcentage de dossiers dont les dernières nouvelles datent de plus de 2 ans ou sont manquantes
** Equipe de suivi sans autorisation d'activité de greffe rénal
Données extraites de CRISTAL le 01/03/2016
Le pourcentage de dossiers pour lesquels le suivi n’est pas renseigné depuis plus de 1 an est de 19,9% au niveau national, mais varie d’une équipe à l’autre reflétant une grande différence de pratique. La part des dossiers dont la mise à jour date de plus de deux ans, ou est manquante, est de 8,7% au niveau national.
Tableau R44. Estimation du nombre de malades porteurs d’un greffon rénal fonctionnel au 31 décembre 2015, par équipe de suivi
Equipe de suivi |
Nombre de malades n'ayant pas fait l'objet d'une déclaration de décès ou d'arrêt de fonction du greffon |
Nombre malades suivis (dernières nouvelles<=18 mois) |
Nombre estimé de malades vivants avec greffon fonctionnel au 31/12/2015 |
Amiens (A) |
816 |
784 |
799 |
Angers (A) |
626 |
334 |
487 |
Besançon (A) |
587 |
565 |
572 |
Bordeaux (A+P) |
1860 |
633 |
1244 |
Brest (A) |
703 |
618 |
650 |
Caen (A) |
816 |
807 |
811 |
Clermont-Ferrand (A) |
618 |
576 |
595 |
Créteil Henri Mondor (AP-HP) (A) |
1184 |
1054 |
1097 |
Dijon (A) |
598 |
177 |
403 |
Grenoble (A) |
1359 |
1311 |
1325 |
La Réunion (A+P) |
395 |
354 |
370 |
Le Kremlin Bicêtre (AP-HP) (A) |
1763 |
790 |
1186 |
Lille C. Huriez (A) |
1528 |
1428 |
1467 |
Lille Jeanne de Flandre (P) |
53 |
50 |
51 |
Limoges (A) |
559 |
529 |
545 |
Lyon (HCL) (A) |
2566 |
2179 |
2251 |
Lyon HFME (P) |
119 |
99 |
109 |
Marseille Conception (APM) (A) |
1797 |
1365 |
1474 |
Marseille La Timone enfant (P) |
36 |
34 |
35 |
Montpellier A. de Villeneuve (P) |
29 |
26 |
26 |
Montpellier La Peyronie (A) |
1740 |
1614 |
1663 |
Mulhouse ** |
2 |
0 |
0 |
Nancy (A) |
1308 |
1218 |
1254 |
Nancy (P) |
12 |
12 |
12 |
Nantes (A+P) |
2348 |
2065 |
2168 |
Nice (A+P) |
1118 |
961 |
1033 |
Paris Georges Pompidou (AP-HP) ** |
120 |
0 |
17 |
Paris Necker (AP-HP) (A) |
2257 |
1990 |
2095 |
Paris Necker-Enfants Malades (AP-HP) (P) |
355 |
71 |
171 |
Paris Pitié-Salpêtrière(AP-HP) (A) |
1394 |
797 |
1003 |
Paris Robert Debré (AP-HP) (P) |
119 |
94 |
109 |
Paris Saint-Louis (AP-HP) (A) |
1600 |
1313 |
1415 |
Paris Tenon (AP-HP) (A) |
1034 |
292 |
598 |
Paris Trousseau (AP-HP) ** |
51 |
23 |
37 |
Point-à-Pitre Abymes (A) |
307 |
233 |
278 |
Poitiers (A) |
790 |
786 |
788 |
Reims (A) |
682 |
666 |
673 |
Rennes (A) |
1014 |
998 |
1004 |
Rouen (A) |
853 |
819 |
835 |
Saint-Etienne (A) |
913 |
852 |
870 |
Strasbourg Hôpital Civil (A+P) |
1241 |
1100 |
1148 |
Suresnes Foch (A) |
864 |
758 |
799 |
Toulouse Purpan (P) |
40 |
33 |
37 |
Toulouse Rangueil (A) |
1951 |
1879 |
1909 |
Tours Bretonneau (A) |
1325 |
1272 |
1300 |
Tours Clocheville (P) |
20 |
19 |
20 |
Total |
41470 |
33578 |
36729 |
* Equipe de suivi sans autorisation d'activité de greffe rénale
Malgré l’amélioration de l’exhaustivité des données de suivi des malades greffés rénaux, il n’est pas possible d’obtenir le nombre de malades porteurs d’un greffon fonctionnel par simple interrogation de Cristal. En effet, au 31 décembre 2015, 19,9% des malades greffés rénaux entre 1993 et 2014 ont un suivi datant de plus d’un an. Ainsi, l’estimation de ce nombre a été effectuée en deux étapes basées sur l’ancienneté des données de suivi du malade. Dans un premier temps, nous avons dénombré les porteurs d’un greffon fonctionnel dans Cristal (malades déclarés vivants sans arrêt de fonction du greffon) dont les dernières nouvelles dataient de moins de 18 mois (suivi annuel obligatoire dans Cristal). Pour les malades qui n’avaient pas fait l’objet d’une déclaration de décès ou d’arrêt de fonction du greffon et dont les données de suivi dataient de plus de 18 mois, le nombre de porteurs d’un greffon fonctionnel a été estimé en leur appliquant les taux de survie du greffon estimés sur la population globale.
Le nombre total de porteurs d’un greffon fonctionnel correspond à la somme de ces deux valeurs. Le chiffre ainsi estimé est encadré par deux bornes :
- la borne inférieure correspond à l’hypothèse la plus pessimiste, selon laquelle les malades non suivis sont considérés comme en arrêt fonctionnel de greffon ou décédés. Cela signifie que seuls les greffés qui n’avaient pas fait l’objet d’une déclaration de décès ou d’arrêt de fonction du greffon au 31 décembre de l’année et dont les données de suivi dataient de moins de 18 mois étaient porteurs d’un greffon fonctionnel à cette date ;
- la borne supérieure correspond à l’hypothèse la plus optimiste, selon laquelle les malades non suivis sont considérés comme porteurs d’un greffon fonctionnel. En d’autres termes, tous les greffés qui n’avaient pas fait l’objet d’une déclaration de décès ou d’arrêt de fonction du greffon au 31 décembre de l’année, quelle que soit l’ancienneté des données de suivi, étaient vivants et porteurs d’un greffon fonctionnel à cette date.
Le nombre de malades porteurs d’un greffon fonctionnel est un indicateur important de la charge de travail des équipes médico-chirurgicales de greffe qui doivent assumer le suivi d’une cohorte chaque année grandissante de malades sous traitement immunosuppresseur. Le nombre de porteurs d'un greffon fonctionnel estimé au 31 décembre 2015 varie d'une équipe à l'autre de 20 à 2251 malades.
Le nombre estimé de porteurs de greffon fonctionnel en France est de 36 729 au 31 décembre 2015.
Tableau R45. Analyse de la non fonction primaire du greffon après greffe selon le type de donneur (2008-2014)
|
Non fonction primaire du greffon |
Total |
|||||
Non |
Oui |
Manquant |
|||||
N |
% hors données manquantes |
N |
% hors données manquantes |
N |
% |
N |
|
Vivant |
2220 |
98,0 |
46 |
2,0 |
36 |
1,6 |
2302 |
Décédé en mort encéphalique à critères standards |
9674 |
96,9 |
306 |
3,1 |
87 |
0,9 |
10067 |
Décédé en mort encéphalique à critères élargis |
7572 |
94,5 |
444 |
5,5 |
118 |
1,5 |
8134 |
DAC-ACI |
432 |
92,3 |
36 |
7,7 |
11 |
2,3 |
479 |
Total |
19898 |
96,0 |
832 |
4,0 |
252 |
1,2 |
20982 |
Donneurs décédés et machine à perfuser (2011-2014) |
|||||||
Décédé en mort encéphalique à critères élargis et greffon rénal avec machine à perfuser |
1036 |
95,5 |
49 |
4,5 |
19 |
1,7 |
1104 |
Décédé en mort encéphalique à critères élargis et greffon rénal sans machine à perfuser |
3577 |
94,2 |
222 |
5,8 |
48 |
1,2 |
3847 |
DAC-ACI |
246 |
91,1 |
24 |
8,9 |
8 |
2,9 |
278 |
Total |
4859 |
94,3 |
295 |
5,7 |
75 |
1,4 |
5229 |
Non fonction primaire du greffon a été définie en fonction des informations saisies dans Cristal. Trois cas ont été pris en compte :
- arrêt de fonction du greffon dans les 90 jours après la greffe et une dialyse non arrêtée après la greffe et greffon non fonctionnel en sortie d'hospitalisation
- décès dans les 90 jours après la greffe et une dialyse non arrêtée et greffon non fonctionnel en sortie d'hospitalisation et un greffon déclaré comme non fonctionnel au moment du décès
- aucun suivi après la greffe avec un eDFG supérieur à 10 et une dialyse non arrêtée après la greffe et greffon non fonctionnel en sortie d'hospitalisation
Exclusion de toutes les greffes de0 équipes (0 greffes) avec plus de 30% de données manquantes.
DAC-ACI : donneur décédé après arrêt circulatoire suite à un arrêt cardiaque inopiné
DAC-LAT : donneur décédé après arrêt circulatoire suite à la limitation ou l’arrêt des thérapeutiques
Données extraites de CRISTAL le 01/03/2016
Tableau R46. Analyse du retard de fonction après greffe selon le type de donneur (2008-2014)
|
Reprise retardée de la fonction rénale |
Total |
|||||
Non |
Oui |
Manquant |
|||||
N |
% hors données manquantes |
N |
% hors données manquantes |
N |
% |
N |
|
Vivant |
1183 |
93,1 |
87 |
6,9 |
228 |
15,2 |
1498 |
Décédé en mort encéphalique à critères standards |
6087 |
78,3 |
1688 |
21,7 |
834 |
9,7 |
8609 |
Décédé en mort encéphalique à critères élargis |
4621 |
72,5 |
1757 |
27,5 |
516 |
7,5 |
6894 |
DAC-ACI |
80 |
24,2 |
251 |
75,8 |
63 |
16,0 |
394 |
Total |
11971 |
76,0 |
3783 |
24,0 |
1641 |
9,4 |
17395 |
Donneurs décédés et machine à perfuser (2011-2014) |
|||||||
Décédé en mort encéphalique à critères élargis et greffon rénal avec machine à perfuser |
720 |
83,1 |
146 |
16,9 |
53 |
5,8 |
919 |
Décédé en mort encéphalique à critères élargis et greffon rénal sans machine à perfuser |
2201 |
70,7 |
914 |
29,3 |
153 |
4,7 |
3268 |
DAC-ACI |
50 |
28,7 |
124 |
71,3 |
44 |
20,2 |
218 |
Total |
2971 |
71,5 |
1184 |
28,5 |
250 |
5,7 |
4405 |
Reprise retardée de la fonction rénale a été définie en fonction des informations saisies dans Cristal.
Les greffes avec une date d'autonomie supérieure à 2 jours après la greffe sont considérée avec une reprise retardée de fonction rénale.
Exclusion des greffes avec une non fonction primaire.
Exclusion des greffes préemptives
Exclusion de toutes les greffes de0 équipes (0 greffes) avec plus de 30% de données manquantes.
DAC-ACI : donneur décédé après arrêt circulatoire suite à un arrêt cardiaque inopiné
DAC-LAT : donneur décédé après arrêt circulatoire suite à la limitation ou l’arrêt des thérapeutiques
Données extraites de CRISTAL le 01/03/2016
Tableau R47. Analyse du débit de filtration estimé à 1 an selon le type de donneur pour les greffés entre 2008 et 2014 (exclusion des arrêts de fonction et décès après greffe avant 1 an)
|
eDFG en ml/min/ 1,73 m2 (débit de filtration estimé - formule SCHWARTZ ou MDRD sans ethnie) |
Total |
|||||||||||
>= 60 |
45-59 |
30-44 |
15-29 |
< 15 |
Manquant |
||||||||
N |
% hors données manquantes |
N |
% hors données manquantes |
N |
% hors données manquantes |
N |
% hors données manquantes |
N |
% hors données manquantes |
N |
% |
N |
|
Vivant |
819 |
42,7 |
691 |
36,0 |
341 |
17,8 |
63 |
3,3 |
6 |
0,3 |
215 |
10,1 |
2207 |
Décédé en mort encéphalique à critères standards |
3692 |
44,3 |
2566 |
30,8 |
1640 |
19,7 |
410 |
4,9 |
35 |
0,4 |
607 |
6,8 |
9489 |
Décédé en mort encéphalique à critères élargis |
828 |
12,9 |
1766 |
27,6 |
2559 |
40,0 |
1157 |
18,1 |
86 |
1,3 |
382 |
5,6 |
7760 |
DAC-ACI |
105 |
26,0 |
126 |
31,2 |
121 |
30,0 |
45 |
11,1 |
7 |
1,7 |
21 |
4,9 |
479 |
Total |
5444 |
31,9 |
5149 |
30,2 |
4661 |
27,3 |
1675 |
9,8 |
134 |
0,8 |
1225 |
6,7 |
19935 |
Utilisation du suivi après greffe le plus proche de la date de greffe plus 1 an
Exclusion des suivis après greffe dont l'écart est supérieur de 180 jours
Exclusion de toutes les greffes de3 équipes (1047 greffes) avec plus de 30% de données manquantes.
DAC-ACI : donneur décédé après arrêt circulatoire suite à un arrêt cardiaque inopiné
Données extraites de CRISTAL le 01/03/2016
Conclusion
L’année 2015 enregistre une augmentation de l’activité de greffe rénale remarquable, amorcée en 2014 et faisant suite à une période de faible croissance débutée en 2008. Cette croissance a été possible grâce à l’augmentation de tous les types d’activité : greffes à partir donneurs vivants, à partir de donneurs décédés en mort encéphalique et à partir de donneurs après arrêt circulatoire. Cette dernière catégorie a pu se développer grâce à la mise en place des prélèvements de donneurs décédés après arrêt circulatoire suite à la limitation ou l’arrêt des thérapeutiques (catégorie Maastricht III). Le premier prélèvement a été réalisé en janvier 2015 ouvrant une nouvelle voie qui devrait prendre une place de plus en plus importante dans les années à venir.
En regard de cette activité de greffe, le nombre de nouveaux inscrits sur la liste d’attente reste très supérieur aux nombre de patients greffés même si en 2015 ce nombre diminue légèrement, ce qui n’a été observé qu’une seule fois en 15 ans. Cette pénurie en greffons rénaux impose de poursuivre les efforts de prélèvement de tous les types de donneurs et d’accepter une part croissante de donneurs à critères élargis. Le programme national de mise sous machine à perfusion des reins de ces donneurs vise à optimiser les résultats de ce type de greffes avec en 2015 plus de la moitié de ces reins qui ont été perfusés avec significativement moins de retard de fonction des greffons perfusés. La réduction de la durée d’ischémie froide est un objectif associé dans cette optimisation des greffons de donneurs à critères élargis. La poursuite du développement des greffes avec donneur vivant est une option qui offre de nombreux avantages aux receveurs avec des survies des greffons excellentes. Elle doit s’accompagner d’un soutien des donneurs tout au long de leur parcours veillant en particulier à la prise en charge des douleurs post opératoires et à la neutralité financière du don. L‘amélioration du suivi des donneurs à long terme est un objectif pour les prochaines années.
L’importance de la pénurie doit être relativisée par la prise en compte de la part des receveurs en contre-indication temporaire sur la liste et l’analyse de l’accès à la greffe des malades sur liste « active ».
Un nouveau score d’attribution des greffons a été mis en place en février 2015 permettant, grâce à une plus grande mutualisation des greffons d’améliorer globalement l’appariement en âge, d’améliorer chez les receveurs les plus jeunes l’appariement en HLA et l’accès à la greffe et de tendre vers moins de disparités sur le territoire. Ce score ne modifie pas les attributions prioritaires qui ont augmenté en raison d’un afflux de patients hyperimmunisés. La priorité accordée à ces malades ayant très peu d’accès à la greffe a dépassé son but conduisant à des mesures correctrices dont l’effet commence à apparaître : limitation à 15 ans du différentiel d’âge entre receveur et donneur pour les receveurs de plus de 50 ans et délai de carence de 18 mois avant l’obtention de la priorité. De nouvelles modifications de la définition de l’hyperimmunisation sont envisagée en 2016, afin d’harmoniser les pratiques et de mieux circonscrire les malades.