Dans ce chapitre, les principaux indicateurs développés par organe sur l’ensemble des malades sont présentés dans le cadre de la greffe pédiatrique. Ainsi, sont considérés comme pédiatriques tous les malades inscrits en liste d’attente de greffe avant l’âge de 18 ans et ce quel que soit leur âge à leur sortie de liste d’attente (greffe, décès, sortie). Les méthodes d’analyse sont les mêmes que celles utilisées dans les chapitres précédents et présentées dans le chapitre « Greffes d’organes ».
Quelques chiffres clés
Les greffes d’organes réalisées le plus couramment sur des receveurs inscrits avant l’âge de 18 ans sont la greffe rénale (97 greffes) et la greffe hépatique (90 greffes).
Tableau Péd1. Evolution du nombre d'inscrits pédiatriques au 1er janvier de 2006 à 2016
|
2006 |
2007 |
2008 |
2009 |
2010 |
2011 |
2012 |
2013 |
2014 |
2015 |
2016 |
Coeur |
8 |
8 |
12 |
13 |
9 |
9 |
11 |
11 |
9 |
12 |
10 |
Coeur-poumons |
10 |
6 |
6 |
6 |
7 |
5 |
5 |
3 |
4 |
2 |
2 |
Foie |
43 |
39 |
43 |
50 |
60 |
49 |
42 |
57 |
58 |
64 |
60 |
Intestin |
12 |
12 |
17 |
24 |
18 |
10 |
7 |
5 |
3 |
3 |
2 |
Pancréas |
0 |
0 |
0 |
0 |
0 |
0 |
0 |
1 |
1 |
0 |
0 |
Poumon |
10 |
9 |
12 |
8 |
11 |
5 |
2 |
6 |
15 |
8 |
6 |
Rein |
91 |
89 |
102 |
110 |
129 |
121 |
123 |
140 |
149 |
164 |
172 |
Total |
174 |
163 |
192 |
211 |
234 |
199 |
190 |
223 |
239 |
253 |
252 |
Données extraites de Cristal le 01/03/2016 : données générales et méthodes
Tableau Péd2. Evolution du nombre de nouveaux inscrits pédiatriques dans l'année de 2006 à 2015
|
2006 |
2007 |
2008 |
2009 |
2010 |
2011 |
2012 |
2013 |
2014 |
2015 |
Coeur |
29 |
32 |
28 |
33 |
34 |
44 |
34 |
26 |
42 |
24 |
Coeur-poumons |
. |
4 |
5 |
4 |
2 |
3 |
2 |
2 |
2 |
3 |
Foie |
85 |
89 |
94 |
88 |
73 |
88 |
112 |
96 |
95 |
101 |
Intestin |
7 |
7 |
15 |
2 |
3 |
5 |
2 |
3 |
1 |
1 |
Pancréas |
0 |
1 |
0 |
1 |
1 |
0 |
2 |
0 |
1 |
0 |
Poumon |
13 |
20 |
13 |
18 |
10 |
9 |
17 |
22 |
13 |
12 |
Rein |
112 |
117 |
118 |
146 |
106 |
104 |
112 |
126 |
118 |
126 |
Total |
246 |
270 |
273 |
292 |
229 |
253 |
281 |
275 |
272 |
267 |
Données extraites de Cristal le 01/03/2016 : données générales et méthodes
Tableau Péd3. Evolution du nombre de décès en liste d'attente des malades pédiatriques par année de 2006 à 2015
|
2006 |
2007 |
2008 |
2009 |
2010 |
2011 |
2012 |
2013 |
2014 |
2015 |
Coeur |
7 |
5 |
4 |
8 |
6 |
4 |
8 |
7 |
7 |
6 |
Coeur-poumons |
2 |
1 |
3 |
2 |
1 |
. |
. |
. |
1 |
. |
Foie |
4 |
4 |
5 |
2 |
5 |
2 |
3 |
6 |
2 |
3 |
Intestin |
0 |
0 |
0 |
1 |
0 |
0 |
0 |
1 |
0 |
0 |
Poumon |
3 |
4 |
. |
3 |
1 |
1 |
1 |
1 |
3 |
1 |
Rein |
1 |
. |
3 |
2 |
3 |
2 |
. |
. |
. |
2 |
Total |
17 |
14 |
15 |
18 |
16 |
9 |
12 |
15 |
13 |
12 |
Données extraites de Cristal le 01/03/2016 : données générales et méthodes
Tableau Péd4. Evolution du nombre de greffes pédiatriques d'organes effectuées de 2006 à 2015
|
2006 |
2007 |
2008 |
2009 |
2010 |
2011 |
2012 |
2013 |
2014 |
2015 |
Coeur |
19 |
20 |
20 |
22 |
22 |
36 |
23 |
20 |
24 |
17 |
Coeur-poumons |
0 |
2 |
2 |
0 |
2 |
2 |
3 |
1 |
2 |
2 |
Foie |
77 (17) |
77 (9) |
72 (4) |
73 (7) |
75 (9) |
85 (7) |
84 (4) |
83 (7) |
80 (4) |
90 (10) |
Intestin |
7 |
2 |
7 |
4 |
8 |
8 |
4 |
2 |
1 |
2 |
Pancréas |
0 |
1 |
0 |
1 |
1 |
0 |
1 |
0 |
1 |
0 |
Poumon |
9 |
12 |
12 |
8 |
14 |
10 |
12 |
12 |
14 |
12 |
Rein |
92 (14) |
88 (15) |
90 (7) |
110 (14) |
95 (16) |
94 (9) |
75 (12) |
103 (17) |
90 (26) |
97 (20) |
Total |
204 (31) |
202 (24) |
203 (11) |
218 (21) |
217 (25) |
235 (16) |
202 (16) |
221 (24) |
212 (30) |
220 (30) |
Données extraites de Cristal le 01/03/2016 : données générales et méthodes
() : dont donneurs vivants hors dominos.
Prélèvement sur donneur pédiatrique en état de mort encéphalique
Résumé de l’activité
Activité de prélèvement en 2015
En 2015, le nombre de donneurs pédiatriques recensés régresse de 3,9% (129 contre 134 en 2014). Ce recul touche essentiellement les tranches d’âge 5 - 11 ans et 12 - 18 ans. Seule la tranche d’âge 0- 4 ans progresse (comme en 2014), probablement dans la continuité de l’effort mis en place par l’agence et les coordinations en matière de recensement (fiches de prélèvement, recommandations) au cours du 1er semestre 2014 (avis du CMS sur la prise en charge de la mort encéphalique chez l’enfant).
Nous assistons à un léger recul du nombre de donneurs prélevés (-2). Celui-ci touche de façon plus marquée la tranche d’âge 5 - 11 ans. L’activité chez les grands enfants est stable, pour la tranche 0-4 ans le nombre de prélèvements progresse. Le taux de prélèvement pédiatrique est de 41% en 2015 à l’identique de 2014. Le taux d’opposition global est de 40,3%, légèrement supérieur à 2014, et supérieur au taux observé chez l’adulte (32,5%). L’opposition au prélèvement touche surtout la tranche des 5 - 11 ans cette année (63%), il baisse pour les 0 - 4 ans et croit légèrement pour les 12 - 18 ans.
Les causes de non prélèvement
Parmi les causes de non prélèvement, l’opposition occupe la 1ère place parmi les donneurs recensés. En 2015, le taux d’opposition brut parmi les SME pédiatriques recensés est en légère augmentation, mais le recensement ayant baissé, le nombre de prélevé a tout de même baissé. L’analyse des données de cristal action, finalisée en 2014 devrait nous permettre de mieux comprendre ces évolutions. La 2ème cause de non prélèvement reste la survenue « d’incident médical » pendant le processus, qui a progressé en 2015 dans toutes les classes d’âge pour passer de 9% à 11,6% (difficulté à trouver un préleveur pédiatrique). La part des donneurs pédiatriques non prélevés pour « antécédents du donneur » a fortement baissé ces 3 dernières années, probablement en lien avec une plus grande implication des coordinations de prélèvement.
Les causes de décès des donneurs
Les causes de décès des donneurs pédiatriques se distribuent en 2015 entre les anoxies (38,8%), les traumatismes liés (23,2%) ou non (17,8%) à un accident de la voie publique et les causes d’origine vasculaire (7%). Les autres causes de décès sont la méningite, les tumeurs et les intoxications. La traumatologie reste la principale cause des décès (41%).
L’accident de la voie publique n’est plus la 1ère cause de décès chez les donneurs pédiatriques en 2015. C’est dans la tranche d’âge des 12 - 18 ans que les traumatismes non AVP progressent le plus. Pour l’adolescent le nombre de traumatismes lies à un AVP (accident de la voie publique) régresse cette année de 29%. Les décès par anoxie et méningite ont doublé.
Dans l’ensemble ces effectifs étant faibles, ces variations restent à considérer avec précaution.
Tableau PP1. Evolution du devenir des donneurs décédés en état de mort encéphalique mineurs au moment du recensement
Age |
Devenir |
2005 |
2006 |
2007 |
2008 |
2009 |
2010 |
2011 |
2012 |
2013 |
2014 |
2015 |
0 à 18 ans |
Recensés |
131 |
168 |
174 |
143 |
133 |
124 |
152 |
142 |
155 |
134 |
129 |
Prélevés |
48 |
65 |
87 |
55 |
52 |
59 |
72 |
61 |
57 |
55 |
53 |
|
Opposition |
58 |
60 |
49 |
51 |
45 |
46 |
48 |
50 |
60 |
51 |
52 |
|
Antécédents du donneur |
5 |
15 |
22 |
15 |
17 |
13 |
12 |
8 |
13 |
12 |
7 |
|
Incident médical |
18 |
24 |
14 |
22 |
17 |
5 |
18 |
23 |
25 |
12 |
15 |
|
Autres causes |
2 |
4 |
2 |
0 |
2 |
1 |
2 |
0 |
0 |
4 |
2 |
|
|
|
|
|
|
|
|
|
|
|
|
|
|
0 à 4 ans |
Recensés |
36 |
50 |
38 |
42 |
40 |
36 |
42 |
45 |
46 |
48 |
53 |
Prélevés |
13 |
11 |
10 |
12 |
8 |
10 |
15 |
15 |
13 |
11 |
16 |
|
Opposition |
13 |
17 |
14 |
14 |
7 |
16 |
11 |
16 |
18 |
23 |
22 |
|
Antécédents du donneur |
3 |
9 |
10 |
11 |
14 |
9 |
9 |
6 |
5 |
8 |
7 |
|
Incident médical |
6 |
12 |
4 |
5 |
10 |
1 |
7 |
8 |
10 |
6 |
7 |
|
Autres causes |
1 |
1 |
0 |
0 |
1 |
0 |
0 |
0 |
0 |
0 |
1 |
|
|
|
|
|
|
|
|
|
|
|
|
|
|
5 à 11 ans |
Recensés |
25 |
23 |
36 |
32 |
26 |
23 |
31 |
23 |
43 |
26 |
19 |
Prélevés |
7 |
13 |
17 |
12 |
10 |
13 |
14 |
11 |
15 |
10 |
5 |
|
Opposition |
14 |
7 |
7 |
11 |
12 |
7 |
8 |
10 |
17 |
12 |
12 |
|
Antécédents du donneur |
2 |
2 |
8 |
2 |
2 |
3 |
3 |
0 |
3 |
0 |
0 |
|
Incident médical |
2 |
0 |
2 |
7 |
1 |
0 |
5 |
2 |
8 |
2 |
1 |
|
Autres causes |
0 |
1 |
2 |
0 |
1 |
0 |
1 |
0 |
0 |
2 |
1 |
|
|
|
|
|
|
|
|
|
|
|
|
|
|
12 à 18 ans |
Recensés |
70 |
95 |
100 |
69 |
67 |
65 |
79 |
74 |
66 |
60 |
57 |
Prélevés |
28 |
41 |
60 |
31 |
34 |
36 |
43 |
35 |
29 |
34 |
32 |
|
Opposition |
31 |
36 |
28 |
26 |
26 |
23 |
29 |
24 |
25 |
16 |
18 |
|
Antécédents du donneur |
0 |
4 |
4 |
2 |
1 |
1 |
0 |
2 |
5 |
4 |
0 |
|
Incident médical |
10 |
12 |
8 |
10 |
6 |
4 |
6 |
13 |
7 |
4 |
7 |
|
Autres causes |
1 |
2 |
0 |
0 |
0 |
1 |
1 |
0 |
0 |
2 |
0 |
Données extraites de la base CRISTAL le 02/03/2016
Tableau PP2. Evolution des causes de décès des donneurs décédés en état de mort encéphalique mineurs au moment du recensement
| Age | Cause de décès |
2008 |
2009 |
2010 |
2011 |
2012 |
2013 |
2014 |
2015 |
0 à 18 ans |
Anoxie |
36 |
37 |
32 |
49 |
42 |
44 |
40 |
50 |
Traumatisme AVP |
45 |
41 |
37 |
47 |
40 |
47 |
44 |
30 |
|
Méningite |
8 |
5 |
10 |
10 |
5 |
10 |
4 |
8 |
|
Traumatisme NAVP |
22 |
17 |
14 |
15 |
26 |
21 |
15 |
23 |
|
Vasculaire |
17 |
20 |
20 |
17 |
14 |
21 |
19 |
9 |
|
Tumeur |
1 |
2 |
3 |
3 |
1 |
2 |
2 |
1 |
|
Intoxication |
3 |
0 |
2 |
2 |
1 |
1 |
1 |
0 |
|
Autre |
11 |
11 |
6 |
9 |
13 |
9 |
9 |
8 |
|
Manquant |
0 |
0 |
0 |
0 |
0 |
0 |
0 |
0 |
|
|
|||||||||
0 à 4 ans |
Anoxie |
18 |
13 |
12 |
18 |
14 |
17 |
20 |
22 |
Traumatisme AVP |
2 |
3 |
5 |
6 |
3 |
8 |
6 |
4 |
|
Méningite |
4 |
3 |
5 |
4 |
2 |
4 |
3 |
5 |
|
Traumatisme NAVP |
10 |
7 |
7 |
6 |
13 |
5 |
10 |
14 |
|
Vasculaire |
4 |
5 |
4 |
2 |
3 |
5 |
5 |
3 |
|
Tumeur |
0 |
0 |
0 |
1 |
0 |
2 |
1 |
1 |
|
Intoxication |
0 |
0 |
0 |
0 |
1 |
0 |
1 |
0 |
|
Autre |
4 |
9 |
3 |
5 |
9 |
5 |
2 |
4 |
|
Manquant |
0 |
0 |
0 |
0 |
0 |
0 |
0 |
0 |
|
|
|||||||||
5 à 11 ans |
Anoxie |
8 |
8 |
6 |
13 |
7 |
14 |
9 |
9 |
Traumatisme AVP |
5 |
9 |
5 |
6 |
8 |
9 |
7 |
4 |
|
Méningite |
2 |
1 |
1 |
2 |
2 |
2 |
1 |
1 |
|
Traumatisme NAVP |
4 |
4 |
5 |
2 |
2 |
6 |
1 |
2 |
|
Vasculaire |
5 |
4 |
3 |
5 |
3 |
9 |
6 |
1 |
|
Tumeur |
1 |
0 |
3 |
1 |
0 |
0 |
1 |
0 |
|
Intoxication |
1 |
0 |
0 |
0 |
0 |
1 |
0 |
0 |
|
Autre |
6 |
0 |
0 |
2 |
1 |
2 |
1 |
2 |
|
Manquant |
0 |
0 |
0 |
0 |
0 |
0 |
0 |
0 |
|
|
|||||||||
12 à 18 ans |
Anoxie |
10 |
16 |
14 |
18 |
21 |
13 |
11 |
19 |
Traumatisme AVP |
38 |
29 |
27 |
35 |
29 |
30 |
31 |
22 |
|
Méningite |
2 |
1 |
4 |
4 |
1 |
4 |
0 |
2 |
|
Traumatisme NAVP |
8 |
6 |
2 |
7 |
11 |
10 |
4 |
7 |
|
Vasculaire |
8 |
11 |
13 |
10 |
8 |
7 |
8 |
5 |
|
Tumeur |
0 |
2 |
0 |
1 |
1 |
0 |
0 |
0 |
|
Intoxication |
2 |
0 |
2 |
2 |
0 |
0 |
0 |
0 |
|
Autre |
1 |
2 |
3 |
2 |
3 |
2 |
6 |
2 |
|
Manquant |
0 |
0 |
0 |
0 |
0 |
0 |
0 |
0 |
|
AVP=accidente de la voie publique NAVP=non accidente de la voie publique
Greffe cardiaque pédiatrique
Résumé de l’activité
En 2015, 4% du total des candidats et des nouveaux inscrits en liste d’attente d’une greffe cardiaque, 4% des greffés, et, 8% des malades décédés en liste d’attente ont été inscrits sur la liste d’attente avant l’âge de 18 ans. Cinq pour cent (22/469) des greffes sont réalisées avec des greffons pédiatriques prélevés en France. Les activités d’inscription en liste d’attente et de greffe pédiatriques diminuent en 2015 respectivement de 43% et 28% par rapport à 2014.
Tableau Péd C1. Evolution de la liste d'attente et devenir des malades inscrits en liste d’attente de greffe cardiaque avant l'âge de 18 ans
|
2010 |
2011 |
2012 |
2013 |
2014 |
2015 |
2016 |
Liste d'attente |
|
|
|
|
|
|
|
- malades restant en attente au 1er janvier de chaque année |
9 |
9 |
11 |
11 |
9 |
12 |
10 |
dont malades en attente au 1er janvier et en CIT |
1 |
1 |
2 |
1 |
4 |
3 |
5 |
Part des malades en CIT parmi les malades en attente au 1er janvier |
11% |
11% |
18% |
9% |
44% |
25% |
50% |
- nouveaux inscrits dans l'année |
34 |
44 |
34 |
26 |
42 |
24 |
|
- décédés dans l'année |
6 |
4 |
8 |
7 |
7 |
6 |
|
- sortis de la liste d'attente |
4 |
1 |
3 |
1 |
7 |
2 |
|
- dont sortis de la liste d'attente pour aggravation |
2 |
1 |
1 |
0 |
1 |
0 |
|
Greffes |
24 |
37 |
23 |
20 |
25 |
18 |
|
Greffes (pmh) |
0,4 |
0,6 |
0,4 |
0,3 |
0,4 |
0,3 |
|
CIT : Contre indication temporaire / pmh : par million d'habitants
Données extraites de CRISTAL le 01/03/2016
Devenir des candidats en liste d’attente
En 2015, 24 nouveaux candidats à une greffe cardiaque de moins de 18 ans sont inscrits sur la liste d’attente. Avec un total de 36 candidats, la population totale des inscrits sur liste d’attente avant l’âge de 18 ans représente, en 2015, 4% des malades en attente de greffe cardiaque (36 sur 980). Parmi les 24 nouveaux malades inscrits en liste d’attente, 8 (33%) ont 5 ans ou moins et 16 (67%) ont plus de 5 ans. Les 5 ans et moins représentent 22% des malades inscrits en attente avant l’âge de 18 ans et greffés en 2015 mais 67% des malades pédiatriques décédés en attente dans l’année. Le nombre de nouveaux inscrits dans l’année diminue de 43% par rapport à 2014 et revient à son niveau de 2013. Soixante-quinze pour cent (18) des nouveaux inscrits en 2015 sont à l’inscription en Unité de Soins Intensifs, 50% (12) sont sous ventilation assistée invasive, 25% (6) sous ECMO, 17% (7) sous assistance ventriculaire et 71% (17) sous drogues inotropes par voie veineuse. Les cardiopathies congénitales sont pour la première fois depuis 2010 la plus fréquente des indications identifiées de nouvelle inscription sur la liste d’attente (38%) devant les cardiomyopathies dilatées qui sont la deuxième indication (33%). Le nombre de malades restant inscrits au 1er janvier fluctue autour de 10, 25% de ces malades étant en contre-indication temporaire le 1er janvier 2015.
Jusqu’à présent, l’accès à la greffe était évalué par la durée médiane d’attente estimée par la méthode de Kaplan Meier. Cet indicateur a été remplacé depuis 2014 par le taux d’incidence cumulée qui mesure la probabilité d’accès à la greffe en fonction de la durée d’attente en prenant en compte le risque concurrent de décès et de sortie de liste pour aggravation (voir chapitre « Greffes d’organes : Données générales et méthodes »). En effet, pour les malades inscrits en liste d’attente, l’accès à la greffe dépend du risque concurrent que représente le décès en liste d’attente et la sortie de liste pour aggravation. La probabilité de greffe et la probabilité de décès sur la liste d’attente ou de sortie de liste pour aggravation dépendent l’une de l’autre. Ainsi le risque de décès ou de sortie de liste pour aggravation est impacté par l’accès à la greffe. Cette méthode exprime ce qui est réellement observé pour les malades de la cohorte et permet d’évaluer le système de répartition des greffons. En revanche, cette méthode ne permet pas d’évaluer ce que serait le risque de décès en liste d’attente si la greffe n’existait pas puisque qu’en France, la majorité des candidats sont greffés dans l’année qui suit leur inscription.
La durée médiane d’attente globale pour la cohorte des malades inscrits en liste d’attente avant l’âge de 18 ans entre 2011 et 2015 est inférieure à 3 mois. L’incidence cumulée de greffe à 6 mois, calculée avec la méthode des risques concurrents, a augmenté entre les périodes 1995-1998 et 2011-2015, de 15% en passant de 49% à 64%, alors que la probabilité de décès ou de sortie de liste pour aggravation a baissé entre ces 2 périodes de 11% en passant de 31% à 20%. Cette évolution qui indique une baisse de la pénurie entre ces 2 périodes peut s’expliquer par la mise en place en 2005 d’une priorité pédiatrique avec une attribution prioritaire des greffons issus de donneurs de moins de 55 ans et de 50 kilogrammes aux candidats pédiatriques. Pour les malades inscrits en attente entre 2010 et 2015, la probabilité de greffe calculée avec la méthode des risques concurrents n’est pas significativement différente entre les candidats pédiatriques et les candidats adultes. En revanche, la probabilité de décès ou de sortie de liste pour aggravation calculée avec la même méthode est significativement supérieure chez les candidats pédiatriques par rapport aux candidats adultes (probabilité à 1 an de 22% pour les enfants versus 13% pour les adultes). La probabilité de greffe pour les candidats pédiatriques inscrits entre 2010 et 2015 varie selon l’âge à l’inscription avec une incidence cumulée de greffe plus basse pour les 5 ans et moins comparée au plus de 5 ans, alors même que la probabilité de décès ou de sortie de liste pour aggravation est plus élevée pour ces premiers que ces derniers. Cette difficulté d’accès à la greffe des petits s’explique par un faible nombre de donneurs décédés et prélevés d’un cœur dans cette tranche d’âge alors qu’il y a, pour les candidats de cette tranche d’âge, une nécessité d’appariement morphologique. La probabilité de décès ou de sortie de liste pour aggravation à 6 mois parmi les inscrits entre 2010 et 2015 avant l’âge de 2 ans est de 42% alors qu’elle est de 9% parmi la cohorte des 11-17 ans.
Tableau Péd C2. Evolution des principaux indicateurs de pénurie des malades inscrits en attente de greffe cardiaque avant l'âge de 18 ans
|
2010 |
2011 |
2012 |
2013 |
2014 |
2015 |
Nouveaux inscrits pour un greffon |
1,4 |
1,2 |
1,5 |
1,3 |
1,7 |
1,3 |
Receveurs en attente au 1er janvier pour un greffon |
0,4 |
0,2 |
0,5 |
0,6 |
0,4 |
0,7 |
Receveurs en attente au 1er janvier pour un greffon hors malade en CIT |
0,3 |
0,2 |
0,4 |
0,5 |
0,2 |
0,5 |
Total candidats pour un greffon |
1,8 |
1,4 |
2,0 |
1,9 |
2,0 |
2,0 |
CIT : Contre indication temporaire
Données extraites de CRISTAL le 01/03/2016
L’évolution de la pénurie peut être mesurée par :
- le nombre de receveurs en attente au 1er janvier de l’année pour un greffon (0,7 receveur début 2015 pour 1 greffon cardiaque utilisable) ;
- le nombre de nouveaux inscrits pour un greffon (1,3 inscrits pour un greffon utilisable) ;
- le nombre total de candidats pour un greffon (2 candidats pour un greffon utilisable dans l’année).
Tableau Péd C3. Caractéristiques démographiques des donneurs de cœur et des malades inscrits avant l'âge de 18 ans selon leur devenir en liste d'attente de greffe de coeur en 2015
Caractéristiques |
Greffons cardiaques greffés en 2015 |
Malades en attente au 1er janvier 2015 |
Nouveaux malades inscrits en 2015 |
Malades greffés en 2015 |
Malades décédés en 2015 |
Malades sortis de la liste pour aggravation en 2015 |
||||||
n |
% |
n |
% |
n |
% |
n |
% |
n |
% |
N |
% |
|
Age |
||||||||||||
0-2 ans |
1 |
5,6 |
3 |
25,0 |
5 |
20,8 |
2 |
11,1 |
2 |
33,3 |
0 |
0 |
3-5 ans |
3 |
16,7 |
2 |
16,7 |
3 |
12,5 |
0 |
0 |
2 |
33,3 |
0 |
0 |
6-10 ans |
1 |
5,6 |
4 |
33,3 |
6 |
25,0 |
6 |
33,3 |
0 |
0 |
0 |
0 |
11-17 ans |
2 |
11,1 |
3 |
25,0 |
10 |
41,7 |
9 |
50,0 |
2 |
33,3 |
0 |
0 |
18-29 ans |
5 |
27,8 |
0 |
0 |
0 |
0 |
1 |
5,6 |
0 |
0 |
0 |
0 |
30 ans et plus |
6 |
33,3 |
0 |
0 |
0 |
0 |
0 |
0 |
0 |
0 |
0 |
0 |
(m ± ds, ans) |
22,4 |
14,4 |
8,7 |
5,6 |
9,0 |
5,9 |
12,1 |
5,0 |
5,9 |
5,1 |
. |
. |
Sexe |
||||||||||||
Masculin |
10 |
55,6 |
8 |
66,7 |
17 |
70,8 |
13 |
72,2 |
3 |
50,0 |
0 |
0 |
Féminin |
8 |
44,4 |
4 |
33,3 |
7 |
29,2 |
5 |
27,8 |
3 |
50,0 |
0 |
0 |
Groupe sanguin |
||||||||||||
A |
4 |
22,2 |
4 |
33,3 |
6 |
25,0 |
5 |
27,8 |
2 |
33,3 |
0 |
0 |
AB |
0 |
0 |
0 |
0 |
0 |
0 |
0 |
0 |
0 |
0 |
0 |
0 |
B |
0 |
0 |
1 |
8,3 |
0 |
0 |
0 |
0 |
0 |
0 |
0 |
0 |
O |
14 |
77,8 |
7 |
58,3 |
18 |
75,0 |
13 |
72,2 |
4 |
66,7 |
0 |
0 |
Total |
18 |
100,0 |
12 |
100,0 |
24 |
100,0 |
18 |
100,0 |
6 |
100,0 |
0 |
. |
na=non applicable / (m ± ds,ans): moyenne ± déviation standard
Données extraites de CRISTAL le 01/03/2016
Tableau Péd C4. Caractéristiques des malades inscrits avant l'âge de 18 ans selon leur devenir en liste d'attente de greffe de coeur en 2015
Caractéristiques |
Malades en attente au 1er janvier 2015 |
Nouveaux malades inscrits en 2015 |
Malades greffés en 2015 |
Malades décédés en 2015 |
Malades sortis de la liste pour aggravation en 2015 |
|||||
n |
% |
n |
% |
n |
% |
n |
% |
n |
% |
|
Lieu de prise en charge médicale |
||||||||||
Domicile |
6 |
50,0 |
3 |
12,5 |
3 |
16,7 |
0 |
0,0 |
0 |
0,0 |
Hôpital |
2 |
16,7 |
2 |
8,3 |
2 |
11,1 |
0 |
0,0 |
0 |
0,0 |
USI |
4 |
33,3 |
18 |
75,0 |
12 |
66,7 |
6 |
100,0 |
0 |
0,0 |
Données manquantes |
0 |
0,0 |
1 |
4,2 |
1 |
5,6 |
0 |
0,0 |
0 |
0,0 |
Retransplantation |
||||||||||
Oui |
0 |
0,0 |
0 |
0,0 |
0 |
0,0 |
0 |
0,0 |
0 |
0,0 |
Non |
12 |
100,0 |
24 |
100,0 |
18 |
100,0 |
6 |
100,0 |
0 |
0,0 |
Ventilation assistée invasive |
||||||||||
Oui |
3 |
25,0 |
12 |
50,0 |
3 |
16,7 |
5 |
83,3 |
0 |
0,0 |
Non |
7 |
58,3 |
11 |
45,8 |
14 |
77,8 |
1 |
16,7 |
0 |
0,0 |
Données manquantes |
2 |
16,7 |
1 |
4,2 |
1 |
5,6 |
0 |
0,0 |
0 |
0,0 |
Assistance ventriculaire ou cœur artificiel |
||||||||||
Oui |
1 |
8,3 |
4 |
16,7 |
4 |
22,2 |
1 |
16,7 |
0 |
0,0 |
Non |
11 |
91,7 |
19 |
79,2 |
13 |
72,2 |
5 |
83,3 |
0 |
0,0 |
Données manquantes |
0 |
0,0 |
1 |
4,2 |
1 |
5,6 |
0 |
0,0 |
0 |
0,0 |
Circulation extra corporelle |
||||||||||
Oui |
1 |
8,3 |
6 |
25,0 |
4 |
22,2 |
2 |
33,3 |
0 |
0,0 |
Non |
11 |
91,7 |
17 |
70,8 |
13 |
72,2 |
4 |
66,7 |
0 |
0,0 |
Données manquantes |
0 |
0,0 |
1 |
4,2 |
1 |
5,6 |
0 |
0,0 |
0 |
0,0 |
Drogues inotropes |
||||||||||
Oui |
3 |
25,0 |
17 |
70,8 |
8 |
44,4 |
5 |
83,3 |
0 |
0,0 |
Non |
9 |
75,0 |
6 |
25,0 |
9 |
50,0 |
1 |
16,7 |
0 |
0,0 |
Données manquantes |
0 |
0,0 |
1 |
4,2 |
1 |
5,6 |
0 |
0,0 |
0 |
0,0 |
Dialyse |
||||||||||
Oui |
0 |
0,0 |
0 |
0,0 |
2 |
11,1 |
0 |
0,0 |
0 |
0,0 |
Non |
12 |
100,0 |
23 |
95,8 |
15 |
83,3 |
6 |
100,0 |
0 |
0,0 |
Données manquantes |
0 |
0,0 |
1 |
4,2 |
1 |
5,6 |
0 |
0,0 |
0 |
0,0 |
Créatinémie |
||||||||||
<60 µmol/l |
8 |
66,7 |
14 |
58,3 |
8 |
44,4 |
2 |
33,3 |
0 |
0,0 |
60-119 µmol/l |
2 |
16,7 |
8 |
33,3 |
6 |
33,3 |
4 |
66,7 |
0 |
0,0 |
120-199 µmol/l |
0 |
0,0 |
0 |
0,0 |
0 |
0,0 |
0 |
0,0 |
0 |
0,0 |
>=200 µmol/l |
0 |
0,0 |
0 |
0,0 |
0 |
0,0 |
0 |
0,0 |
0 |
0,0 |
Données manquantes |
2 |
16,7 |
2 |
8,3 |
3 |
16,7 |
0 |
0,0 |
0 |
0,0 |
Bilirubine |
||||||||||
<35 µmol/l |
11 |
91,7 |
18 |
75,0 |
15 |
83,3 |
3 |
50,0 |
0 |
0,0 |
35-49 µmol/l |
0 |
0,0 |
1 |
4,2 |
0 |
0,0 |
1 |
16,7 |
0 |
0,0 |
>=50 µmol/l |
0 |
0,0 |
4 |
16,7 |
0 |
0,0 |
2 |
33,3 |
0 |
0,0 |
Données manquantes |
1 |
8,3 |
1 |
4,2 |
4 |
22,2 |
0 |
0,0 |
0 |
0,0 |
Diabète à l’inscription |
||||||||||
Oui |
0 |
0,0 |
0 |
0,0 |
0 |
0,0 |
0 |
0,0 |
0 |
0,0 |
Non |
12 |
100,0 |
23 |
95,8 |
18 |
100,0 |
6 |
100,0 |
0 |
0,0 |
Données manquantes |
0 |
0,0 |
1 |
4,2 |
0 |
0,0 |
0 |
0,0 |
0 |
0,0 |
Total |
12 |
100,0 |
24 |
100,0 |
18 |
100,0 |
6 |
100,0 |
0 |
. |
Données extraites de CRISTAL le 01/03/2016
Tableau Péd C5. Evolution du nombre de nouveaux malades pédiatriques en attente d'une greffe de coeur selon l'indication
|
2010 |
2011 |
2012 |
2013 |
2014 |
2015 |
||||||
N |
% |
N |
% |
N |
% |
N |
% |
N |
% |
N |
% |
|
Autres ou indéterminées |
2 |
5,9 |
0 |
0,0 |
1 |
2,9 |
0 |
0,0 |
1 |
2,4 |
0 |
0,0 |
Cardiomyopathies dilatées |
15 |
44,1 |
23 |
52,3 |
19 |
55,9 |
15 |
57,7 |
22 |
52,4 |
8 |
33,3 |
Cardiopathies hypertrophiques et restrictives |
5 |
14,7 |
6 |
13,6 |
2 |
5,9 |
2 |
7,7 |
8 |
19,0 |
2 |
8,3 |
Chirurgies thoraciques antérieures |
3 |
8,8 |
7 |
15,9 |
2 |
5,9 |
2 |
7,7 |
4 |
9,5 |
5 |
20,8 |
Maladies congénitales |
9 |
26,5 |
8 |
18,2 |
10 |
29,4 |
7 |
26,9 |
5 |
11,9 |
9 |
37,5 |
Retransplantations |
0 |
0,0 |
0 |
0,0 |
0 |
0,0 |
0 |
0,0 |
2 |
4,8 |
0 |
0,0 |
Total |
34 |
100,0 |
44 |
100,0 |
34 |
100,0 |
26 |
100,0 |
42 |
100,0 |
24 |
100,0 |
Données extraites de CRISTAL le 01/03/2016
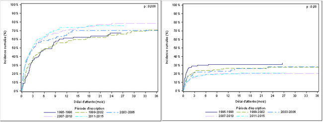
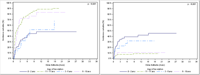
Figure Péd C1. Taux d'incidence cumulée de greffe et de décès ou de sortie de liste pour aggravation des nouveaux inscrits avant l’âge de 18 ans en attente de greffe cardiaque selon la période d'inscription (1995-2015)
|
Incidence cumulée des greffes avec prise en compte du risque concurrent de décès en attente ou sorties pour aggravation |
|||||
Période d'inscription |
N |
à 3 mois |
à 6 mois |
à 12 mois |
à 24 mois |
à 36 mois |
1995-1998 |
130 |
37 [28-45] |
49 [40-58] |
62 [53-71] |
NC |
NC |
1999-2002 |
133 |
39 [30-47] |
50 [41-58] |
58 [48-66] |
66 [56-74] |
72 [63-80] |
2003-2006 |
113 |
50 [40-59] |
60 [49-68] |
67 [57-75] |
NC |
NC |
2007-2010 |
127 |
49 [40-57] |
62 [53-70] |
72 [63-79] |
NC |
NC |
2011-2015 |
170 |
52 [44-60] |
64 [56-71] |
75 [67-81] |
NC |
NC |
|
Incidence cumulée des décès en attente ou sorties pour aggravation avec prise en compte du risque concurrent de greffe |
|||||
Période d'inscription |
N |
à 3 mois |
à 6 mois |
à 12 mois |
à 24 mois |
à 36 mois |
1995-1998 |
130 |
30 [22-38] |
31 [23-39] |
33 [23-42] |
33 [23-42] |
NC |
1999-2002 |
133 |
22 [16-30] |
25 [18-32] |
28 [20-36] |
NC |
NC |
2003-2006 |
113 |
23 [15-31] |
23 [15-31] |
24 [17-33] |
30 [20-40] |
30 [20-40] |
2007-2010 |
127 |
17 [11-24] |
20 [14-28] |
NC |
NC |
NC |
2011-2015 |
170 |
18 [12-24] |
20 [14-27] |
21 [15-28] |
NC |
NC |
NC=Non calculable / IC : Intervalle de confiance
Données extraites de CRISTAL le 01/03/2016
Après 1 an d’attente, les malades pédiatriques inscrits entre 2011 et 2015 ont 75% de chance d’être greffés et 21% de risque de décéder en liste d’attente.
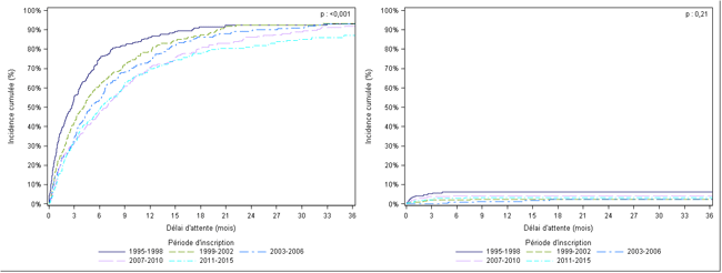
Figure Péd C2. Taux d'incidence cumulée de greffe et de décès ou de sortie de liste pour aggravation des nouveaux inscrits avant l’âge de 18 ans en attente de greffe cardiaque selon la période d'inscription (2010-2015)
|
Incidence cumulée des greffes avec prise en compte du risque concurrent de décès en attente ou sorties pour aggravation |
|||||
Age à l'inscription |
N |
à 3 mois |
à 6 mois |
à 12 mois |
à 24 mois |
à 36 mois |
Inscrits adultes |
3041 |
46 [44-48] |
57 [55-59] |
67 [66-69] |
75 [73-76] |
78 [76-80] |
Inscrits pédiatriques |
204 |
50 [43-57] |
63 [56-70] |
74 [67-80] |
NC |
NC |
|
Incidence cumulée des décès en attente ou sorties pour aggravation avec prise en compte du risque concurrent de greffe |
|||||
Age à l'inscription |
N |
à 3 mois |
à 6 mois |
à 12 mois |
à 24 mois |
à 36 mois |
Inscrits adultes |
3041 |
9 [8-10] |
11 [10-12] |
13 [12-14] |
15 [14-16] |
16 [15-17] |
Inscrits pédiatriques |
204 |
18 [13-23] |
20 [15-26] |
22 [16-28] |
NC |
NC |
NC=Non calculable / IC : Intervalle de confiance
Données extraites de CRISTAL le 01/03/2016
Après 1 an d’attente, les malades pédiatriques inscrits entre 2010 et 2015 ont 74% de chance d’être greffés. Le risque de décès en liste d’attente est significativement plus élevé chez les malades pédiatriques que chez les adultes (22% à 1 an versus 13% chez les adultes).
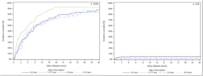
Figure Péd C3. Taux d'incidence cumulée de greffe et de décès ou de sortie de liste pour aggravation des nouveaux inscrits en attente de greffe cardiaque selon l'âge à l'inscription (2010-2015)
|
Incidence cumulée des greffes avec prise en compte du risque concurrent de décès en attente ou sorties pour aggravation |
|||||
Age à l'inscription |
N |
à 3 mois |
à 6 mois |
à 12 mois |
à 24 mois |
à 36 mois |
0 - 2 ans |
56 |
33 [21-46] |
42 [28-56] |
NC |
NC |
NC |
3 - 5 ans |
22 |
23 [8-42] |
46 [24-66] |
68 [19-91] |
NC |
NC |
6 - 10 ans |
30 |
76 [53-89] |
76 [53-89] |
NC |
NC |
NC |
11 - 17 ans |
96 |
62 [51-71] |
79 [69-86] |
90 [81-95] |
NC |
NC |
|
Incidence cumulée des décès en attente ou sorties pour aggravation avec prise en compte du risque concurrent de greffe |
|||||
Age à l'inscription |
N |
à 3 mois |
à 6 mois |
à 12 mois |
à 24 mois |
à 36 mois |
0 - 2 ans |
56 |
37 [24-50] |
42 [28-56] |
46 [30-60] |
NC |
NC |
3 - 5 ans |
22 |
27 [11-47] |
NC |
NC |
NC |
NC |
6 - 10 ans |
30 |
NC |
NC |
NC |
NC |
NC |
11 - 17 ans |
96 |
9 [4-16] |
9 [4-16] |
NC |
NC |
NC |
NC=Non calculable / IC : Intervalle de confiance
Données extraites de CRISTAL le 01/03/2016
Après 6 mois d’attente, les malades pédiatriques inscrits entre 2010 et 2015 de plus de 6 ans ont un taux de greffe plus important que les très jeunes enfants (79% pour les 11-17 ans, 76% pour les 6-10 ans et 46% pour les 3-5 ans). Les malades inscrits durant cette période et âgés de 0 à 2 ans ont un fort taux de décès dès 6 mois suivant leur inscription sur la liste d’attente. Néanmoins, les effectifs faibles conduisent à une interprétation prudente de ces résultats.
Prélèvement en vue de greffe
En 2015, 7% (34 sur 511) des donneurs décédés et prélevés d’un cœur en France ont moins de 18 ans. Parmi les 34 greffons cardiaques pédiatriques prélevés en France, 4 ne sont pas greffés, 22 sont greffés en France et 8 sont greffés à l’étranger. Parmi les 22 greffons pédiatriques prélevés et greffés en France, 7 (32%) le sont à des enfants et 15 (68%) à des adultes. Aucun greffon pédiatrique prélevé à l’étranger n’a été greffé en France. Parmi les 22 donneurs pédiatriques résidant en France dont le greffon cardiaque est greffé en France, 4 (18%) ont moins de 5 ans et 18 (82%) ont plus de 5 ans. Le nombre de donneurs pédiatriques prélevés d’un greffon cardiaque en France en 2015 est identique à celui de 2014 dans un contexte d’augmentation d’ensemble du nombre de donneurs prélevés d’un greffon cardiaque de 13%. Ainsi, la proportion des donneurs pédiatriques parmi l’ensemble des donneurs de greffon cardiaque a diminué de 8% à 7%.
Parmi les 17 enfants inscrits et greffés avant l’âge de 18 ans avec un greffon prélevé en France, 10 (59%) reçoivent un greffon adulte et 7 (41%) un greffon pédiatrique.
Tableau Péd C6. Evolution du nombre de donneurs décédés et prélevés d'un greffon cardiaque en France selon l'âge du donneur
| Année de prélèvement | Donneurs pédiatriques |
Donneurs adultes |
1993 |
44 |
452 |
1994 |
42 |
372 |
1995 |
51 |
342 |
1996 |
68 |
458 |
1997 |
61 |
395 |
1998 |
53 |
457 |
1999 |
40 |
381 |
2000 |
31 |
383 |
2001 |
32 |
341 |
2002 |
32 |
349 |
2003 |
24 |
299 |
2004 |
24 |
338 |
2005 |
19 |
376 |
2006 |
30 |
391 |
2007 |
41 |
352 |
2008 |
23 |
366 |
2009 |
24 |
356 |
2010 |
25 |
351 |
2011 |
37 |
397 |
2012 |
30 |
405 |
2013 |
32 |
405 |
2014 |
34 |
418 |
2015 |
34 |
477 |
Ce tableau comprend tous les greffons prélevés en France (y compris les non greffés)
Données extraites de CRISTAL le 01/03/2016
Tableau Péd C7. Evolution du nombre de greffons cardiaques pédiatriques prélevés en France et greffés selon l'âge du donneur
| Année de prélèvement | 0 - 2 ans |
3 - 5 ans |
6 - 10 ans |
11 - 17 ans |
1993 |
6 |
2 |
3 |
31 |
1994 |
4 |
1 |
7 |
30 |
1995 |
8 |
1 |
6 |
36 |
1996 |
4 |
1 |
11 |
39 |
1997 |
3 |
1 |
3 |
38 |
1998 |
6 |
2 |
5 |
27 |
1999 |
2 |
3 |
2 |
24 |
2000 |
2 |
0 |
4 |
18 |
2001 |
5 |
3 |
1 |
21 |
2002 |
0 |
4 |
2 |
20 |
2003 |
3 |
0 |
3 |
15 |
2004 |
2 |
0 |
3 |
17 |
2005 |
6 |
0 |
1 |
9 |
2006 |
7 |
2 |
2 |
14 |
2007 |
3 |
2 |
2 |
32 |
2008 |
4 |
2 |
1 |
16 |
2009 |
2 |
3 |
0 |
18 |
2010 |
1 |
3 |
4 |
15 |
2011 |
9 |
3 |
5 |
20 |
2012 |
3 |
3 |
4 |
18 |
2013 |
6 |
1 |
6 |
16 |
2014 |
6 |
1 |
4 |
21 |
2015 |
7 |
3 |
3 |
17 |
Ce tableau comprend tous les greffons prélevés en France et greffés (y compris les greffons greffés à l'étranger).
Données extraites de CRISTAL le 01/03/2016
Tableau Péd C8. Age des donneurs prélevés d’un greffon cardiaque et greffé en France en 2015 selon l'âge du receveur au moment de la greffe
| Age du donneur | Age du receveur |
Total |
|||||
0-2 ans |
6-10 ans |
11-17 ans |
18-29 ans |
30-59 ans |
60 ans et plus |
||
0-2 ans |
1 |
0 |
0 |
0 |
0 |
0 |
1 |
3-5 ans |
1 |
2 |
0 |
0 |
0 |
0 |
3 |
6-10 ans |
0 |
1 |
0 |
0 |
0 |
0 |
1 |
11-17 ans |
0 |
1 |
1 |
2 |
9 |
4 |
17 |
18-29 ans |
0 |
1 |
3 |
9 |
51 |
13 |
77 |
30-59 ans |
0 |
1 |
5 |
19 |
194 |
76 |
295 |
60 ans et plus |
0 |
0 |
0 |
1 |
51 |
23 |
75 |
Total |
2 |
6 |
9 |
31 |
305 |
116 |
469 |
Ce tableau comprend les greffons prélevés en France et greffés en France.
Données extraites de CRISTAL le 01/03/2016
En 2015, 8 greffons cardiaques pédiatriques et un greffon adulte ont été prélevés en France et greffés à l’étranger (non inclus dans le tableau).
Deux greffons adultes ont été prélevés à l’étranger et greffés en France (non inclus dans le tableau).
Pour retrouver le nombre total de greffes réalisées en France (471), il faut ajouter au nombre du tableau les cœurs prélevés à l'étranger et greffés en France (2).
Quatre greffons pédiatriques ont été prélevés en France et non greffés.
Activité de greffe
L’activité de greffe cardiaque pédiatrique diminue en 2015 par rapport à 2014 de 28% pour revenir à son niveau historiquement bas de 2013 (0,3 greffe par million d’habitants). Cette évolution a lieu alors que le nombre de nouveaux inscrits en liste d’attente est en baisse de 43%. En 2015, le niveau de pénurie est ainsi légèrement plus bas qu’en 2014 (2 candidats pour 1 greffon en 2015 contre 2,04 en 2014). La mise en place de la priorité nationale pédiatrique en 2005 avec une attribution préférentielle des greffons de donneurs de moins de 55 ans et 50 kilogrammes aux candidats pédiatriques permet d’avoir un niveau de pénurie parmi les malades inscrits avant l’âge de 18 ans légèrement inférieur à celui de la cohorte globale (2,1 candidats pour un greffon). En 2015, la fréquence des décès et sorties de liste d’attente pour aggravation est de 17% en légère augmentation par rapport à 2014 (16%). Les décès pédiatriques représentent 8% de l’ensemble des décès en liste d’attente (6 sur 78). Le devenir des malades inscrits avant l’âge de 6 ans est de ce point de vue très différent de celui des candidats pédiatriques inscrits après 5 ans puisque ces premiers qui représentent 36% des candidats pédiatriques, représentent 67% des décès en liste d’attente. Cette situation s’explique à la fois par le faible nombre de greffons cardiaques prélevés dans cette tranche d’âge (4, soit 18% des greffons pédiatriques prélevés et greffés en France) et par l’absence d’assistance circulatoire mécanique de longue durée disponible pour les patients de cette tranche d’âge.
Parmi les 11 équipes qui effectuent au moins une greffe en 2015 chez des malades inscrits en attente avant l’âge de 18 ans, 5 ont une autorisation pour la greffe cardiaque pédiatrique et 6 ont bénéficié d’une dérogation. Les centres pédiatriques réalisent 61% des greffes pédiatriques.
Les cardiopathies les plus fréquentes conduisant à la greffe sont les cardiomyopathies (56%) et les cardiopathies congénitales (28%).
Tableau Péd C9. Evolution de l'activité de greffe cardiaque chez les malades inscrits avant l'âge de 18 ans selon l'âge au moment de la greffe
| Année de greffe | 0-17 ans au moment de la greffe |
18 ans et plus au moment de la greffe |
1995 |
19 |
1 |
1996 |
20 |
0 |
1997 |
18 |
1 |
1998 |
9 |
0 |
1999 |
22 |
2 |
2000 |
23 |
1 |
2001 |
24 |
0 |
2002 |
13 |
0 |
2003 |
16 |
1 |
2004 |
17 |
2 |
2005 |
17 |
1 |
2006 |
19 |
1 |
2007 |
20 |
2 |
2008 |
20 |
1 |
2009 |
22 |
3 |
2010 |
22 |
2 |
2011 |
36 |
1 |
2012 |
23 |
0 |
2013 |
20 |
0 |
2014 |
24 |
1 |
2015 |
17 |
1 |
Ce tableau comprend les greffons prélevés en France et greffés en France.
Données extraites de CRISTAL le 01/03/2016
Tableau Péd C10. Evolution du nombre de greffés pédiatriques de cœur selon l'indication
|
2010 |
2011 |
2012 |
2013 |
2014 |
2015 |
||||||
N |
% |
N |
% |
N |
% |
N |
% |
N |
% |
N |
% |
|
Autres ou indéterminées |
2 |
8,3 |
0 |
0,0 |
0 |
0,0 |
0 |
0,0 |
1 |
4,0 |
0 |
0,0 |
Cardiomyopathies dilatées |
14 |
58,3 |
20 |
54,1 |
14 |
60,9 |
10 |
50,0 |
12 |
48,0 |
7 |
38,9 |
Cardiopathies hypertrophiques et restrictives |
2 |
8,3 |
7 |
18,9 |
1 |
4,3 |
2 |
10,0 |
6 |
24,0 |
3 |
16,7 |
Chirurgies thoraciques antérieures |
3 |
12,5 |
6 |
16,2 |
1 |
4,3 |
1 |
5,0 |
1 |
4,0 |
3 |
16,7 |
Maladies congénitales |
3 |
12,5 |
4 |
10,8 |
7 |
30,4 |
7 |
35,0 |
3 |
12,0 |
5 |
27,8 |
Retransplantations |
0 |
0,0 |
0 |
0,0 |
0 |
0,0 |
0 |
0,0 |
2 |
8,0 |
0 |
0,0 |
Total |
24 |
100,0 |
37 |
100,0 |
23 |
100,0 |
20 |
100,0 |
25 |
100,0 |
18 |
100,0 |
Données extraites de CRISTAL le 01/03/2016
Parmi les indications conduisant à la greffe cardiaque pédiatrique en 2015, les cardiomyopathies dilatées concernent 39% des greffés, les cardiomyopathies hypertrophiques et restrictives 17%, et les maladies congénitales 28%. Dix-sept pourcents des greffés ont eu une chirurgie thoracique antérieure. Les effectifs étant faibles, ces proportions varient d’une année sur l’autre.
Tableau Péd C11. Nombre de greffes cardiaques effectuées en 2015 par équipe chez des malades inscrits avant l'âge de 18 ans
|
Receveurs âgés de moins de 18 ans au moment de la greffe |
Receveurs âgés de plus de 18 ans au moment de la greffe |
Bordeaux (A+P) |
2 |
0 |
Le Plessis-Robinson Marie-Lannelongue (A+P) |
0 |
0 |
Lyon I (HCL) (A+P) |
4 |
0 |
Marseille Timone enfants (APM) (P) |
3 |
0 |
Nancy (A) |
1 |
0 |
Nantes (A+P) |
1 |
0 |
Paris Georges Pompidou (AP-HP) (A) |
1 |
0 |
Paris Necker Enfants Malades (AP-HP) (P) |
1 |
0 |
Paris Pitié-Salpêtrière (AP-HP) (A) |
1 |
0 |
Strasbourg (A) |
0 |
1 |
Toulouse (A) |
1 |
0 |
Tours (A) |
2 |
0 |
Total |
17 |
1 |
Données extraites de CRISTAL le 01/03/2016
En 2015, 11 équipes ont réalisé de 1 à 4 greffes cardiaques pédiatriques.
Au total, 6 équipes sont autorisées à réaliser des greffes pédiatriques cardiaques.
Tableau Péd C12. Evolution du nombre de greffes cardiaques par équipe chez des malades inscrits avant l'âge de 18 ans
|
2010 |
2011 |
2012 |
2013 |
2014 |
2015 |
Bordeaux (A+P) |
0 |
6 |
5 |
2 |
1 |
2 |
Grenoble (A) |
0 |
0 |
0 |
0 |
1 |
0 |
Le Plessis-Robinson Marie-Lannelongue (A+P) |
3 |
2 |
3 |
5 |
3 |
0 |
Lille (A) |
1 |
2 |
0 |
0 |
1 |
0 |
Lyon I (HCL) (A+P) |
7 |
8 |
4 |
1 |
4 |
4 |
Marseille Timone adultes (APM) (A) |
1 |
0 |
0 |
0 |
0 |
0 |
Marseille Timone enfants (APM) (P) |
3 |
6 |
0 |
2 |
1 |
3 |
Montpellier (A) |
1 |
0 |
0 |
0 |
0 |
0 |
Nancy (A) |
0 |
2 |
2 |
0 |
0 |
1 |
Nantes (A+P) |
0 |
1 |
1 |
0 |
3 |
1 |
Paris Bichat (AP-HP) (A) |
0 |
0 |
0 |
0 |
1 |
0 |
Paris Georges Pompidou (AP-HP) (A) |
0 |
2 |
0 |
0 |
0 |
1 |
Paris Necker Enfants Malades (AP-HP) (P) |
2 |
5 |
6 |
5 |
4 |
1 |
Paris Pitié-Salpêtrière (AP-HP) (A) |
2 |
0 |
0 |
2 |
3 |
1 |
Rennes (A) |
1 |
0 |
1 |
0 |
1 |
0 |
Rouen (A) |
1 |
1 |
0 |
0 |
1 |
0 |
Strasbourg (A) |
1 |
1 |
1 |
1 |
0 |
1 |
Toulouse (A) |
0 |
0 |
0 |
1 |
0 |
1 |
Tours (A) |
1 |
1 |
0 |
1 |
1 |
2 |
France |
24 |
37 |
23 |
20 |
25 |
18 |
Données extraites de CRISTAL le 01/03/2016
Survie post greffe
La survie des receveurs pédiatriques après greffe cardiaque n’est pas significativement différente selon l’âge à l’inscription bien qu’elle tende à être meilleure pour les 0-2 ans et les 11-17 ans que pour les 3-10 ans. Le taux de survie à 1 an est de 77% pour les 0-2 ans, 80% pour les 11-17 ans et 71% pour les 3-10 ans. La survie 1 an après greffe des receveurs pédiatriques s’est améliorée de 20% depuis la période 1985-1995 avec un taux de survie de 88% pour les malades opérés entre 2006 et 2014 et de 68% pour ceux opérés entre 1985 et 1995.
Figure Péd C4. Survie du receveur pédiatrique après greffe cardiaque selon l'âge à l'inscription (1985-juin 2014)
Age à l'inscription |
N |
Survie à 1 mois |
Survie à 1 an |
Survie à 5 ans |
Survie à 10 ans |
Survie à 15 ans |
Médiane de |
0 - 2 ans |
126 |
86,4% |
76,8% |
68,9% |
56,1% |
53,4% |
223,9 |
nombre de sujets à risque* |
|
108 |
96 |
66 |
42 |
31 |
|
3 - 5 ans |
49 |
79,6% |
71,4% |
66,0% |
58,9% |
NO |
136,0 |
nombre de sujets à risque* |
|
39 |
35 |
21 |
14 |
7 |
|
6 - 10 ans |
95 |
76,2% |
71,8% |
64,1% |
53,9% |
NO |
146,2 |
nombre de sujets à risque* |
|
70 |
64 |
44 |
24 |
15 |
|
11 - 17 ans |
355 |
88,6% |
79,8% |
69,2% |
58,2% |
49,9% |
177,8 |
nombre de sujets à risque* |
|
311 |
276 |
185 |
116 |
74 |
|
[] : Intervalle de confiance
NO : non observable
* : Nombre de malades restant à observer pour chaque temps et pour lesquels aucun évènement n'est survenu
Données extraites de CRISTAL le 01/03/2016
Un an après la greffe, le taux de survie des malades pédiatriques greffés d’un cœur entre 1985 et juin 2014 varie de 71% à 80% selon l’âge des receveurs.
Figure Péd C5. Survie du receveur pédiatrique après greffe cardiaque selon la période de greffe (1985-juin 2014)
| Période de greffe | N |
Survie à 1 mois |
Survie à 1 an |
Survie à 5 ans |
Survie à 10 ans |
Survie à 15 ans |
Médiane de |
1985-1995 |
234 |
79,4% |
67,7% |
58,2% |
46,1% |
38,7% |
102,6 |
nombre de sujets à risque* |
|
184 |
157 |
135 |
106 |
87 |
|
1996-2005 |
180 |
84,4% |
77,8% |
65,5% |
57,5% |
52,8% |
NO |
nombre de sujets à risque* |
|
152 |
140 |
117 |
90 |
40 |
|
2006-juin 2014 |
211 |
93,7% |
87,8% |
83,2% |
NO |
NO |
NO |
nombre de sujets à risque* |
|
192 |
174 |
64 |
0 |
0 |
|
[] : Intervalle de confiance
NO : non observable
* : Nombre de malades restant à observer pour chaque temps et pour lesquels aucun évènement n'est survenu
Données extraites de CRISTAL le 01/03/2016
Un an après la greffe, le taux de survie des malades pédiatriques greffés d’un cœur entre 2006 et juin 2014 était de 88%.
Conclusion
Les principales caractéristiques de la greffe cardiaque pédiatrique cette année sont :
- un nombre de nouveaux inscrits sur la liste d’attente en baisse de 43% et un nombre de greffes en baisse de 28% par rapport à 2014
- un nombre de donneurs pédiatriques prélevés d’un cœur stable par rapport à 2014
- une durée médiane d’attente inférieure à 3 mois pour la cohorte 2011-2015
- une probabilité de décès ou de sortie de liste pour aggravation significativement plus élevée pour les candidats pédiatriques que pour les candidats adultes inscrits entre 2010 et 2015 (22% à 12 mois versus 13%)
- une difficulté d’accès à la greffe spécifique aux 0-5 ans
- une priorité pédiatrique effective avec 59% des greffes pédiatriques effectuées avec des greffons de donneurs adultes pour les greffes effectuées avec des greffons prélevés en France
- une amélioration significative de la survie 1 an et 5 ans après la greffe (respectivement 88% et 83% pour la cohorte 2006-2014).
Greffe pulmonaire et cardio-pulmonaire pédiatrique
Résumé de l’activité
En 2015, 16% du total des candidats à une greffe cardio-pulmonaire, 23% des nouveaux inscrits en attente et 25% des greffés cœur-poumons ont été inscrits sur la liste d’attente avant l’âge de 18 ans. En 2015, 4% du total des candidats à une greffe pulmonaire, 3% des nouveaux inscrits en attente et 4% des greffés ont été inscrits sur la liste d’attente avant l’âge de 18 ans. Quatre pour cent (14/353) des greffes cardio-pulmonaires et pulmonaires sont réalisées avec des greffons pédiatriques prélevés en France. Les activités d’inscription en liste d’attente et de greffe cardio-pulmonaire pédiatriques restent extrêmement faibles comme en 2014. Les activités d’inscription en liste d’attente et de greffe pulmonaire pédiatriques sont en baisse respectivement de 8% et de 19% par rapport à 2014.
Tableau Péd PCP1a. Evolution de la liste d'attente et devenir des malades inscrits en attente de greffe cardio-pulmonaire avant l'âge de 18 ans
|
2010 |
2011 |
2012 |
2013 |
2014 |
2015 |
2016 |
Liste d'attente |
|
|
|
|
|
|
|
- malades restant en attente au 1er janvier de chaque année |
7 |
5 |
5 |
3 |
4 |
2 |
2 |
dont malades en attente au 1er janvier et en CIT |
2 |
4 |
1 |
1 |
1 |
1 |
1 |
% des malades en CIT parmi les malades en attente au 1er janvier |
29% |
80% |
20% |
33% |
25% |
50% |
50% |
- nouveaux inscrits dans l'année |
2 |
3 |
2 |
2 |
2 |
3 |
|
- décédés dans l'année |
1 |
0 |
0 |
0 |
1 |
0 |
|
- sortis de la liste d'attente |
1 |
1 |
0 |
0 |
0 |
1 |
|
- dont sortis de la liste d'attente pour aggravation |
0 |
0 |
0 |
0 |
0 |
1 |
|
Greffes |
2 |
2 |
4 |
1 |
3 |
2 |
|
CIT : contre indication temporaire
Données extraites de CRISTAL le 01/03/2016
Tableau Péd PCP1b. Evolution de la liste d'attente et devenir des malades inscrits en attente de greffe pulmonaire avant l'âge de 18 ans
|
2010 |
2011 |
2012 |
2013 |
2014 |
2015 |
2016 |
Liste d'attente |
|
|
|
|
|
|
|
- malades restant en attente au 1er janvier de chaque année |
11 |
5 |
2 |
6 |
15 |
8 |
6 |
dont malades en attente au 1er janvier et en CIT |
3 |
1 |
0 |
1 |
1 |
1 |
2 |
% des malades en CIT parmi les malades en attente au 1er janvier |
27% |
20% |
0% |
17% |
7% |
13% |
33% |
- nouveaux inscrits dans l'année |
10 |
9 |
17 |
22 |
13 |
12 |
|
- décédés dans l'année |
1 |
1 |
1 |
1 |
3 |
1 |
|
- sortis de la liste d'attente |
0 |
1 |
0 |
0 |
1 |
0 |
|
- dont sortis de la liste d'attente pour aggravation |
0 |
0 |
0 |
0 |
1 |
0 |
|
Greffes |
15 |
10 |
12 |
12 |
16 |
13 |
|
CIT : contre indication temporaire
Données extraites de CRISTAL le 01/03/2016
Devenir des candidats en liste d’attente
En 2015, le nombre de nouveaux candidats inscrits, avant l’âge de 18 ans, sur la liste d’attente de greffe pulmonaire (12) est en diminution de 8% par rapport à 2014. L’amélioration de la prise en charge médicale de la mucoviscidose semble expliquer en grande partie cette diminution du nombre de nouvelles inscriptions en attente de greffe pulmonaire dans la population pédiatrique. Avec un total de 20 candidats, la population des inscrits avant l’âge de 18 ans représente, en 2015, 4% de la totalité des malades en attente de greffe pulmonaire (20 sur 537).
Pour la greffe cardio-pulmonaire le nombre de nouveaux malades inscrits en liste d’attente avant l’âge de 18 ans reste très faible (3). Cette situation est à l’image de la greffe cardio-pulmonaire en France, et peut s’expliquer par l’amélioration de la prise en charge médicale de l’hypertension artérielle pulmonaire primitive et par un recours plus fréquent à la greffe bi-pulmonaire pour ces malades souffrant d’hypertension artérielle pulmonaire. Avec un total de 5 candidats, la population des inscrits avant l’âge de 18 ans représente, en 2015, 16% de la totalité des malades en attente de greffe cardio-pulmonaire (5 sur 31).
Avec un total de 25 candidats, la population des inscrits en attente de greffe pulmonaire et cardio-pulmonaire avant l’âge de 18 ans représente, en 2015, 4% des malades en attente (25 sur 568). Parmi ces 25 candidats, seulement 6 (24%) ont moins de 11 ans. Soixante pour cent (9) des nouveaux inscrits en attente en 2015 sont à l’inscription en Unité de Soins Intensifs, 20% (3) sont sous ventilation assistée invasive, et 20% (3) sous ECMO. Les cardiopathies congénitales ou une hypertension artérielle pulmonaire sont la première indication de nouvelle inscription sur la liste d’attente de greffe cardio-pulmonaire. La mucoviscidose (42%) et la fibrose pulmonaire (25%) sont les 2 indications les plus fréquentes d’inscription en attente de greffe pulmonaire. Le nombre de nouvelles inscriptions sur la liste d’attente pulmonaire pour mucoviscidose tend cependant à baisser en 2015 comme en 2014 par rapport à la période 2010-2013.
Jusqu’à présent, l’accès à la greffe était évalué par la durée médiane d’attente estimée par la méthode de Kaplan Meier. Cet indicateur a été remplacé depuis 2014 par le taux d’incidence cumulée qui mesure la probabilité d’accès à la greffe en fonction de la durée d’attente en prenant en compte le risque concurrent de décès et de sortie de liste pour aggravation (voir chapitre « Greffes d’organes : Données générales et méthodes »). En effet, pour les malades inscrits en liste d’attente, l’accès à la greffe dépend du risque concurrent que représentent le décès en liste d’attente et la sortie de liste pour aggravation. La probabilité de greffe et la probabilité de décès sur la liste d’attente ou de sortie de liste pour aggravation dépendent l’une de l’autre. Ainsi le risque de décès ou de sortie de liste pour aggravation est impacté par l’accès à la greffe. Cette méthode exprime ce qui est réellement observé pour les malades de la cohorte et permet d’évaluer le système de répartition des greffons. En revanche, cette méthode ne permet pas d’évaluer ce que serait le risque de décès en liste d’attente si la greffe n’existait pas puisque qu’en France, la majorité des candidats sont greffés dans l’année qui suit leur inscription.
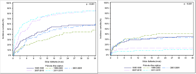
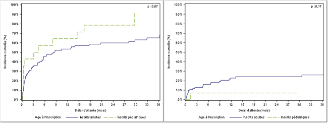
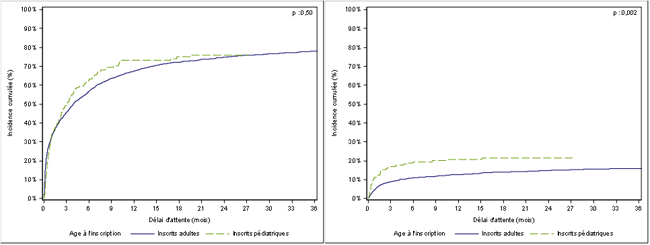
La durée médiane d’attente avant greffe pulmonaire pour les candidats pédiatriques inscrits en attente pendant la période 2010-2015 est un peu inférieure à 3 mois alors qu’elle est de 3 mois avant greffe cardio-pulmonaire. Pour les malades inscrits en attente de greffe cardio-pulmonaire entre 2010 et 2015, la probabilité de greffe calculée avec la méthode des risques concurrents tend à être plus grande pour les candidats pédiatriques que pour les candidats adultes (incidence cumulée de greffe à 1 an de 71% pour les candidats pédiatriques versus 55% pour les candidats adultes). Le taux d’incidence cumulée de décès ou de sortie de liste pour aggravation n’est quant à lui pas calculable pour les candidats pédiatriques en raison du faible effectif de la cohorte. Pour les malades inscrits en attente de greffe pulmonaire entre 2010 et 2015, la probabilité de greffe calculée avec la méthode des risques concurrents n’est pas différente pour les candidats pédiatriques et les candidats adultes (incidence cumulée de greffe à 1 an de 74% pour les candidats pédiatriques et 81% pour les candidats adultes), Cette situation peut s’expliquer par la priorité pédiatrique qui compense la nécessité d’un appariement morphologique défavorisant les candidats pédiatriques. Le taux d’incidence cumulée de décès ou de sortie de liste pour aggravation n’est pas non plus significativement différent pour les candidats pédiatriques et les candidats adultes (incidence cumulée à 1 an de 12% pour les candidats pédiatriques et 7% pour les candidats adultes).
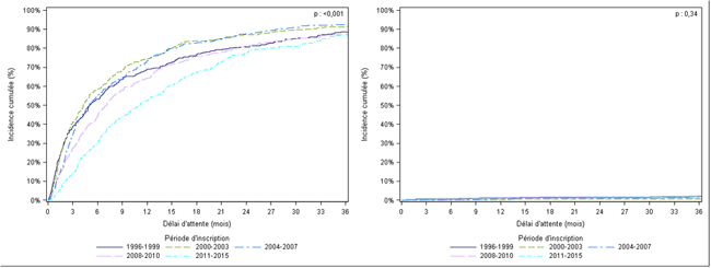
L’augmentation de 29% en valeur absolue de l’incidence cumulée de greffe pulmonaire après 1 an d’inscription en liste d’attente, calculée avec la méthode des risques concurrents, entre les périodes 1995-1998 et 2011-2015 (46% versus 75%) traduit une diminution de la pénurie. De façon concomitante la probabilité de décès ou de sortie de liste pour aggravation a diminué entre ces 2 périodes de 21% en risque absolu (31% versus 10%). Cette dernière évolution peut s’expliquer à la fois par le meilleur accès à la greffe mais aussi par une amélioration de la prise en charge médicale des pathologies conduisant à la greffe.
Tableau Péd PCP2a. Evolution des principaux indicateurs de pénurie des malades inscrits en attente de greffe cardio-pulmonaire avant l'âge de 18 ans
|
2010 |
2011 |
2012 |
2013 |
2014 |
2015 |
Nouveaux inscrits pour un greffon |
1,0 |
1,5 |
0,5 |
2,0 |
0,7 |
1,5 |
Receveurs en attente au 1er janvier pour un greffon |
3,5 |
2,5 |
1,3 |
3,0 |
1,3 |
1,0 |
Receveurs en attente au 1er janvier pour un greffon hors malade en CIT |
2,5 |
0,5 |
1,0 |
2,0 |
1,0 |
0,5 |
Total candidats pour un greffon |
4,5 |
4,0 |
1,8 |
5,0 |
2,0 |
2,5 |
CIT : contre indication temporaire
Données extraites de CRISTAL le 01/03/2016
L’évolution de la pénurie peut être mesurée par :
- le nombre de receveurs en attente au 1er janvier de l’année pour un greffon (1,0 receveur début 2015 pour 1 greffon utilisable) ;
- le nombre de nouveaux inscrits pour un greffon (1,5 inscrit pour un greffon utilisable) ;
- le nombre total de candidats pour un greffon (2,5 candidats pour un greffon utilisable dans l’année).
Tableau Péd PCP2b. Evolution des principaux indicateurs de pénurie des malades inscrits en attente de greffe pulmonaire avant l'âge de 18 ans
|
2010 |
2011 |
2012 |
2013 |
2014 |
2015 |
Nouveaux inscrits pour un greffon |
0,7 |
0,9 |
1,4 |
1,8 |
0,8 |
0,9 |
Receveurs en attente au 1er janvier pour un greffon |
0,7 |
0,5 |
0,2 |
0,5 |
0,9 |
0,6 |
Receveurs en attente au 1er janvier pour un greffon hors malade en CIT |
0,5 |
0,4 |
0,2 |
0,4 |
0,9 |
0,5 |
Total candidats pour un greffon |
1,4 |
1,4 |
1,6 |
2,3 |
1,8 |
1,5 |
CIT : contre indication temporaire
Données extraites de CRISTAL le 01/03/2016
L’évolution de la pénurie peut être mesurée par :
- le nombre de receveurs en attente au 1er janvier de l’année pour un greffon (0,9 receveur début 2014 pour 1 greffon utilisable) ;
- le nombre de nouveaux inscrits pour un greffon (0,6 inscrit pour un greffon utilisable) ;
- le nombre total de candidats pour un greffon (1,5 candidat pour un greffon utilisable dans l’année).
Tableau Péd PCP3. Caractéristiques démographiques des donneurs de poumon et de coeur-poumons, et des malades inscrits avant l'âge de 18 ans selon leur devenir en liste d'attente de greffe pulmonaire et cardio-pulmonaire en 2015
| Caractéristiques | Greffons pulmonaires et cardio-pulmonaires greffés en 2015 |
Malades en attente au 1er janvier 2015 |
Nouveaux malades inscrits en 2015 |
Malades greffés en 2015 |
Malades décédés en 2015 |
Malades sortis de la liste pour aggravation en 2015 |
||||||
n |
% |
n |
% |
n |
% |
n |
% |
n |
% |
n |
% |
|
Age |
||||||||||||
0-2 ans |
0 |
0 |
0 |
0 |
0 |
0 |
0 |
0 |
0 |
0 |
0 |
0 |
3-5 ans |
1 |
6,7 |
1 |
10,0 |
0 |
0 |
1 |
6,7 |
0 |
0 |
0 |
0 |
6-10 ans |
0 |
0 |
3 |
30,0 |
2 |
13,3 |
3 |
20,0 |
1 |
100,0 |
0 |
0 |
11-17 ans |
1 |
6,7 |
5 |
50,0 |
13 |
86,7 |
10 |
66,7 |
0 |
0 |
1 |
100,0 |
18-29 ans |
3 |
20,0 |
1 |
10,0 |
0 |
0 |
1 |
6,7 |
0 |
0 |
0 |
0 |
30 ans et plus |
10 |
66,7 |
0 |
0 |
0 |
0 |
0 |
0 |
0 |
0 |
0 |
0 |
(m ± ds, ans) |
40,7 |
19,1 |
12,8 |
4,8 |
14,2 |
2,8 |
13,8 |
4,1 |
9,0 |
. |
12,8 |
. |
Sexe |
||||||||||||
Masculin |
5 |
33,3 |
5 |
50,0 |
8 |
53,3 |
7 |
46,7 |
1 |
100,0 |
0 |
0 |
Féminin |
10 |
66,7 |
5 |
50,0 |
7 |
46,7 |
8 |
53,3 |
0 |
0 |
1 |
100,0 |
Groupe sanguin |
||||||||||||
A |
4 |
26,7 |
4 |
40,0 |
5 |
33,3 |
5 |
33,3 |
1 |
100,0 |
0 |
0 |
AB |
0 |
0 |
0 |
0 |
1 |
6,7 |
1 |
6,7 |
0 |
0 |
0 |
0 |
B |
0 |
0 |
2 |
20,0 |
0 |
0 |
1 |
6,7 |
0 |
0 |
0 |
0 |
O |
11 |
73,3 |
4 |
40,0 |
9 |
60,0 |
8 |
53,3 |
0 |
0 |
1 |
100,0 |
Retransplantation |
||||||||||||
Non |
na |
na |
10 |
100,0 |
14 |
93,3 |
14 |
93,3 |
1 |
100,0 |
0 |
0 |
Oui |
na |
na |
0 |
0 |
1 |
6,7 |
1 |
6,7 |
0 |
0 |
0 |
0 |
Total |
15 |
100,0 |
10 |
100,0 |
15 |
100,0 |
15 |
100,0 |
1 |
100,0 |
1 |
100,0 |
na=Non applicable
Données extraites de CRISTAL le 01/03/2016
Tableau Péd PCP4. Caractéristiques des malades inscrits avant l’âge de 18 ans selon leur devenir en liste d'attente de greffe pulmonaire et cardio-pulmonaire en 2015
| Caractéristiques | Malades en attente au 1er janvier 2015 |
Nouveaux malades inscrits en 2015 |
Malades greffés en 2015 |
Malades décédés en 2015 |
Malades sortis pour aggravation en 2015 |
|||||
n |
% |
n |
% |
n |
% |
n |
% |
|
|
|
Lieu de prise en charge médicale |
||||||||||
Domicile |
7 |
70,0 |
3 |
20,0 |
0 |
0,0 |
1 |
100,0 |
0 |
0,0 |
Hôpital |
1 |
10,0 |
3 |
20,0 |
4 |
26,7 |
0 |
0,0 |
0 |
0,0 |
USI |
2 |
20,0 |
9 |
60,0 |
11 |
73,3 |
0 |
0,0 |
1 |
100,0 |
Données manquantes |
0 |
0,0 |
0 |
0,0 |
0 |
0,0 |
0 |
0,0 |
0 |
0,0 |
Retransplantation |
||||||||||
Non |
10 |
100,0 |
14 |
93,3 |
14 |
93,3 |
1 |
100,0 |
1 |
100,0 |
Oui |
0 |
0,0 |
1 |
6,7 |
1 |
6,7 |
0 |
0,0 |
0 |
0,0 |
Ventilation assistée invasive |
||||||||||
Données manquantes |
0 |
0,0 |
0 |
0,0 |
0 |
0,0 |
0 |
0,0 |
0 |
0,0 |
Oui |
0 |
0,0 |
3 |
20,0 |
3 |
20,0 |
0 |
0,0 |
1 |
100,0 |
Non |
10 |
100,0 |
12 |
80,0 |
12 |
80,0 |
1 |
100,0 |
0 |
0,0 |
Circulation extra corporelle |
||||||||||
Données manquantes |
2 |
20,0 |
0 |
0,0 |
0 |
0,0 |
0 |
0,0 |
0 |
0,0 |
Oui |
0 |
0,0 |
3 |
20,0 |
5 |
33,3 |
0 |
0,0 |
1 |
100,0 |
Non |
8 |
80,0 |
12 |
80,0 |
10 |
66,7 |
1 |
100,0 |
0 |
0,0 |
Corticothérapie |
||||||||||
Données manquantes |
3 |
30,0 |
0 |
0,0 |
0 |
0,0 |
0 |
0,0 |
0 |
0,0 |
Oui |
2 |
20,0 |
3 |
20,0 |
5 |
33,3 |
1 |
100,0 |
0 |
0,0 |
Non |
5 |
50,0 |
12 |
80,0 |
10 |
66,7 |
0 |
0,0 |
1 |
100,0 |
Distance parcourue en 6 min (m) à l’inscription |
||||||||||
Données manquantes |
8 |
80,0 |
9 |
60,0 |
10 |
66,7 |
1 |
100,0 |
1 |
100,0 |
<300 m |
0 |
0,0 |
2 |
13,3 |
2 |
13,3 |
0 |
0,0 |
0 |
0,0 |
>=300 m |
2 |
20,0 |
4 |
26,7 |
3 |
20,0 |
0 |
0,0 |
0 |
0,0 |
Créatinémie |
||||||||||
<60 µmol/l |
7 |
70,0 |
11 |
73,3 |
9 |
60,0 |
1 |
100,0 |
0 |
0,0 |
60-119 µmol/l |
1 |
10,0 |
4 |
26,7 |
5 |
33,3 |
0 |
0,0 |
1 |
100,0 |
120-199 µmol/l |
0 |
0,0 |
0 |
0,0 |
0 |
0,0 |
0 |
0,0 |
0 |
0,0 |
>=200 µmol/l |
0 |
0,0 |
0 |
0,0 |
0 |
0,0 |
0 |
0,0 |
0 |
0,0 |
Données manquantes |
2 |
20,0 |
0 |
0,0 |
1 |
6,7 |
0 |
0,0 |
0 |
0,0 |
Bilirubine |
||||||||||
<35 µmol/l |
7 |
70,0 |
12 |
80,0 |
10 |
66,7 |
1 |
100,0 |
0 |
0,0 |
35-49 µmol/l |
0 |
0,0 |
1 |
6,7 |
1 |
6,7 |
0 |
0,0 |
0 |
0,0 |
>=50 µmol/l |
0 |
0,0 |
1 |
6,7 |
0 |
0,0 |
0 |
0,0 |
1 |
100,0 |
Données manquantes |
3 |
30,0 |
1 |
6,7 |
4 |
26,7 |
0 |
0,0 |
0 |
0,0 |
Diabète à l’inscription |
||||||||||
Données manquantes |
1 |
10,0 |
1 |
6,7 |
0 |
0,0 |
0 |
0,0 |
0 |
0,0 |
Non |
6 |
60,0 |
11 |
73,3 |
11 |
73,3 |
1 |
100,0 |
1 |
100,0 |
Oui |
3 |
30,0 |
3 |
20,0 |
4 |
26,7 |
0 |
0,0 |
0 |
0,0 |
Total |
10 |
100,0 |
15 |
100,0 |
15 |
100,0 |
1 |
100,0 |
1 |
100,0 |
na=non applicable /(m ± ds,ans): moyenne ± déviation standard
Données extraites de CRISTAL le 01/03/2016
Tableau Péd PCP5. Evolution du nombre de nouveaux malades pédiatriques inscrits en attente d'une greffe pulmonaire ou cardio-pulmonaire selon l'indication
|
2010 |
2011 |
2012 |
2013 |
2014 |
2015 |
||||||||||||||||||
Coeur-poumons |
Poumon |
Coeur-poumons |
Poumon |
Coeur-poumons |
Poumon |
Coeur-poumons |
Poumon |
Coeur-poumons |
Poumon |
Coeur-poumons |
Poumon |
|||||||||||||
N |
% |
N |
% |
N |
% |
N |
% |
N |
% |
N |
% |
N |
% |
N |
% |
N |
% |
N |
% |
N |
% |
N |
% |
|
Autre ou indéterminée |
0 |
0,0 |
1 |
10,0 |
0 |
0,0 |
0 |
0,0 |
0 |
0,0 |
1 |
5,9 |
2 |
100,0 |
2 |
9,1 |
0 |
0,0 |
2 |
15,4 |
0 |
0,0 |
2 |
16,7 |
Fibrose pulmonaire |
0 |
0,0 |
2 |
20,0 |
0 |
0,0 |
0 |
0,0 |
0 |
0,0 |
1 |
5,9 |
0 |
0,0 |
2 |
9,1 |
0 |
0,0 |
3 |
23,1 |
0 |
0,0 |
3 |
25,0 |
Hypertension pulmonaire primitive |
1 |
50,0 |
0 |
0,0 |
3 |
100,0 |
1 |
11,1 |
2 |
100,0 |
2 |
11,8 |
0 |
0,0 |
1 |
4,5 |
2 |
100,0 |
2 |
15,4 |
1 |
33,3 |
1 |
8,3 |
Maladie congénitale |
0 |
0,0 |
0 |
0,0 |
0 |
0,0 |
0 |
0,0 |
0 |
0,0 |
0 |
0,0 |
0 |
0,0 |
0 |
0,0 |
0 |
0,0 |
0 |
0,0 |
2 |
66,7 |
1 |
8,3 |
Mucoviscidose |
1 |
50,0 |
7 |
70,0 |
0 |
0,0 |
8 |
88,9 |
0 |
0,0 |
13 |
76,5 |
0 |
0,0 |
16 |
72,7 |
0 |
0,0 |
5 |
38,5 |
0 |
0,0 |
5 |
41,7 |
Retransplantation-Echec de greffe |
0 |
0,0 |
0 |
0,0 |
0 |
0,0 |
0 |
0,0 |
0 |
0,0 |
0 |
0,0 |
0 |
0,0 |
1 |
4,5 |
0 |
0,0 |
1 |
7,7 |
0 |
0,0 |
0 |
0,0 |
Total |
2 |
100,0 |
10 |
100,0 |
3 |
100,0 |
9 |
100,0 |
2 |
100,0 |
17 |
100,0 |
2 |
100,0 |
22 |
100,0 |
2 |
100,0 |
13 |
100,0 |
3 |
100,0 |
12 |
100,0 |
Données extraites de CRISTAL le 01/03/2016
Pour la greffe pulmonaire pédiatrique, la mucoviscidose est l’indication principale.
Figure Péd PCP1. Taux d'incidence cumulée de greffe et de décès ou de sortie de liste pour aggravation des nouveaux inscrits en attente de greffe cardio-pulmonaire pédiatriques et adultes (2010-2015)
|
Incidence cumulée des greffes avec prise en compte du risque concurrent de décès en attente ou sorties pour aggravation |
|||||
Age à l'inscription |
N |
à 3 mois |
à 6 mois |
à 12 mois |
à 24 mois |
à 36 mois |
Inscrits adultes |
102 |
36 [27-45] |
47 [36-56] |
55 [44-64] |
61 [50-71] |
68 [56-78] |
Inscrits pédiatriques |
14 |
50 [21-73] |
64 [32-84] |
71 [37-89] |
93 [0-100] |
NC |
|
Incidence cumulée des décès en attente ou sorties pour aggravation avec prise en compte du risque concurrent de greffe |
|||||
Age à l'inscription |
N |
à 3 mois |
à 6 mois |
à 12 mois |
à 24 mois |
à 36 mois |
Inscrits adultes |
102 |
14 [8-22] |
17 [10-25] |
24 [16-33] |
26 [17-36] |
NC |
Inscrits pédiatriques |
14 |
NC |
NC |
NC |
NC |
NC |
NC=Non calculable / IC : Intervalle de confiance
Données extraites de CRISTAL le 01/03/2016
Après 1 an d’attente, les malades pédiatriques inscrits sur la liste d’attente cardio-pulmonaire entre 2010 et 2015 ont 71% de chance d’être greffés. On n’observe pas de différence significative pour cet indicateur entre les adultes et les malades pédiatriques.
Figure Péd PCP2. Taux d'incidence cumulée de greffe et de décès ou de sortie de liste pour aggravation des nouveaux inscrits en attente de greffe pulmonaire pédiatriques et adultes (2010-2015)
|
Incidence cumulée des greffes avec prise en compte du risque concurrent de décès en attente ou sorties pour aggravation |
|||||
Age à l'inscription |
N |
à 3 mois |
à 6 mois |
à 12 mois |
à 24 mois |
à 36 mois |
Inscrits adultes |
1968 |
50 [48-52] |
67 [65-69] |
81 [79-83] |
89 [88-91] |
91 [89-92] |
Inscrits pédiatriques |
83 |
55 [43-65] |
63 [52-73] |
74 [63-82] |
84 [72-91] |
88 [70-96] |
|
Incidence cumulée des décès en attente ou sorties pour aggravation avec prise en compte du risque concurrent de greffe |
|||||
Age à l'inscription |
N |
à 3 mois |
à 6 mois |
à 12 mois |
à 24 mois |
à 36 mois |
Inscrits adultes |
1968 |
4 [3-5] |
5 [4-6] |
7 [6-8] |
8 [7-9] |
8 [7-10] |
Inscrits pédiatriques |
83 |
9 [4-16] |
9 [4-16] |
12 [6-20] |
NC |
NC |
NC=Non calculable / IC : Intervalle de confiance
Données extraites de CRISTAL le 01/03/2016
Après 1 an d’attente, les malades pédiatriques inscrits sur la liste d’attente pulmonaire entre 2010 et 2015 ont 74% de chance d’être greffés et 12% de risque de décéder sur la liste d’attente. On n’observe pas de différence significative pour ces 2 indicateurs entre les adultes et les malades pédiatriques.
Figure Péd PCP3. Taux d'incidence cumulée de greffe et de décès ou de sortie de liste pour aggravation des nouveaux inscrits avant l’âge de 18 ans en attente de greffe pulmonaire selon la période d'inscription (1995-2015)
|
Incidence cumulée des greffes avec prise en compte du risque concurrent de décès en attente ou sorties pour aggravation |
|||||
Période d'inscription |
N |
à 3 mois |
à 6 mois |
à 12 mois |
à 24 mois |
à 36 mois |
1995-1998 |
66 |
27 [17-38] |
35 [24-47] |
46 [34-58] |
58 [44-69] |
59 [46-71] |
1999-2002 |
62 |
15 [7-25] |
21 [12-32] |
29 [19-41] |
45 [32-57] |
50 [37-62] |
2003-2006 |
58 |
12 [5-22] |
33 [21-45] |
41 [28-54] |
55 [41-67] |
62 [47-74] |
2007-2010 |
61 |
43 [30-55] |
52 [39-64] |
72 [59-82] |
83 [70-91] |
87 [74-94] |
2011-2015 |
73 |
55 [43-66] |
64 [51-74] |
75 [62-83] |
85 [73-92] |
90 [69-97] |
|
Incidence cumulée des décès en attente ou sorties pour aggravation avec prise en compte du risque concurrent de greffe |
|||||
Période d'inscription |
N |
à 3 mois |
à 6 mois |
à 12 mois |
à 24 mois |
à 36 mois |
1995-1998 |
66 |
23 [13-33] |
27 [17-39] |
31 [20-42] |
36 [24-47] |
37 [25-49] |
1999-2002 |
62 |
21 [12-32] |
31 [20-43] |
34 [23-46] |
43 [30-55] |
43 [30-55] |
2003-2006 |
58 |
24 [14-36] |
31 [20-43] |
33 [21-46] |
NC |
NC |
2007-2010 |
61 |
13 [6-23] |
13 [6-23] |
NC |
NC |
NC |
2011-2015 |
73 |
8 [3-16] |
8 [3-16] |
10 [4-19] |
NC |
NC |
NC=Non calculable / IC : Intervalle de confiance
Données extraites de CRISTAL le 01/03/2016
Après 1 an d’attente, les malades pédiatriques inscrits sur la liste d’attente pulmonaire entre 2011 et 2015 ont 75% de chance d’être greffés et 10% de risque de décéder sur la liste d’attente.
Prélèvement en vue de greffe
En 2015, 4% (14 sur 351) des donneurs décédés et prélevés de poumon ou de cœur-poumons en France ont moins de 18 ans. Parmi les 14 greffons pulmonaires et cardio-pulmonaires prélevés et greffés en France en 2015 chez des donneurs de moins de 18 ans, un seul (7%) est utilisé pour un receveur pédiatrique et 13 (93%) sont utilisés pour des receveurs adultes. Parmi les 13 enfants greffés avec un greffon prélevés en France, 12 (92%) reçoivent un greffon adulte et un seul (8%) un greffon pédiatrique. Cette situation a sans doute de multiples explications parmi lesquelles il est possible de souligner l’absence d’appariement sur l’âge entre donneur et receveur, l’existence d’une priorité nationale pédiatrique qui permet une attribution préférentielle des greffons de donneurs de moins de 55 ans et 50 kilogrammes aux candidats pédiatriques, la pénurie dynamique qui fait qu’il n’y a pas de candidat pédiatrique compatible au moment où un donneur pédiatrique est prélevé. Le nombre de donneurs pédiatriques prélevés d’un greffon pulmonaire ou cardiopulmonaire en France en 2015 diminue de 18% par rapport à 2014, dans un contexte d’augmentation d’ensemble du nombre de donneurs prélevés d’un greffon pulmonaire ou cardiopulmonaire de 3%.
Tableau Péd PCP6. Evolution du nombre de donneurs décédés et prélevés de greffons pulmonaires et cardiopulmonaires en France selon l'âge du donneur
| Année de prélèvement | Enfant |
Adulte |
1997 |
19 |
73 |
1998 |
15 |
92 |
1999 |
16 |
76 |
2000 |
14 |
77 |
2001 |
12 |
91 |
2002 |
12 |
92 |
2003 |
11 |
82 |
2004 |
12 |
145 |
2005 |
12 |
183 |
2006 |
17 |
180 |
2007 |
27 |
188 |
2008 |
15 |
189 |
2009 |
8 |
241 |
2010 |
19 |
237 |
2011 |
23 |
289 |
2012 |
18 |
323 |
2013 |
22 |
293 |
2014 |
17 |
324 |
2015 |
14 |
337 |
Ce tableau comprend tous les greffons prélevés en France (y compris les non greffés)
Données extraites de CRISTAL le 01/03/2016
Deux poumons adultes prélevés en France ont été greffés à l’étranger.
Tableau Péd PCP7. Evolution du nombre de greffons cardio-pulmonaires et pulmonaires pédiatriques prélevés en France et greffés selon l'âge du donneur
| Année de prélèvement | 0 - 2 ans |
3 - 5 ans |
6 - 10 ans |
11 - 17 ans |
1993 |
0 |
0 |
3 |
15 |
1994 |
1 |
0 |
2 |
18 |
1995 |
1 |
0 |
4 |
14 |
1996 |
0 |
0 |
4 |
13 |
1997 |
1 |
1 |
1 |
16 |
1998 |
0 |
0 |
2 |
11 |
1999 |
0 |
2 |
1 |
14 |
2000 |
0 |
1 |
1 |
11 |
2001 |
0 |
0 |
0 |
12 |
2002 |
0 |
0 |
1 |
10 |
2003 |
0 |
0 |
2 |
10 |
2004 |
0 |
0 |
0 |
11 |
2005 |
0 |
1 |
2 |
9 |
2006 |
0 |
0 |
3 |
14 |
2007 |
1 |
0 |
3 |
24 |
2008 |
0 |
0 |
1 |
13 |
2009 |
0 |
0 |
0 |
7 |
2010 |
0 |
0 |
1 |
18 |
2011 |
0 |
0 |
4 |
19 |
2012 |
0 |
1 |
1 |
16 |
2013 |
0 |
1 |
2 |
18 |
2014 |
0 |
0 |
2 |
14 |
2015 |
0 |
0 |
0 |
14 |
Ce tableau comprend tous les greffons prélevés en France et greffés (y compris les greffons greffés à l'étranger).
Données extraites de CRISTAL le 01/03/2016
Tableau Péd PCP8. Age des greffons pulmonaires et cardio-pulmonaires prélevés sur donneurs décédés et greffés en France en 2015 selon l'âge du receveur au moment de la greffe
| Age du donneur | Age du receveur |
Total |
||||||
0-2 ans |
3-5 ans |
6-10 ans |
11-17 ans |
18-29 ans |
30-59 ans |
60 ans et plus |
||
0-2 ans |
0 |
0 |
0 |
0 |
0 |
0 |
0 |
0 |
3-5 ans |
0 |
0 |
0 |
0 |
0 |
0 |
0 |
0 |
6-10 ans |
0 |
0 |
0 |
0 |
0 |
0 |
0 |
0 |
11-17 ans |
0 |
0 |
0 |
1 |
4 |
7 |
2 |
14 |
18-29 ans |
0 |
0 |
1 |
2 |
9 |
28 |
10 |
50 |
30-59 ans |
0 |
0 |
2 |
7 |
35 |
127 |
39 |
210 |
60 ans et plus |
0 |
0 |
0 |
0 |
9 |
43 |
25 |
77 |
Total |
0 |
0 |
3 |
10 |
57 |
205 |
76 |
351 |
Ce tableau comprend les greffons prélevés en France et greffés en France.
Données extraites de CRISTAL le 01/03/2016
En 2015, deux poumons, dont un greffon pédiatrique, ont été prélevés à l'étranger et greffés en France à des malades inscrits avant l’âge de 18 ans.
Un greffon pédiatrique a été prélevé en France et non greffé.
Activité de greffe
L’activité de greffe cardio-pulmonaire pédiatrique demeure très faible, entre 1 et 4 greffes par an, et l’activité de greffe pulmonaire reste faible, entre 10 et 16 greffes par an. Il faut noter qu’en 2008, la limite d’âge supérieure de la population pédiatrique a été modifiée passant de 16 ans à 18 ans. En 2015, l’activité de greffe pulmonaire diminue de 19% par rapport à 2014 et celle de greffe cardio-pulmonaire de 33%. Le faible niveau d’activité s’explique probablement par l’amélioration de la prise en charge médicale de l’hypertension artérielle pulmonaire primitive et de la mucoviscidose. Avec une baisse plus marquée du nombre d’inscrits que de greffes, le niveau de pénurie diminue en 2015 par rapport à 2014 en greffe pulmonaire, où le nombre de greffes reste supérieur au nombre de nouveaux inscrits. En greffe cardio-pulmonaire l’augmentation du nombre de nouveaux inscrits associée à une baisse du nombre de greffes aboutit à une hausse du niveau de pénurie.
En 2015, 13 greffes pulmonaires sont effectuées chez des malades âgés de moins de 18 ans au moment de leur inscription en liste d’attente, ce qui représente 4% de l’activité totale de greffe pulmonaire (13 sur 345). Il s’agit toujours de greffe bi-pulmonaire. Deux greffes cardio-pulmonaires pédiatriques sont effectuées en 2015 ce qui représente 25% (2 sur 8) de l’activité totale. Quatre des 13 malades (31%) ont comme indication à la greffe pulmonaire, une mucoviscidose alors que l’indication de toutes les greffes cardio-pulmonaires sont des cardiopathies congénitales.
En 2015, 6 équipes réalisent de 1 à 4 greffes pulmonaires pédiatriques avec 2 équipes (Le Plessis Robinson Marie-Lannelongue et Paris Georges Pompidou) réalisant 67% de l’activité nationale. Par ailleurs, le Plessis-Robinson Marie-Lannelongue réalise les 2 greffes cardio-pulmonaires.
Tableau Péd PCP9. Evolution de l'activité de greffe pulmonaire et cardio-pulmonaire des malades inscrits en attente avant l'âge de 18 ans selon l'âge au moment de la greffe
| Année de greffe | Organe greffé |
|||
Coeur-Poumons |
Poumon |
|||
Moins de 18 ans au moment de la greffe |
18 ans et plus au moment de la greffe |
Moins de 18 ans au moment de la greffe |
18 ans et plus au moment de la greffe |
|
1990 |
17 |
0 |
10 |
0 |
1991 |
12 |
0 |
5 |
0 |
1992 |
11 |
1 |
6 |
1 |
1993 |
6 |
1 |
8 |
1 |
1994 |
5 |
1 |
9 |
1 |
1995 |
1 |
0 |
14 |
0 |
1996 |
5 |
1 |
10 |
0 |
1997 |
4 |
0 |
8 |
1 |
1998 |
2 |
2 |
7 |
1 |
1999 |
4 |
0 |
6 |
2 |
2000 |
1 |
0 |
5 |
1 |
2001 |
5 |
0 |
9 |
3 |
2002 |
2 |
2 |
3 |
3 |
2003 |
2 |
0 |
3 |
2 |
2004 |
2 |
1 |
11 |
3 |
2005 |
1 |
1 |
10 |
4 |
2006 |
0 |
2 |
9 |
2 |
2007 |
2 |
0 |
12 |
1 |
2008 |
2 |
0 |
12 |
3 |
2009 |
0 |
0 |
8 |
4 |
2010 |
2 |
0 |
14 |
1 |
2011 |
2 |
0 |
10 |
0 |
2012 |
3 |
1 |
12 |
0 |
2013 |
1 |
0 |
12 |
0 |
2014 |
2 |
1 |
14 |
2 |
2015 |
2 |
0 |
12 |
1 |
Données extraites de CRISTAL le 01/03/2016
Tableau Péd PCP10. Evolution du nombre de malades pédiatriques greffés d'une greffe pulmonaire ou cardio-pulmonaire selon l'indication
|
2010 |
2011 |
2012 |
2013 |
2014 |
2015 |
||||||||||||||||||
Coeur-poumons |
Poumon |
Coeur-poumons |
Poumon |
Coeur-poumons |
Poumon |
Coeur-poumons |
Poumon |
Coeur-poumons |
Poumon |
Coeur-poumons |
Poumon |
|||||||||||||
N |
% |
N |
% |
N |
% |
N |
% |
N |
% |
N |
% |
N |
% |
N |
% |
N |
% |
N |
% |
N |
% |
N |
% |
|
Autre ou indéterminée |
0 |
0,0 |
0 |
0,0 |
0 |
0,0 |
0 |
0,0 |
0 |
0,0 |
0 |
0,0 |
1 |
100,0 |
1 |
8,3 |
0 |
0,0 |
3 |
18,8 |
0 |
0,0 |
3 |
23,1 |
Fibrose pulmonaire |
0 |
0,0 |
1 |
6,7 |
0 |
0,0 |
0 |
0,0 |
0 |
0,0 |
1 |
8,3 |
0 |
0,0 |
1 |
8,3 |
0 |
0,0 |
2 |
12,5 |
0 |
0,0 |
3 |
23,1 |
Hypertension pulmonaire primitive |
2 |
100,0 |
0 |
0,0 |
1 |
50,0 |
1 |
10,0 |
4 |
100,0 |
2 |
16,7 |
0 |
0,0 |
0 |
0,0 |
3 |
100,0 |
2 |
12,5 |
0 |
0,0 |
2 |
15,4 |
Maladie congénitale |
0 |
0,0 |
0 |
0,0 |
0 |
0,0 |
0 |
0,0 |
0 |
0,0 |
0 |
0,0 |
0 |
0,0 |
0 |
0,0 |
0 |
0,0 |
0 |
0,0 |
2 |
100,0 |
1 |
7,7 |
Mucoviscidose |
0 |
0,0 |
14 |
93,3 |
1 |
50,0 |
9 |
90,0 |
0 |
0,0 |
9 |
75,0 |
0 |
0,0 |
9 |
75,0 |
0 |
0,0 |
9 |
56,3 |
0 |
0,0 |
4 |
30,8 |
Retransplantation-Echec de greffe |
0 |
0,0 |
0 |
0,0 |
0 |
0,0 |
0 |
0,0 |
0 |
0,0 |
0 |
0,0 |
0 |
0,0 |
1 |
8,3 |
0 |
0,0 |
0 |
0,0 |
0 |
0,0 |
0 |
0,0 |
Total |
2 |
100,0 |
15 |
100,0 |
2 |
100,0 |
10 |
100,0 |
4 |
100,0 |
12 |
100,0 |
1 |
100,0 |
12 |
100,0 |
3 |
100,0 |
16 |
100,0 |
2 |
100,0 |
13 |
100,0 |
Données extraites de CRISTAL le 01/03/2016
Tableau Péd PCP11. Nombre de greffes cardio-pulmonaires et pulmonaires effectuées en 2015 par équipe chez des malades âgés de moins de 18 ans au moment de l'inscription
| Equipe de greffe | Nombre de greffes |
Receveur âgés de 18 ans et plus au moment de la greffe |
Receveur âgés de moins de 18 ans au moment de la greffe |
|||
Coeur-poumons |
Poumon |
Monopulmonaire |
Bipulmonaire |
Monopulmonaire |
Bipulmonaire |
|
Bordeaux (A+P) |
0 |
0 |
0 |
0 |
0 |
0 |
Lyon (A+P) |
0 |
1 |
0 |
0 |
0 |
1 |
Lyon I (HCL) (A+P) |
0 |
0 |
0 |
0 |
0 |
0 |
Le Plessis-Robinson Marie-Lannelongue (A+P) |
2 |
4 |
0 |
1 |
0 |
5 |
Marseille Timone enfants (APM) (A+P) |
0 |
0 |
0 |
0 |
0 |
0 |
Marseille Timone enfants (APM) (P) |
0 |
2 |
0 |
0 |
0 |
2 |
Nantes (A+P) |
0 |
0 |
0 |
0 |
0 |
0 |
Paris Georges Pompidou (AP-HP) (A+P) |
0 |
4 |
0 |
0 |
0 |
4 |
Paris Necker Enfants Malades (AP-HP) (A+P) |
0 |
0 |
0 |
0 |
0 |
0 |
Strasbourg (A) |
0 |
1 |
0 |
0 |
0 |
1 |
Suresnes Foch (A) |
0 |
1 |
0 |
0 |
0 |
1 |
Total |
2 |
13 |
0 |
1 |
0 |
14 |
Données extraites de CRISTAL le 01/03/2016
Neuf équipes sont autorisées à la greffe cardio-pulmonaire et pulmonaire pédiatrique.
En 2015, deux poumons, dont un greffon pédiatrique, ont été prélevés à l'étranger et greffés en France à des malades inscrits avant l’âge de 18 ans.
Tableau Péd PCP12. Evolution du nombre de greffes cardio-pulmonaires et pulmonaires par équipe chez des malades inscrits avant l'âge de 18 ans
Equipe de greffe |
2010 |
2011 |
2012 |
2013 |
2014 |
2015 |
Bordeaux (A+P) |
1 |
0 |
0 |
0 |
0 |
0 |
Grenoble (A) |
1 |
0 |
0 |
0 |
1 |
0 |
Le Plessis-Robinson Marie-Lannelongue (A+P) |
2 |
2 |
4 |
1 |
4 |
6 |
Lyon (A+P) |
1 |
1 |
2 |
1 |
3 |
1 |
Lyon I (HCL) |
0 |
0 |
0 |
1 |
1 |
0 |
Lyon II (HCL) (A) |
0 |
0 |
1 |
0 |
0 |
0 |
Marseille Sainte Marguerite (APM) (A) |
0 |
0 |
0 |
0 |
1 |
0 |
Marseille Timone enfants (APM) (P) |
2 |
3 |
1 |
0 |
3 |
2 |
Nantes (A+P) |
0 |
1 |
0 |
0 |
0 |
0 |
Paris Georges Pompidou (AP-HP) (A+P) |
9 |
3 |
5 |
7 |
5 |
4 |
Strasbourg (A) |
1 |
0 |
2 |
2 |
0 |
1 |
Suresnes Foch (A) |
0 |
2 |
1 |
1 |
1 |
1 |
France |
17 |
12 |
16 |
13 |
19 |
15 |
Données extraites de CRISTAL le 01/03/2016
Survie post greffe
Les taux de survie des receveurs pédiatriques après greffe cardio-pulmonaire pour les patients greffés entre 1996 et juin 2014 sont de 63%, 43% et 37% respectivement à 1, 5 et 10 ans alors que ceux après greffe pulmonaire sont de 78% et 50% respectivement à 1 et 5 ans pour les malades opérés entre 2007 et juin 2014. Les taux de survie sont comparables à ceux de la cohorte nationale. La survie des malades après greffe pulmonaire est significativement meilleure pour les malades greffés entre 2007 et juin 2014 que pour ceux greffés avant 1996.
Figure Péd PCP4. Survie du receveur pédiatrique après greffe cardio-pulmonaire selon la période de greffe (1987-juin 2014)
| Période de greffe | N |
Survie à 1 mois |
Survie à 1 an |
Survie à 5 ans |
Survie à 10 ans |
Survie à 15 ans |
Médiane de |
Avant 1996 |
77 |
77,9% |
59,7% |
27,3% |
22,1% |
NO |
18,6 |
nombre de sujets à risque* |
|
60 |
46 |
21 |
17 |
10 |
|
1996-juin 2014 |
51 |
80,4% |
62,7% |
42,8% |
36,8% |
NO |
39,0 |
nombre de sujets à risque* |
|
41 |
32 |
18 |
11 |
4 |
|
La probabilité de survie après une greffe cardio-pulmonaire réalisée entre 1996 et juin 2014 est de 63% à un an.
Figure Péd PCP5. Survie du receveur pédiatrique après greffe pulmonaire selon la période de greffe (1988-juin 2014)
| Période de greffe | N |
Survie à 1 mois |
Survie à 1 an |
Survie à 5 ans |
Survie à 10 ans |
Survie à 15 ans |
Médiane de |
Avant 1995 |
59 |
88,0% |
55,2% |
27,6% |
24,1% |
19,0% |
14,9 |
nombre de sujets à risque* |
|
51 |
32 |
16 |
14 |
11 |
|
1996-2006 |
97 |
87,6% |
76,3% |
48,5% |
38,9% |
NO |
48,9 |
nombre de sujets à risque* |
|
85 |
74 |
47 |
26 |
10 |
|
2007-juin 2014 |
102 |
90,1% |
78,0% |
50,1% |
NO |
NO |
NO |
nombre de sujets à risque* |
|
91 |
73 |
22 |
0 |
0 |
|
[] : Intervalle de confiance
NO : non observable
* : Nombre de malades restant à observer pour chaque temps et pour lesquels aucun évènement n'est survenu
Données extraites de CRISTAL le 01/03/2016
La probabilité de survie après une greffe pulmonaire réalisée entre 2007 et juin 2014 est de 78% à un an.
Conclusion
Les caractéristiques de la greffe cardio-pulmonaire et pulmonaire pédiatrique cette année sont :
- une stabilité du nombre de nouveaux inscrits avec un nombre de greffes cardio-pulmonaires qui est à un niveau très bas
- une stabilité du nombre de nouveaux inscrits et une légère diminution du nombre de greffes pulmonaires
- après 1 an d’attente, une probabilité d’être greffé de 71% pour les malades inscrits sur la liste d’attente cardio-pulmonaire entre 2010 et 2015
- après 1 an d’attente, une probabilité d’être greffé de 74% pour les malades inscrits sur la liste d’attente pulmonaire entre 2010 et 2015 pour ceux qui ne sont pas décédés en liste d’attente ou sortis de liste pour aggravation
- une probabilité de survie 1 an après une greffe cardio-pulmonaire et pulmonaire respectivement de 63% et 78%.
Greffe hépatique pédiatrique
Résumé de l’activité
Tableau Péd F1. Evolution de la liste d'attente et du devenir des candidats en greffe hépatique pour les malades inscrits avant l'âge de 18 ans
|
2010 |
2011 |
2012 |
2013 |
2014 |
2015 |
2016 |
Liste d'attente |
|
|
|
|
|
|
|
- malades restant en attente au 1er janvier de chaque année |
60 |
49 |
42 |
57 |
58 |
64 |
60 |
dont plus de 18 ans au 1er janvier |
1 |
1 |
2 |
1 |
1 |
2 |
1 |
Part des malades en CIT parmi les malades en attente au 1er janvier |
25% |
33% |
45% |
28% |
26% |
30% |
25% |
malades en attente au 1er janvier et en CIT |
15 |
16 |
19 |
16 |
15 |
19 |
15 |
- nouveaux inscrits dans l'année |
73 |
88 |
112 |
96 |
95 |
101 |
|
- décédés dans l'année |
5 |
2 |
3 |
6 |
2 |
3 |
|
- sortis de la liste d'attente |
4 |
8 |
8 |
6 |
7 |
9 |
|
Greffes |
75 |
85 |
86 |
83 |
80 |
93 |
|
- dont greffes avec donneur vivant |
9 |
7 |
4 |
7 |
4 |
10 |
|
Inscription en attente et devenir des candidats
Avec 101 nouveaux inscrits de moins de 18 ans, l’activité d’inscription a progressé de 6,3% comparé aux années 2013-2014. Parmi ces 101 nouvelles inscriptions, 36,6% concernent des enfants de moins de 2 ans, 37,6% concernent des enfants âgés de 3 à 10 ans et 25,7% des enfants âgés de 11 à 17 ans. La part des inscriptions des enfants âgés de moins de 2 ans a progressivement baissé ces 8 dernières années, passant de 63% en 2007 à 36,6% en 2015. Dans le même temps, la part des inscriptions des enfants âgés de 6 à 10 ans est passée de 5,6% à 17,8%, et celle des enfants âgés de 3 à 5 ans de 11,2% à 19,8%. La prise en charge précoce des très jeunes enfants a possiblement permis de retarder l’âge de la greffe hépatique. Les enfants de 11 à 17 ans représentent en moyenne 24% des nouveaux inscrits.
La retransplantation, élective ou non, concerne 12 nouveaux inscrits (11,9% des nouveaux inscrits) en 2015 contre 6,3% en 2014, le plus bas jamais observé. La tendance est globalement à la baisse puisque la retransplantation représentait 18,7% des inscrits en 2003, 16,9% en 2009 et 13,4% en 2012.
Un quart des enfants en attente au 1er janvier 2016 était en contre-indication temporaire (CIT). L’ajout en janvier 2012 d’une liste de motifs de mise en CIT a permis de mieux comprendre le parcours des malades en attente, et en particulier d’évaluer la part des CIT liée à une amélioration de l’état de santé de l’enfant aboutissant à la décision de sursoir, au moins provisoirement, à la greffe.
Le nombre de malades restant inscrits au début de l’année 2016 est de 60 enfants, chiffre comparable à ceux observés les 3 précédentes années. Les enfants sont pour l'essentiel inscrits dans les équipes de la région Ile-de-France (75,2% en 2015).
La répartition des indications de greffe parmi les nouveaux inscrits s’est peu modifiée ces 5 dernières années. L’atrésie des voies biliaires reste l’indication dominante en greffe hépatique pédiatrique avec 35 à 45% des nouveaux inscrits. Viennent ensuite les maladies métaboliques avec 15,7% des inscriptions, puis les hépatites fulminantes et insuffisances hépatiques aigues, indication passée de 14% des inscrits en 2004 à 8,9% en 2015.
Depuis 2014, l’accès à la greffe des patients est mesurée par le taux d’incidence cumulée (IC) de greffe estimée par la méthode des risques concurrents qui prend en compte le risque concurrent de décès ou aggravation sur la liste d'attente (cf chapitre méthode). Ce taux d’IC de greffe diffère selon les périodes, avec un taux plus faible pour la période 2011-2015 (70% à un an) par rapport à 1995-1998 (86% à un an) mais similaire par rapport à 2007-2010 (71%) et 2003-2006 (74%). Le taux d’IC de greffe est plus élevé pour les receveurs pédiatriques (70% à un an) comparé aux adultes (59% à un an) (p<0.01) et est particulièrement plus élevé pour la tranche d’âge 11-17 ans (82% à un an) comparé aux autres classes d’âges inférieures à 11 ans (entre 63% et 67% à un an) (p<0.01). Ces différences d’IC de greffe observées selon les périodes ou l’âge des enfants ne s’accompagnent pas d’une augmentation du taux d’incidence cumulée des décès en attente ou sorties pour aggravation avec prise en compte du risque concurrent de greffe. Ce taux ne dépasse pas 5% et est atteint dès le 3ième mois après l’inscription. Il s’agit donc de sortie de liste pour décès ou aggravation précoces malgré l’octroi fréquent aux enfants de la priorité nationale super-urgence (25% des candidats de moins de 18 ans et 42% des greffes hépatiques pédiatriques réalisées à partir de donneur décédé).
En 2015, 42 des 154 demandes de super-urgence accordées par le collège d’experts concernaient des enfants, soit 25,5 % de l’ensemble des enfants inscrits sur ces 3 dernières années. Une baisse de 21% avait été observée en 2013 après 4 ans de hausse des demandes accordées de SU pédiatrique (+ 101% entre 2008 et 2012). Trois enfants sont décédés en attente, 35 ont pu être greffés, 4 sont sortis de liste pour amélioration et aucun enfant ne restait en attente au 31/12/2015. Pour mémoire, la priorité nationale super-urgence est accordée pour une durée illimitée si le receveur est âgé de moins de 18 ans, permettant l’accès à la greffe dans l’année de la demande de SU pour 85 à 90% des enfants. Une composante « experts » a été accordée à 5 enfants, 3 ont été greffés et 2 restaient en attente au 31/12/2015. La mortalité en liste d’attente est basse avec 2 à 6 décès par an et un pourcentage qui évolue en fonction des variations du nombre de candidats. Avec 3 décès en attente en 2015, le pourcentage de décès parmi les nouveaux inscrits est de 3,3%. Le taux d’incidence de décès pour 1000 patients x année a diminué de manière significative de 176,3 en 2001 à 49,6 en 2015. Parmi les enfants sortis de liste en 2015, 6 l’ont été pour amélioration et un seul pour aggravation.
Tableau Péd F2. Evolution des principaux indicateurs de pénurie en greffe hépatique
|
2010 |
2011 |
2012 |
2013 |
2014 |
2015 |
Nouveaux inscrits pour un greffon |
1,0 |
1,0 |
1,3 |
1,2 |
1,2 |
1,1 |
Receveur en attente au 1er janvier pour un greffon |
0,8 |
0,6 |
0,5 |
0,7 |
0,7 |
0,7 |
Receveurs en attente au 1er janvier hors malade en CIT |
0,6 |
0,4 |
0,3 |
0,5 |
0,5 |
0,5 |
Total candidats pour un greffon |
1,8 |
1,6 |
1,8 |
1,8 |
1,9 |
1,8 |
L’évolution de la pénurie peut être mesurée par :
- le nombre de receveurs en attente au 1er janvier de l’année pour un greffon (0,7 receveur début 2015 pour 1 greffon utilisable) ;
- le nombre de nouveaux inscrits pour un greffon (1,1 inscrit pour un greffon utilisable) ;
- le nombre total de candidats pour un greffon (1,8 candidat pour un greffon utilisable dans l’année)
Tableau Péd F3. Caractéristiques des donneurs de foie et des malades inscrits avant l'âge de 18 ans selon leur devenir en liste d'attente de greffe de foie en 2015
| Caractéristiques | Greffons hépatiques greffés en 2015* |
Malades en attente au 1er janvier 2015 |
Nouveaux malades inscrits en 2015 |
Malades greffés en 2015 |
Malades décédés en 2015 |
|||||
n |
% |
n |
% |
n |
% |
n |
% |
n |
% |
|
Age |
||||||||||
0-2 ans |
7 |
7,5 |
17 |
26,6 |
37 |
36,6 |
30 |
32,3 |
1 |
33,3 |
3-5 ans |
3 |
3,2 |
13 |
20,3 |
20 |
19,8 |
19 |
20,4 |
2 |
66,7 |
6-10 ans |
5 |
5,4 |
17 |
26,6 |
18 |
17,8 |
17 |
18,3 |
0 |
0,0 |
11-17 ans |
16 |
17,2 |
15 |
23,4 |
26 |
25,7 |
24 |
25,8 |
0 |
0,0 |
18-29 ans |
34 |
36,6 |
2 |
3,1 |
0 |
0,0 |
3 |
3,2 |
0 |
0,0 |
30 ans et plus |
28 |
30,1 |
0 |
0,0 |
0 |
0,0 |
0 |
0,0 |
0 |
0,0 |
(m ± ds, ans) |
25,1 |
15,9 |
7,7 |
5,5 |
6,5 |
5,8 |
7,1 |
5,7 |
2,7 |
1,7 |
Sexe |
||||||||||
Masculin |
50 |
53,8 |
32 |
50,0 |
47 |
46,5 |
39 |
41,9 |
2 |
66,7 |
Féminin |
43 |
46,2 |
32 |
50,0 |
54 |
53,5 |
54 |
58,1 |
1 |
33,3 |
Groupe sanguin |
||||||||||
A |
36 |
38,7 |
21 |
32,8 |
37 |
36,6 |
42 |
45,2 |
1 |
33,3 |
AB |
0 |
0,0 |
2 |
3,1 |
4 |
4,0 |
3 |
3,2 |
0 |
0,0 |
B |
5 |
5,4 |
6 |
9,4 |
12 |
11,9 |
10 |
10,8 |
0 |
0,0 |
O |
52 |
55,9 |
35 |
54,7 |
48 |
47,5 |
38 |
40,9 |
2 |
66,7 |
Retransplantation |
||||||||||
Non |
na |
na |
62 |
96,9 |
89 |
88,1 |
83 |
89,2 |
3 |
100,0 |
Oui |
na |
na |
2 |
3,1 |
12 |
11,9 |
10 |
10,8 |
0 |
0,0 |
Total |
93 |
100,0 |
64 |
100,0 |
101 |
100,0 |
93 |
100,0 |
3 |
100,0 |
* greffons issus de donneur vivant inclus
NA : Non Applicable
(m ± ds, ans): moyenne ± déviation standard
Tableau Péd F4. Evolution du nombre de nouveaux malades pédiatriques en attente d'une greffe de foie selon l'indication
|
2010 |
2011 |
2012 |
2013 |
2014 |
2015 |
||||||
N |
% |
N |
% |
N |
% |
N |
% |
N |
% |
N |
% |
|
Maladie métabolique |
10 |
13,7 |
3 |
3,4 |
15 |
13,4 |
11 |
11,5 |
14 |
14,7 |
13 |
12,9 |
Maladie de Wilson |
2 |
2,7 |
3 |
3,4 |
3 |
2,7 |
3 |
3,1 |
1 |
1,1 |
6 |
5,9 |
Maladie cholestatique |
5 |
6,8 |
1 |
1,1 |
3 |
2,7 |
0 |
0,0 |
1 |
1,1 |
3 |
3,0 |
Atrésie des voies biliaires |
30 |
41,1 |
40 |
45,5 |
31 |
27,7 |
32 |
33,3 |
42 |
44,2 |
31 |
30,7 |
Cholangite sclérosante et maladie congénitale des voies biliaires |
0 |
0,0 |
2 |
2,3 |
7 |
6,3 |
2 |
2,1 |
3 |
3,2 |
4 |
4,0 |
Cirrhose biliaire secondaire |
1 |
1,4 |
1 |
1,1 |
11 |
9,8 |
11 |
11,5 |
9 |
9,5 |
18 |
17,8 |
Cirrhose biliaire primitive |
1 |
1,4 |
1 |
1,1 |
4 |
3,6 |
0 |
0,0 |
2 |
2,1 |
0 |
0,0 |
Cirrhose (non biliaires) |
10 |
13,7 |
10 |
11,4 |
9 |
8,0 |
5 |
5,2 |
6 |
6,3 |
3 |
3,0 |
Tumeur hépatique |
2 |
2,7 |
4 |
4,5 |
7 |
6,3 |
5 |
5,2 |
3 |
3,2 |
4 |
4,0 |
Retransplantation élective |
2 |
2,7 |
4 |
4,5 |
3 |
2,7 |
2 |
2,1 |
3 |
3,2 |
1 |
1,0 |
Retransplantation non élective |
1 |
1,4 |
5 |
5,7 |
8 |
7,1 |
7 |
7,3 |
2 |
2,1 |
4 |
4,0 |
Hépatite fulminante et Insuffisance hépatique aiguë |
2 |
2,7 |
7 |
8,0 |
7 |
6,3 |
6 |
6,3 |
5 |
5,3 |
9 |
8,9 |
Autres maladies |
7 |
9,6 |
7 |
8,0 |
4 |
3,6 |
12 |
12,5 |
4 |
4,2 |
5 |
5,0 |
Total |
73 |
100,0 |
88 |
100,0 |
112 |
100,0 |
96 |
100,0 |
95 |
100,0 |
101 |
100,0 |
Tableau Péd F5. Evolution du nombre de décès avant greffe enregistrés annuellement sur la liste d'attente depuis 2010 chez les malades pédiatriques en attente d'une greffe hépatique
|
2010 |
2011 |
2012 |
2013 |
2014 |
2015 |
Nombre total de décès |
5 |
2 |
3 |
6 |
2 |
3 |
Pourcentage de décès parmi les inscrits* |
4,2 % |
1,5 % |
2,0 % |
4,2 % |
1,4 % |
1,9 % |
Décès parmi les nouveaux inscrits |
4 |
2 |
3 |
6 |
1 |
3 |
Pourcentage de décès parmi les nouveaux inscrits |
6,5 % |
2,3 % |
2,9 % |
6,7 % |
1,1 % |
3,3 % |
Taux d'incidence (nombre de décès pour 1 000 patients x année) |
102,1 |
41,6 |
62,6 |
108,5 |
33,7 |
49,6 |
* Receveurs en attente au 1er janvier de l'année + nouveaux inscrits (hors en attente de donneur vivant)
**Hors inscrits en attente de greffe à partir de donneur vivant
Figure Péd F1. Taux d'incidence cumulée de greffe et de décès ou aggravation sur la liste d'attente de greffe hépatique selon la période d'inscription (1995-2015)
|
Incidence cumulée des greffes avec prise en compte du risque concurrent de décès en attente ou sorties pour aggravation |
|||||
Période d'inscription |
N |
à 3 mois |
à 6 mois |
à 12 mois |
à 24 mois |
à 36 mois |
1995-1998 |
285 |
56 [50-62] |
75 [70-80] |
86 [81-90] |
93 [89-96] |
NC |
1999-2002 |
243 |
42 [36-49] |
61 [55-67] |
79 [73-84] |
93 [88-96] |
94 [89-97] |
2003-2006 |
227 |
35 [29-41] |
54 [47-61] |
74 [68-79] |
90 [85-93] |
93 [89-96] |
2007-2010 |
240 |
32 [26-38] |
48 [41-54] |
71 [65-76] |
87 [81-90] |
92 [88-95] |
2011-2015 |
285 |
33 [27-38] |
49 [43-55] |
70 [64-75] |
82 [76-86] |
88 [82-93] |
|
Incidence cumulée des décès en attente ou sorties pour aggravation avec prise en compte du risque concurrent de greffe |
|||||
Période d'inscription |
N |
à 3 mois |
à 6 mois |
à 12 mois |
à 24 mois |
à 36 mois |
1995-1998 |
285 |
6 [3-9] |
NC |
NC |
NC |
NC |
1999-2002 |
243 |
3 [1-5] |
3 [1-5] |
NC |
NC |
NC |
2003-2006 |
227 |
0 [0-2] |
1 [0-4] |
2 [1-4] |
3 [1-6] |
3 [1-6] |
2007-2010 |
240 |
4 [2-7] |
NC |
NC |
NC |
NC |
2011-2015 |
285 |
3 [1-5] |
3 [2-6] |
NC |
NC |
NC |
NC=Non calculable / IC : Intervalle de confiance
Données extraites de CRISTAL le 01/03/2016
Figure Péd F2. Taux d'incidence cumulée de greffe et de décès ou aggravation sur la liste d'attente de greffe hépatique chez les adultes et les enfants (2010-2015)
|
Incidence cumulée des greffes avec prise en compte du risque concurrent de décès en attente ou sorties pour aggravation |
|
|||||||||
Age à l'inscription |
N |
à 3 mois |
à 6 mois |
à 12 mois |
à 24 mois |
à 36 mois |
|
||||
Inscrits adultes |
8956 |
29 [28-30] |
41 [40-42] |
59 [58-60] |
72 [71-73] |
74 [73-75] |
|
||||
Inscrits pédiatriques |
334 |
33 [28-38] |
50 [44-55] |
70 [64-75] |
83 [78-87] |
89 [83-92] |
|
||||
|
Incidence cumulée des décès en attente ou sorties pour aggravation avec prise en compte du risque concurrent de greffe |
||||||||||
Age à l'inscription |
N |
à 3 mois |
à 6 mois |
à 12 mois |
à 24 mois |
à 36 mois |
|||||
Inscrits adultes |
8956 |
8 [7-8] |
11 [10-12] |
15 [14-16] |
19 [18-20] |
20 [19-21] |
|||||
Inscrits pédiatriques |
334 |
3 [2-5] |
4 [2-6] |
NC |
NC |
NC |
|||||
NC=Non calculable / IC : Intervalle de confiance
Données extraites de CRISTAL le 01/03/2016
Figure Péd F3. Taux d'incidence cumulée de greffe et de décès ou aggravation sur la liste d'attente de greffe hépatique selon l’âge à l'inscription (2010-2015)
|
Incidence cumulée des greffes avec prise en compte du risque concurrent de décès en attente ou sorties pour aggravation |
|||||
Age à l'inscription |
N |
à 3 mois |
à 6 mois |
à 12 mois |
à 24 mois |
à 36 mois |
0-2 ans |
124 |
30 [22-39] |
44 [34-52] |
67 [57-75] |
82 [72-88] |
90 [79-95] |
11-17 ans |
96 |
48 [37-58] |
59 [47-68] |
82 [71-89] |
NC |
NC |
3-5 ans |
56 |
22 [12-34] |
50 [36-63] |
63 [48-75] |
80 [64-90] |
NC |
6-10 ans |
58 |
31 [20-44] |
53 [39-65] |
70 [56-81] |
83 [67-92] |
NC |
|
Incidence cumulée des décès en attente ou sorties pour aggravation avec prise en compte du risque concurrent de greffe |
|||||
Age à l'inscription |
N |
à 3 mois |
à 6 mois |
à 12 mois |
à 24 mois |
à 36 mois |
6-10 ans |
58 |
NC |
NC |
NC |
NC |
NC |
0-2 ans |
124 |
5 [2-10] |
NC |
NC |
NC |
NC |
11-17 ans |
96 |
5 [1-11] |
5 [1-11] |
NC |
NC |
NC |
3-5 ans |
56 |
2 [0-9] |
NC |
NC |
NC |
NC |
NC=Non calculable / IC : Intervalle de confiance
Données extraites de CRISTAL le 01/03/2016
Prélèvement en vue de greffe
Le nombre de donneurs pédiatriques prélevés d’un foie a diminué de manière régulière entre 1996 et 2005 (-60%), dans un contexte d’augmentation générale du prélèvement. De 2006 à 2015, le nombre moyen annuel de donneurs de moins de 18 ans prélevés d’un foie est de 52. En 2015, 47 donneurs de moins de 18 ans ont été prélevés donnant 51 greffons dont 45 greffés en France (38 foies entiers, 3 foies droits et 4 foies gauches), soit une baisse de 30,8% depuis 2011. L’évolution dans le temps de l’activité de prélèvement hépatique pédiatrique suit celle des donneurs âgés de 11 à 17 ans, ces derniers représentant entre 70 et 75% des donneurs pédiatriques prélevés d'un greffon hépatique. En 2015, la part des donneurs âgés de 11 à 17 ans n’est plus que de 61% avec en miroir une hausse de la part des donneurs de moins de 2 ans qui atteint 20%. Dix-sept enfants (20,5%) ont reçu un greffon prélevé sur un donneur décédé âgé de plus de 30 ans. Quatorze greffons, issus de donneurs pédiatriques, ont été greffés chez des receveurs adultes dont 6 chez des receveurs âgés de 60 ans et plus, et 31 (69%) ont été greffés à des enfants (4 foies entiers ont été greffés à l’étranger, 1 foie entier et un hémi-greffon droit prélevés n’ont pas été greffés). Au total, c’est 31% des greffons hépatiques pédiatriques prélevés qui ont été greffés à un adulte en 2015, contre 44,9% en 2014.
Tableau Péd F6. Evolution du nombre de donneurs décédés et prélevés d'un foie en France selon l'âge du donneur
| Année de prélèvement | Donneurs pédiatriques (<18 ans) |
Donneurs adultes |
1994 |
84 |
478 |
1995 |
79 |
491 |
1996 |
87 |
559 |
1997 |
90 |
537 |
1998 |
76 |
645 |
1999 |
78 |
637 |
2000 |
63 |
689 |
2001 |
63 |
732 |
2002 |
71 |
779 |
2003 |
59 |
747 |
2004 |
58 |
848 |
2005 |
35 |
961 |
2006 |
51 |
986 |
2007 |
71 |
990 |
2008 |
43 |
1007 |
2009 |
41 |
1023 |
2010 |
54 |
1060 |
2011 |
63 |
1119 |
2012 |
50 |
1142 |
2013 |
47 |
1212 |
2014 |
49 |
1258 |
2015 |
47 |
1322 |
Tableau Péd F7. Evolution du nombre de greffons pédiatriques prélevés en France sur donneurs décédés, et greffés, selon l'âge du donneur
|
0-2 ans |
3-5 ans |
6-10 ans |
11-17 ans |
1993 |
7 |
7 |
14 |
49 |
1994 |
11 |
4 |
14 |
54 |
1995 |
9 |
6 |
11 |
55 |
1996 |
6 |
5 |
17 |
61 |
1997 |
6 |
5 |
12 |
68 |
1998 |
8 |
5 |
10 |
53 |
1999 |
9 |
5 |
10 |
58 |
2000 |
4 |
2 |
8 |
50 |
2001 |
5 |
7 |
5 |
47 |
2002 |
5 |
6 |
10 |
55 |
2003 |
4 |
3 |
9 |
45 |
2004 |
4 |
5 |
7 |
45 |
2005 |
5 |
1 |
4 |
29 |
2006 |
6 |
2 |
5 |
40 |
2007 |
3 |
4 |
8 |
69 |
2008 |
7 |
4 |
5 |
34 |
2009 |
4 |
4 |
3 |
34 |
2010 |
1 |
5 |
10 |
44 |
2011 |
6 |
6 |
10 |
49 |
2012 |
7 |
4 |
6 |
41 |
2013 |
7 |
2 |
8 |
37 |
2014 |
6 |
2 |
5 |
41 |
2015 |
10 |
4 |
5 |
30 |
Tableau Péd F8. Age des greffons hépatiques prélevés sur donneurs décédés et greffés en France en 2015 selon l'âge du receveur au moment de la greffe
| Age du donneur | Age du receveur |
Total |
||||||
0-2 ans |
3-5 ans |
6-10 ans |
11-17 ans |
18-29 ans |
30-59 ans |
60 ans et plus |
||
0-2 ans |
4 |
2 |
1 |
0 |
0 |
0 |
0 |
7 |
3-5 ans |
2 |
0 |
0 |
1 |
0 |
0 |
0 |
3 |
6-10 ans |
0 |
2 |
0 |
3 |
0 |
0 |
0 |
5 |
11-17 ans |
5 |
1 |
1 |
9 |
1 |
7 |
6 |
30 |
18-29 ans |
7 |
9 |
9 |
7 |
13 |
61 |
39 |
145 |
30-59 ans |
10 |
2 |
1 |
3 |
28 |
311 |
166 |
521 |
60 ans et plus |
0 |
0 |
0 |
1 |
18 |
339 |
253 |
611 |
Total |
28 |
16 |
12 |
24 |
60 |
718 |
464 |
1322 |
Activité de greffe
En 2015, 93 greffes hépatiques ont été réalisées en France au profit de receveurs âgés de moins de 18 ans lors de leur inscription en liste d'attente, contre 75 en 2010 et 80 en 2014, soit une progression de 16,2% en 1 an. Trois greffes ont été réalisées chez des receveurs inscrits avant l’âge de 18 ans mais greffés après leur majorité. Parmi ces 93 greffes, 83 greffons ont été prélevés sur donneurs décédés et correspondent à 37 hémi-greffons issus d’un partage hépatique et 46 foies entiers (+31,4% en 1 an).
Le recours au partage hépatique pour les receveurs pédiatriques, entrepris principalement pour les donneurs de plus de 18 ans (en moyenne près de 87 % des foies partagés depuis 2 ans) a progressé significativement entre 1998 et 2008, passant de 7,4% à 57,1% des greffes pédiatriques (hors donneur vivant) pour atteindre 62,2% en 2012. En 2015, le recours au partage hépatique pour un enfant est revenu au niveau d’activité observé en 2011 avec 37 greffons partagés prélevés et greffés à des enfants, responsable de 44,6% des greffes hépatiques pédiatriques à partir de donneurs décédés. Cette évolution explique le maintien de l’activité de greffe pour les enfants malgré la baisse du recours au donneur vivant et la baisse du prélèvement pédiatrique et elle doit être encouragée et facilitée. En effet, le partage hépatique est une stratégie capitale pour l’accès à la greffe des plus petits (43% des foies gauches sont greffés aux enfants de moins de 3 ans), raison pour laquelle la priorité pédiatrique pour les foies gauches prélevés sur des adultes âgés de 18 à 30 ans a été mise en place en 2006.
L’activité de greffe à partir d’un donneur vivant est de 10 greffes en 2015 pour une moyenne de 7 greffes par an ces 7 dernières années et 13 greffes par an entre 1996 et 2006, dont un pic de 18 greffes en 2005.
Dix équipes, dont 4 avec une activité pédiatrique exclusive, ont réalisé des greffes pédiatriques, en notant que 68% de ces greffes ont été réalisées en région Ile-de-France et 36,6% par l'équipe du Kremlin-Bicêtre. Les équipes de la région Ile-de-France réalisent la majorité de leurs greffes au profit de receveurs venant de l'ensemble du territoire national.
L’indicateur de pénurie (nombre total de candidats pour un greffon) est de 1,8 candidats par greffon contre 1,6 en 2011, du fait de l’augmentation plus importante du nombre de nouveaux inscrits que du nombre de greffes. La part importante de mise en contrindication provisoire a un impact sur l’indicateur de pénurie « nombre de malades en attente au 1er janvier par greffon », celui-ci passant de 0,7 à 0,5 receveurs en attente pour un greffon au 1er janvier 2015 après prise en compte des CIT.
Tableau Péd F9. Evolution de l'activité de greffe hépatique des malades inscrits avant l'âge de 18 ans selon l'âge à la greffe
| Année de la greffe | 0-17 ans au moment de la greffe |
18 ans et plus au moment de la greffe |
1994 |
79 |
0 |
1995 |
94 |
2 |
1996 |
87 |
2 |
1997 |
88 |
0 |
1998 |
68 |
0 |
1999 |
61 |
0 |
2000 |
86 |
2 |
2001 |
72 |
0 |
2002 |
70 |
1 |
2003 |
80 |
4 |
2004 |
58 |
1 |
2005 |
69 |
1 |
2006 |
77 |
4 |
2007 |
77 |
1 |
2008 |
72 |
2 |
2009 |
73 |
0 |
2010 |
75 |
0 |
2011 |
85 |
0 |
2012 |
84 |
2 |
2013 |
83 |
0 |
2014 |
80 |
0 |
2015 |
90 |
3 |
Tableau Péd F10. Evolution de l'activité de greffe hépatique des malades inscrits avant l'âge de 18 ans selon le type de donneur
|
Donneur vivant |
Foie entier de donneur décédé de moins de 18 ans |
Foie entier de donneur décédé de plus de 18 ans |
Foie partagé de donneur décédé de moins de 18 ans |
Foie partagé de donneur décédé de plus de 18 ans |
1996 |
10 |
40 |
26 |
6 |
7 |
1997 |
16 |
42 |
21 |
4 |
5 |
1998 |
14 |
31 |
19 |
1 |
3 |
1999 |
12 |
31 |
8 |
5 |
5 |
2000 |
14 |
30 |
23 |
2 |
19 |
2001 |
14 |
27 |
9 |
3 |
19 |
2002 |
4 |
28 |
11 |
7 |
21 |
2003 |
11 |
25 |
22 |
2 |
24 |
2004 |
10 |
17 |
10 |
5 |
17 |
2005 |
18 |
14 |
10 |
4 |
24 |
2006 |
17 |
21 |
13 |
2 |
28 |
2007 |
9 |
15 |
15 |
13 |
26 |
2008 |
4 |
19 |
11 |
7 |
33 |
2009 |
7 |
20 |
11 |
6 |
29 |
2010 |
9 |
24 |
9 |
6 |
27 |
2011 |
7 |
34 |
9 |
9 |
26 |
2012 |
4 |
20 |
11 |
11 |
40 |
2013 |
7 |
21 |
13 |
9 |
33 |
2014 |
4 |
22 |
13 |
5 |
36 |
2015 |
10 |
26 |
20 |
5 |
32 |
Tableau Péd F11. Nombre de greffes hépatiques effectuées en 2015 par équipe selon le type de greffon chez des malades inscrits avant l'âge de 18 ans
| Equipe | Total greffes |
Donneur vivant hors domino |
Foie partagé donneur décédé |
Bordeaux (A+P) |
3 |
0 |
0 |
Clermont-Ferrand (A+P) |
0 |
0 |
0 |
Le Kremlin Bicêtre (AP-HP) (P) |
34 |
4 |
14 |
Lille (A) |
1 |
0 |
1 |
Lyon (HCL) (P) |
13 |
3 |
4 |
Marseille Timone enfants (APM) (P) |
8 |
0 |
3 |
Montpellier (A) |
1 |
0 |
0 |
Paris Necker-Enfants Malades (AP-HP) (P) |
26 |
3 |
14 |
Rennes (A+P) |
0 |
0 |
0 |
Strasbourg (A+P) |
1 |
0 |
0 |
Tours (A) |
3 |
0 |
0 |
Villejuif Paul Brousse (AP-HP) (A) |
3 |
0 |
1 |
Tableau Péd F12. Evolution du nombre de greffes hépatiques par équipe chez des malades inscrits avant l'âge de 18 ans
|
2010 |
2011 |
2012 |
2013 |
2014 |
2015 |
Besançon (A) |
1 |
0 |
0 |
0 |
1 |
0 |
Bordeaux (A+P) |
0 |
0 |
2 |
0 |
0 |
3 |
Clichy Beaujon (AP-HP) (A) |
0 |
1 |
2 |
0 |
1 |
0 |
Le Kremlin Bicêtre (AP-HP) (P) |
35 |
37 |
39 |
34 |
31 |
34 |
Lille (A) |
0 |
0 |
1 |
1 |
2 |
1 |
Lyon (HCL) (P) |
8 |
9 |
6 |
7 |
12 |
13 |
Marseille Conception (APM) (A) |
0 |
1 |
0 |
0 |
0 |
0 |
Marseille Timone enfants (APM) (P) |
5 |
11 |
6 |
11 |
9 |
8 |
Montpellier (A) |
0 |
0 |
0 |
0 |
0 |
1 |
Paris Necker-Enfants Malades (AP-HP) (P) |
17 |
17 |
22 |
22 |
16 |
26 |
Paris Pitié-Salpêtrière (AP-HP) |
0 |
0 |
0 |
1 |
0 |
0 |
Paris Saint-Antoine (AP-HP) |
3 |
1 |
1 |
1 |
0 |
0 |
Rennes (A+P) |
0 |
0 |
1 |
1 |
1 |
0 |
Strasbourg (A+P) |
4 |
6 |
0 |
1 |
1 |
1 |
Toulouse (A) |
0 |
0 |
0 |
1 |
0 |
0 |
Tours (A) |
0 |
0 |
0 |
0 |
1 |
3 |
Villejuif Paul Brousse (AP-HP) (A) |
2 |
2 |
6 |
3 |
5 |
3 |
France |
75 |
85 |
86 |
83 |
80 |
93 |
Survie post greffe
Globalement, les taux de survie du receveur pédiatrique après une greffe de foie réalisée entre 2006 et 2014 sont de 91,2% à 1 mois, 85,4% à 1 an et 83,2% à 5 ans, taux significativement supérieurs de près de 12% à ceux observés pour la période 1985-1995 (p< 0,01). Pour la période 1996-2005, le recul est suffisant pour observer un taux de survie à 10 ans (76,9%) et à 15 ans (74,2%).
La survie en greffe de foie pédiatrique est telle que la durée médiane de survie (durée à partir de laquelle 50% des malades sont encore vivants) n'est pas observée. L’analyse univariée de la survie pour la cohorte 1985-2014 identifie un impact de l’âge du receveur à l’inscription (p = 0,029) avec des résultats à long terme (15 ans) moins bons pour les receveurs âgés de 11 à 17 ans (67%) versus 74% ou plus pour les autres tranches d’âge. Le type de donneurs influence modérément les résultats de survie avec toutefois un gain à 10 ans de près de 6% en cas de donneur vivant versus donneur décédé de foie entier ou partagé (p=0,08).
Figure Péd F4. Survie du receveur pédiatrique après greffe hépatique selon l'âge à l'inscription (1985-2014)
| Age à l'inscription | N |
Survie à 1 mois |
Survie à 1 an |
Survie à 5 ans |
Survie à 10 ans |
Survie à 15 ans |
Médiane de |
0-2 ans |
931 |
87,1% |
80,8% |
77,9% |
76,9% |
75,5% |
NO |
nombre de sujets à risque* |
|
808 |
744 |
595 |
421 |
247 |
|
3-5 ans |
268 |
87,7% |
81,3% |
78,9% |
77,9% |
74,2% |
NO |
nombre de sujets à risque* |
|
235 |
216 |
179 |
142 |
103 |
|
6-10 ans |
279 |
89,9% |
83,0% |
79,1% |
77,0% |
74,8% |
NO |
nombre de sujets à risque* |
|
249 |
228 |
171 |
128 |
86 |
|
11-17 ans |
431 |
89,5% |
81,7% |
75,2% |
72,1% |
66,8% |
NO |
nombre de sujets à risque* |
|
382 |
346 |
262 |
186 |
113 |
|
[] : Intervalle de confiance
NO : non observable
* : Nombre de malades restant à observer pour chaque temps et pour lesquels aucun évènement n'est survenu
** Pour l’année 2014, seuls les patients greffés entre janvier et Juin ont été inclus car pour le 2ème semestre 2014, le pourcentage de suivi post greffe manquant à un an était trop élevé.
Figure Péd F5. Survie du receveur après greffe hépatique pédiatrique selon la période de greffe (1985-2014)
| Période de greffe | N |
Survie à 1 mois |
Survie à 1 an |
Survie à 5 ans |
Survie à 10 ans |
Survie à 15 ans |
Médiane de |
1985-1995 |
661 |
84,4% |
75,4% |
71,1% |
70,3% |
67,6% |
NO |
nombre de sujets à risque* |
|
555 |
494 |
461 |
447 |
370 |
|
1996-2005 |
663 |
89,1% |
83,9% |
79,5% |
76,9% |
74,2% |
NO |
nombre de sujets à risque* |
|
588 |
552 |
511 |
430 |
179 |
|
2006-2014 |
585 |
91,2% |
85,4% |
83,2% |
NO |
NO |
NO |
nombre de sujets à risque* |
|
531 |
488 |
235 |
0 |
0 |
|
[] : Intervalle de confiance
NO : non observable
* : Nombre de malades restant à observer pour chaque temps et pour lesquels aucun évènement n'est survenu
** Pour l’année 2014, seuls les patients greffés entre janvier et Juin ont été inclus car pour le 2ème semestre 2014, le pourcentage de suivi post greffe manquant à un an était trop élevé.
Figure Péd F6. Survie du receveur après greffe hépatique pédiatrique selon le type de donneur (1985-2014)
| Type de donneur | N |
Survie à 1 mois |
Survie à 1 an |
Survie à 5 ans |
Survie à 10 ans |
Survie à 15 ans |
Médiane de |
Receveurs de foie total de donneurs décédés SME |
613 |
91,8% |
85,9% |
81,6% |
78,4% |
74,8% |
NO |
nombre de sujets à risque* |
|
559 |
517 |
385 |
246 |
115 |
|
Receveurs de foie split de donneurs décédés SME |
454 |
87,4% |
81,7% |
78,7% |
78,0% |
NO |
NO |
nombre de sujets à risque* |
|
396 |
367 |
233 |
99 |
17 |
|
Receveurs de foie de donneurs vivants hors domino |
181 |
91,1% |
87,8% |
86,0% |
84,4% |
83,1% |
NO |
nombre de sujets à risque* |
|
164 |
156 |
128 |
85 |
47 |
|
[] : Intervalle de confiance
NO : non observable
* : Nombre de malades restant à observer pour chaque temps et pour lesquels aucun évènement n'est survenu
** Pour l’année 2014, seuls les patients greffés entre janvier et Juin ont été inclus car pour le 2ème semestre 2014, le pourcentage de suivi post greffe manquant à un an était trop élevé.
Conclusion
Le contexte global de la greffe hépatique pédiatrique en 2015 est celui :
- Du maintien d’une activité d’inscription élevée avec 101 nouveaux inscrits en 2015, avec une prééminence d’inscription pour atrésie des voies biliaires et une augmentation de l’âge moyen des nouveaux inscrits passé de 3,6 ans en 2007 à 6,5 ans en 2015 correspondant à une baisse significative des inscriptions pour les enfants de moins de 2 ans.
- D’une faible incidence de décès ou de sortie de liste pour aggravation, estimée à 3%, atteint avant 3 mois, malgré l’obtention de la priorité nationale Super-Urgence dans la majorité des cas.
- D’un recours fréquent à la priorité nationale Super-urgence (25% des inscrits et 42% des greffes hépatiques pédiatriques à partir d’un donneur décédé).
- D’une activité de prélèvement hépatique des donneurs pédiatriques en baisse régulière jusqu’en 2005, stable depuis, liée principalement à l’activité de recensement et de prélèvement des donneurs âgés de 11 à 17 ans.
- Du maintien de l’activité de greffe grâce au recours fréquent au partage hépatique (entre 45 et 55% des greffes pédiatriques) et à l’attribution des greffons gauches aux enfants via la priorité pédiatrique pour les foies partagés prélevés sur des adultes âgés de 18 à 30 ans (+ de 85% des greffons issus d’un partage hépatique ont été prélevés chez un donneur âgé de plus 18 ans).
- D’un taux de refus important par les équipes de greffe pédiatrique des foies issues de donneurs pédiatriques ainsi que d’un recours modeste au partage hépatique des donneurs âgés de 18 à 30 ans. (inadéquation morphologique, problèmes hémodynamiques chez le donneur, difficultés logistiques, absence de receveur en isogroupe, ...).
- D’une augmentation du recours au don vivant avec 10 greffes en 2015, alors que les résultats observés pour la greffe de foie gauche issu d’un donneur vivant sont considérés comme bons et supérieurs à ceux observés à partir de donneurs décédés et que le risque de complications pour le donneur est faible, s’agissant d’une lobectomie ou d’une hépatectomie gauche dans un contexte de développement de la technique de prélèvement par voie coelioscopique.
- D’une augmentation de 16,2% de l’activité de greffe hépatique pédiatrique avec 93 greffes cette année, chiffre qui n’avait pas été atteint depuis 1995. La concentration de l’activité d’inscription et de greffe hépatique pédiatrique en région Ile-de-France reste importante avec 68% des greffes réalisées en 2015. Cette répartition nécessite de vérifier l’absence de difficultés d’accès aux donneurs relevant des priorités nationales pédiatriques, dont le foie partagé, sur l’ensemble des zones interrégionales de prélèvement et l’absence de difficultés logistiques pour l’acceptation des greffons.
- D’un indicateur de pénurie de greffons revenu à son niveau de 2010, les besoins restant supérieurs aux possibilités de greffe. Globalement, les 93 greffons disponibles en 2015 ont couvert les besoins de 56,3% des 165 candidats à la greffe (contre 62% en 2011), soit 1,8 candidat pour un greffon utilisable dans l’année.
- D’une amélioration à travers le temps de la qualité des résultats.
Une analyse plus spécifique de la greffe hépatique pédiatrique a été présentée et discutée avec les professionnels lors du groupe de travail « Greffe hépatique » de décembre 2015. La période étudiée est 2009-2014. Les conclusions de cette analyse sont :
- Un taux d’accès à la greffe satisfaisant
- 70% d’incidence cumulée à 12 mois
- Faible mortalité sur liste d’attente (< 3%)
- Une pénurie dynamique de receveurs pédiatriques
- peu de receveurs pédiatriques en attente un jour donné en groupe compatible
- auquel s’ajoutent les impératifs d’appariement morphologique entre donneur et receveur
- 32% des greffons prélevés sur des donneurs pédiatriques (87/273) n’ont pas été attribués à un enfant
- Avec des motifs de refus principalement en rapport avec la qualité du greffon et plus rarement pour des raisons logistiques équipes, transport ou hôpital.
- La survie de ces greffons pédiatriques finalement attribués à des adultes est supérieure à 80% à un an
- Le recours au partage hépatique dans le cadre de la priorité nationale appliquée aux donneurs jeunes (18-30 ans) pour l’attribution du foie gauche à un enfant est faible avec 78% des greffons issus de donneurs adultes jeunes (509/653) non attribués à un enfant.
- Possible rôle de difficultés logistiques et d’accès à certaines zones dont la région Sud-Ouest (accès à l’aéroport difficile pour les jets).
- Les mêmes impératifs d’appariement morphologique entre donneur et receveur
- La qualité du greffon ne se prêtant pas au partage dans certaines situations
- La survie de ces greffons finalement non partagés et attribués à des adultes est supérieure à 80% à un an.
- Baisse du recours au donneur vivant depuis 2006, date de la mise en place de la priorité nationale foie partagé
- 30 à 40 greffes, soit un peu moins de la moitié des transplantations pédiatriques réalisées dans l’année sont faites dans le cadre de la super urgence. C’est la seconde modalité d’attribution des greffons, derrière la priorité nationale pédiatrique. A noter, entre 5 et 12 composantes experts attribuées à des enfants ces deux dernières années.
- La survie post-greffe ne différait pas en fonction du type de donneur et du recours au partage hépatique
- 81-83% en cas de donneurs en état de mort encéphalique
- 89,3% en cas de donneurs vivants
- Des facteurs de risque de perte du greffon ont été identifiés en analyse multivariée :
- Age du receveur < 5 ans
- Maladie hépatique initiale : métabolique, cholestatique ou cirrhose non biliaire,
- Intubation-ventilation au moment de la greffe
- Débit de filtration glomérulaire pré-greffe diminué
- Causes de décès du donneur (vasculaire + intoxication)
Les professionnels présents ont témoigné du bien-fondé des règles de répartition française avec un accès à la greffe pour les enfants, qui s’avère bien meilleur que celui observé chez nos voisins européens ou d’Amérique du Nord
Greffe rénale pédiatrique
Résumé de l’activité
En France, quel que soit l’organe considéré, les receveurs et les donneurs pédiatriques sont définis depuis 2008 par un âge inférieur à 18 ans au prélèvement ou à l’inscription. Avant cette date, la limite d’âge était à 16 ans. Depuis 1959, année de la première greffe rénale enregistrée dans Cristal, un total de 4 554 greffes rénales a été enregistré chez des receveurs de moins de 18 ans à l’inscription sur liste d’attente. Le nombre de malades de moins de 18 ans au 31 décembre 2015 et porteurs d’un greffon fonctionnel au 31 décembre 2015 est estimé à 532 soit 8 pmh de la population du même âge.
Tableau Péd R1. Evolution de la liste d'attente et devenir des candidats en greffe rénale pour les malades inscrits avant l'âge de 18 ans
|
2010 |
2011 |
2012 |
2013 |
2014 |
2015 |
2016 |
Liste d'attente |
|
|
|
|
|
|
|
- malades restant en attente au 1er janvier de chaque année |
129 |
121 |
123 |
140 |
149 |
164 |
172 |
dont malades en attente au 1er janvier et en CIT |
42 |
52 |
50 |
38 |
60 |
64 |
67 |
% des malades en CIT parmi les malades en attente au 1er janvier |
33% |
43% |
41% |
27% |
40% |
39% |
39% |
- nouveaux inscrits dans l'année |
106 |
104 |
112 |
126 |
118 |
126 |
|
- décédés dans l'année |
3 |
2 |
0 |
0 |
0 |
2 |
|
- sortis de la liste d'attente |
2 |
0 |
6 |
5 |
1 |
2 |
|
Greffes |
109 |
100 |
89 |
112 |
102 |
114 |
|
- dont greffes avec donneur vivant |
20 |
10 |
15 |
18 |
30 |
22 |
|
Greffes (pmh de moins de 18 ans ) |
7,6 |
7,0 |
6,2 |
7,7 |
7,0 |
7,8 |
|
CIT : contre-indication temporaire
Données extraites de CRISTAL le 01/03/2016
Devenir des candidats en liste d’attente
Depuis le 1er mai 2008, la priorité pédiatrique, jusqu’alors appliquée aux enfants âgés de moins de 16 ans est étendue aux enfants et adolescents de moins de 18 ans. Ils bénéficient d’une priorité nationale pour les 2 greffons prélevés sur les sujets de moins de 18 ans et d’une priorité interrégionale pour le deuxième greffon prélevé sur les sujets âgés de 18 à 30 ans, le premier rein étant attribué au score d’attribution des greffons de donneur adulte au niveau local depuis 2007. La priorité interrégionale pédiatrique s’applique en l’absence de receveurs bénéficiant d’une priorité dans le cadre d’une greffe combinée (cœur, poumon et pancréas prioritaire) ou d’une priorité accordée par les experts au titre de l’immunisation ou d’un groupe sanguin rare. Sur demande de l’équipe, une prolongation de la priorité pédiatrique au-delà de 18 ans est accordée à titre dérogatoire lorsque la dialyse a été initiée avant l’âge de 18 ans.
Le nouveau score d’attribution des greffons rénaux mis en place depuis le 3 février 2015 ne modifie pas l’attribution des greffons pour les receveurs pédiatriques.
En 2015, la population pédiatrique ainsi définie représente 2,7% des nouveaux inscrits (126 sur 4 735), 3,3% des greffes rénales (114 sur 3 486), 4% des greffes avec donneurs vivants (22 sur 547) et 1,4% des malades restant en attente au 1er Janvier 2015 (164 sur 11 794).
Parmi les 126 nouveaux inscrits de moins de 18 ans sur la liste nationale d’attente en 2015, 14,3 % étaient âgés de moins de 3 ans, 35,7% de 3 à 10 ans et 50 % de 11 à 17 ans. Il existe une prédominance des garçons qui représentent 56,3% des nouveaux inscrits et 57,9 % des malades restant en attente au 1er janvier 2015. Après une diminution d’activité en 2014 avec 102 greffes, l’activité remonte en 2015 au niveau de 2013.
L’observation sur une période prolongée montre, en dépit de pics intermittents, une activité stable avec environ 100 greffes par an et un nombre de nouveaux inscrits équivalent. En 2015, 30 greffes (26,3 %) sont préemptives alors que 67 malades (53,2 %) avaient été inscrits sur liste d’attente avant la mise en dialyse, proportion qui augmente depuis 2 ans, traduisant l’effort des équipes pour offrir un accès précoce à la greffe. Pour les greffes avec donneur vivant, la part de greffes préemptives a été de 63%. Les malades hyperimmunisés définis par un taux de greffons incompatibles supérieur à 85% représentent 5,5% des greffés et 9% des nouveaux inscrits pédiatriques et 24% des malades restant en attente au 1er janvier 2015 avec une accumulation de ces patients sur la liste. Dix malades greffés en 2015 (8,8%) ont eu une retransplantation.
Comme chez l’adulte, la part des candidats en contre-indication temporaire sur la liste au 1er janvier de chaque année a fortement augmenté dans les 5 dernières années, passant de 18 % en 2008 à un maximum de 43 % en 2011 et 39% en 2015. Compte tenu de cette forte proportion de malades en contre-indication, le degré de la pénurie est mieux apprécié par la prise en compte des malades en attente sur liste « active », hors contre-indication, que par le total des candidats pour un greffon 2015, avec, au 1er janvier 0,9 receveur pour 1 greffon, soit une absence de pénurie alors qu’on enregistre 2,5 candidats pour 1 greffon si on considère l’ensemble des candidats (nouveaux inscrits et malades restant en attente au 1er janvier qu’ils soient ou non en contre-indication).
Tableau Péd R2. Evolution des indicateurs de pénurie de greffe rénale des malades inscrits avant l'âge de 18 ans
|
2010 |
2011 |
2012 |
2013 |
2014 |
2015 |
Nouveaux inscrits pour un greffon |
1,0 |
1,0 |
1,3 |
1,1 |
1,2 |
1,1 |
Receveur en attente au 1er janvier pour un greffon |
1,2 |
1,2 |
1,4 |
1,3 |
1,5 |
1,4 |
Receveurs en attente au 1er janvier hors malade en CIT |
0,8 |
0,7 |
0,8 |
0,9 |
0,9 |
0,9 |
Total candidats pour un greffon |
2,2 |
2,3 |
2,6 |
2,4 |
2,6 |
2,5 |
CIT : contre-indication temporaire
Données extraites de CRISTAL le 01/03/2016
L’évolution de la pénurie est illustrée par :
- le nombre de nouveaux inscrits pour un greffon (1,1 inscrits en 2015 pour un greffon utilisable) ;
- le nombre de receveurs en attente au 1er Janvier de l’année pour un greffon (1,4 receveurs début 2015 pour un greffon rénal utilisable) ;
- le nombre de receveurs en attente au 1er Janvier hors malades en contre-indication (0,9 pour un greffon utilisable) ;
- le nombre total de candidats pour un greffon (2,5 candidats pour un greffon utilisable dans l’année).
Tableau Péd R3. Caractéristiques démographiques des donneurs de rein et des malades inscrits avant l'âge de 18 ans selon leur devenir en liste d'attente de greffe rénale en 2015
Caractéristiques |
Greffons rénaux greffés en 2015* |
Malades en attente au 1er janvier 2015 |
Nouveaux malades inscrits en 2015 |
Malades greffés en 2015 |
||||
n |
% |
n |
% |
n |
% |
n |
% |
|
Age |
||||||||
0-2 ans |
8 |
7,0 |
12 |
7,3 |
18 |
14,3 |
4 |
3,5 |
3-5 ans |
7 |
6,1 |
23 |
14,0 |
16 |
12,7 |
15 |
13,2 |
6-10 ans |
8 |
7,0 |
24 |
14,6 |
29 |
23,0 |
22 |
19,3 |
11-17 ans |
41 |
36,0 |
69 |
42,1 |
63 |
50,0 |
56 |
49,1 |
18-29 ans |
20 |
17,5 |
34 |
20,7 |
0 |
0,0 |
17 |
14,9 |
30 ans et plus |
30 |
26,3 |
2 |
1,2 |
0 |
0,0 |
0 |
0,0 |
(m ± ds, ans) |
22,2 |
14,8 |
12,7 |
6,6 |
10,2 |
5,4 |
12,6 |
5,3 |
Sexe |
||||||||
Masculin |
67 |
58,8 |
95 |
57,9 |
71 |
56,3 |
64 |
56,1 |
Féminin |
47 |
41,2 |
69 |
42,1 |
55 |
43,7 |
50 |
43,9 |
Groupe sanguin |
||||||||
A |
50 |
43,9 |
74 |
45,1 |
53 |
42,1 |
60 |
52,6 |
AB |
0 |
0,0 |
10 |
6,1 |
6 |
4,8 |
5 |
4,4 |
B |
6 |
5,3 |
19 |
11,6 |
13 |
10,3 |
7 |
6,1 |
O |
58 |
50,9 |
61 |
37,2 |
54 |
42,9 |
42 |
36,8 |
Total |
114 |
100,0 |
164 |
100,0 |
126 |
100,0 |
114 |
100,0 |
* greffons issus de donneur vivant inclus
(m ± ds, ans): moyenne ± déviation standard
Données extraites de CRISTAL le 01/03/2016
Tableau Péd R4. Caractéristiques démographiques des malades inscrits avant l'âge de 18 ans selon leur devenir en liste d'attente de greffe rénale en 2015
Caractéristiques |
Malades en attente au 1er janvier 2015 |
Nouveaux malades inscrits en 2015 |
Malades greffés en 2015 |
|||
n |
% |
n |
% |
n |
% |
|
Dialyse* |
||||||
Manquant |
1 |
0,6 |
1 |
0,8 |
0 |
0,0 |
Non |
70 |
42,7 |
67 |
53,2 |
30 |
26,3 |
Oui |
93 |
56,7 |
58 |
46,0 |
84 |
73,7 |
Retransplantation |
||||||
Non |
129 |
78,7 |
111 |
88,1 |
104 |
91,2 |
Oui |
35 |
21,3 |
15 |
11,9 |
10 |
8,8 |
Taux de greffons incompatibles** |
||||||
0% |
58 |
35,4 |
75 |
45,7 |
63 |
38,4 |
1-24% |
22 |
13,4 |
7 |
4,3 |
16 |
9,8 |
25-49% |
23 |
14 |
14 |
8,5 |
13 |
7,9 |
50-84% |
22 |
13,4 |
15 |
9,1 |
13 |
7,9 |
85-100% |
39 |
23,8 |
15 |
9,1 |
9 |
5,5 |
Total |
164 |
100 |
126 |
100 |
114 |
100 |
* l'information de dialyse est recalculée pour être celle à l'inscription sauf pour les greffés pour lesquels il s'agit de l'information mise à jour au moment de la greffe. La base de données DIADEM a été utilisée pour contrôler les dates de début de première dialyse pour les dossiers de première greffe.
** le taux de greffons incompatibles est calculé sur la base des spécificités anticorps anti-HLA de classe I et II
Données extraites de CRISTAL le 01/03/2016
Tableau Péd R5. Evolution du nombre de nouveaux malades pédiatriques inscrits en attente d'une greffe rénale selon la néphropathie d'origine
|
2010 |
2011 |
2012 |
2013 |
2014 |
2015 |
||||||
N |
% |
N |
% |
N |
% |
N |
% |
N |
% |
N |
% |
|
Glomérulonéphrites chroniques primitives ou secondaires |
31 |
29,2 |
21 |
20,2 |
32 |
28,6 |
25 |
19,8 |
16 |
13,6 |
16 |
12,7 |
Maladies héréditaires |
7 |
6,6 |
24 |
23,1 |
15 |
13,4 |
24 |
19,0 |
27 |
22,9 |
23 |
18,3 |
Malformations congénitales |
24 |
22,6 |
25 |
24,0 |
25 |
22,3 |
36 |
28,6 |
32 |
27,1 |
38 |
30,2 |
Néphropathies tubulo-interstistitielles chroniques |
21 |
19,8 |
17 |
16,3 |
21 |
18,8 |
15 |
11,9 |
18 |
15,3 |
19 |
15,1 |
Néphropathies vasculaires |
5 |
4,7 |
4 |
3,8 |
5 |
4,5 |
8 |
6,3 |
4 |
3,4 |
6 |
4,8 |
Autres |
7 |
6,6 |
4 |
3,8 |
6 |
5,4 |
8 |
6,3 |
9 |
7,6 |
13 |
10,3 |
Inconnue ou indéterminée |
11 |
10,4 |
9 |
8,7 |
8 |
7,1 |
10 |
7,9 |
12 |
10,2 |
11 |
8,7 |
Total |
106 |
100,0 |
104 |
100,0 |
112 |
100,0 |
126 |
100,0 |
118 |
100,0 |
126 |
100,0 |
Données extraites de CRISTAL le 01/03/2016
Les maladies héréditaires et les malformations congénitales représentent ensemble près de la moitié des maladies rénales primaires observées chez les nouveaux candidats pédiatriques (48,5%). Cette proportion est stable au fil du temps avec 39% en 2010 et 35% en 2012.
Tableau Péd R6. Evolution du nombre de nouveaux inscrits avant l'âge de 18 ans en attente d'une greffe rénale préemptive
|
2010 |
2011 |
2012 |
2013 |
2014 |
2015 |
||||||
N |
% |
N |
% |
N |
% |
N |
% |
N |
% |
N |
% |
|
Dialyse en cours |
0 |
0,0 |
0 |
0,0 |
2 |
1,8 |
0 |
0,0 |
0 |
0,0 |
1 |
0,8 |
Manquant |
||||||||||||
Non |
40 |
37,7 |
49 |
47,1 |
36 |
32,1 |
49 |
38,9 |
62 |
52,5 |
67 |
53,2 |
Oui |
66 |
62,3 |
55 |
52,9 |
74 |
66,1 |
77 |
61,1 |
56 |
47,5 |
58 |
46,0 |
Total |
106 |
100,0 |
104 |
100,0 |
112 |
100,0 |
126 |
100,0 |
118 |
100,0 |
126 |
100,0 |
*L'information de dialyse est recalculée pour être celle à l'inscription sauf pour les greffés pour lesquels il s'agit de l'information mise à jour au moment de la greffe.La base de données DIADEM a été utilisée pour contrôler les dates de début de première dialyse pour les dossiers de première greffe.
Données extraites de CRISTAL le 01/03/2016
Tableau Péd R7. Evolution des durées moyennes d’ischémie froide en heure (hors donneur vivant, donneur décédé après arrêt circulatoire non contrôlé et greffe combinée)
Année de greffe |
Nombre de greffes |
Durée d'ischémie froide |
Nombre de greffes locales* |
Durée d'ischémie froide parmi les greffes locales* |
||||
NR |
moyenne |
IC |
NR |
moyenne |
IC |
|||
2005 |
92 |
0 |
19,9 |
1,4 |
9 |
0 |
19,3 |
6,4 |
2006 |
93 |
0 |
18,7 |
1,3 |
10 |
0 |
17,5 |
5,5 |
2007 |
83 |
1 |
17,7 |
1,3 |
8 |
0 |
15,1 |
4,6 |
2008 |
94 |
2 |
17,2 |
1,0 |
3 |
0 |
11,7 |
1,5 |
2009 |
101 |
3 |
18,5 |
1,2 |
5 |
0 |
15,9 |
7,1 |
2010 |
86 |
1 |
16,7 |
1,1 |
4 |
0 |
13,5 |
10,5 |
2011 |
86 |
2 |
15,6 |
1,1 |
2 |
0 |
13,9 |
52,4 |
2012 |
69 |
2 |
16,2 |
1,4 |
6 |
0 |
14,0 |
5,8 |
2013 |
92 |
0 |
16,5 |
1,2 |
3 |
0 |
12,3 |
5,5 |
2014 |
71 |
0 |
16,0 |
1,4 |
4 |
0 |
12,2 |
5,4 |
2015 |
84 |
9 |
16,0 |
1,4 |
7 |
0 |
9,4 |
3,0 |
NR: nombre d'ischémie froide non renseignée dans Cristal
IC: moitié de la largeur de l'intervalle de confiance de la moyenne à 95% exprimée en heure
*Les greffes locales sont les greffes dont le mode d'attribution correspond à un échelon local de la répartition.
Données extraites de CRISTAL le 01/03/2016
Alors qu’un score national d’attribution des greffons pédiatriques a été mis en place en juillet 2010, on observe une tendance à la diminution de la durée d’ischémie froide avec dans les cinq dernières années un maximum de 16,5h observé en 2013 et un minimum de 15,6h en 2011. En 2015, cette durée est de 16h pour une moyenne nationale (adulte et sujets pédiatriques) de 17,1h. Il n’y a donc pas d’impact sur la durée d’ischémie des déplacements plus importants des greffons sur le territoire suite à la mise en place du score.
Cinétique de la liste d’attente
L’appréciation de l’accès à la greffe change en 2015. Jusqu’alors on utilisait la durée médiane d’attente qui était calculée par la méthode de Kaplan-Meier. Cet indicateur est remplacé par le taux d’incidence cumulée qui mesure la probabilité d’accès à la greffe en fonction de la durée d’attente sur liste et en tenant compte des risques concurrents (décès et sortie de liste pour aggravation).
Pour les malades pédiatriques inscrits entre 2011 et 2015, la probabilité d’être greffé est de 53% à 1 an et 78 % à 2 ans.
Grâce à la forte priorité qui leur est accordée, les receveurs pédiatriques ont un accès à la greffe meilleur et plus rapide que les receveurs adultes qui, sur la même période ont une probabilité d’être greffés de 25% à 1 an et 43 % à 2 ans. La diminution de ce taux d’accès pour la cohorte pédiatrique la plus récente et pour les plus jeunes enfants s’explique par l’augmentation de la part des malades en contre-indication au 1er janvier qui passe de 18 à 40% entre 2008 et 2014 et qui concerne plus particulièrement les enfants de moins de 3 ans dialysés mais de trop petit poids pour être greffés.
Si on observe uniquement la liste « active » et les taux d’accès à la greffe à 1 an hors temps passé en contre-indication, il existe des différences d’accès selon les caractéristiques des patients. L’accès à la greffe des patients de groupes B et à un moindre degré celui des patients de groupe O est moins bon avec, à 1 an, des taux d’accès pour les groupes B, O, A et AB respectivement de 65%, 70%, 74% et 86%. La différence est beaucoup moins marquée que chez les adultes car la priorité pédiatrique permet des greffes en groupes compatibles à partir de greffons rénaux pédiatriques en l’absence de receveur isogroupe un jour donné, Les plus jeunes enfants de 0 à 2 ans et 3 à 5 ans ont un taux de greffe à 1 an de 61 et 65 % alors que les grands enfants de 6 à 10 ans et 11 à 17 ans ont des taux de 74 et 75%. Mais la principale difficulté d’accès à la greffe en pédiatrie est l’existence d’une hyperimmunisation (définie par un taux de greffons incompatibles supérieur à 85%) avec seulement 26% et 49% de taux de greffes à 1 an à 2 ans. Dans ces conditions, les malades s’accumulent sur la liste d’attente représentant 24% des malades restant en attente au 1er janvier 2015 alors qu’ils représentent 9% des nouveaux inscrits et 5,5% des greffés dans l’année.
La médiane d’attente sur liste c’est-à-dire la durée pour laquelle la probabilité d’être greffé est de 50% est ainsi de 10 mois pour l’ensemble de la liste d’attente inscrit entre 2010 et 2015 mais seulement de 6 mois pour la liste « active », hors temps de contre-indication temporaire.
Figure Péd R1. Taux d'incidence cumulée de greffe et de décès ou aggravation sur la liste d'attente de greffe rénale des malades pédiatriques selon la période d'inscription (1996-2015)
|
Incidence cumulée des greffes avec prise en compte du risque concurrent de décès en attente ou sorties pour aggravation |
|||||||||
Période d'inscription |
N |
à 3 mois |
à 6 mois |
à 12 mois |
à 24 mois |
à 36 mois |
||||
1996-1999 |
416 |
39 [34-44] |
53 [48-58] |
69 [64-73] |
81 [77-85] |
89 [85-92] |
||||
2000-2003 |
386 |
41 [36-46] |
59 [53-63] |
75 [70-79] |
88 [84-90] |
92 [88-94] |
||||
2004-2007 |
395 |
35 [30-40] |
55 [50-60] |
74 [69-78] |
88 [84-91] |
93 [90-95] |
||||
2008-2010 |
329 |
28 [23-33] |
44 [39-50] |
64 [59-69] |
81 [77-85] |
88 [84-91] |
||||
2011-2015 |
503 |
15 [12-18] |
30 [26-34] |
53 [48-57] |
78 [73-82] |
88 [83-91] |
||||
|
Incidence cumulée des décès en attente ou sorties pour aggravation avec prise en compte du risque concurrent de greffe |
|
||||||||
Période d'inscription |
N |
à 3 mois |
à 6 mois |
à 12 mois |
à 24 mois |
à 36 mois |
|
|||
1996-1999 |
416 |
1 [0-2] |
1 [0-2] |
1 [1-3] |
2 [1-3] |
2 [1-4] |
|
|||
2000-2003 |
386 |
0 [0-1] |
1 [0-2] |
1 [0-2] |
1 [0-2] |
NC |
|
|||
2004-2007 |
395 |
0 [0-1] |
0 [0-1] |
1 [0-2] |
1 [0-3] |
NC |
|
|||
2008-2010 |
329 |
0 [0-2] |
1 [0-2] |
2 [1-3] |
2 [1-4] |
2 [1-5] |
|
|||
2011-2015 |
503 |
1 [0-2] |
1 [0-3] |
1 [0-3] |
NC |
NC |
|
|||
NC=Non calculable / IC : Intervalle de confiance
Données extraites de CRISTAL le 01/03/2016
Tableau Péd R8. Incidence cumulée des greffes avec prise en compte du risque concurrent de décès en attente ou sorties pour aggravation selon les caractéristiques des malades pédiatriques inscrits à partir du 1er janvier 2010 sur la liste d'attente d'une greffe rénale (Exclusion des malades en attente de greffe à partir de donneurs vivants et des greffes combinées rein plus un organe vital)
|
Incidence cumulée des greffes avec prise en compte du risque concurrent de décès en attente ou sorties pour aggravation |
|
||||||
' |
' |
N |
à 3 mois |
à 6 mois |
à 12 mois |
à 24 mois |
à 36 mois |
P value |
Global |
|
594 |
16 [13-19] |
33 [29-37] |
55 [51-59] |
79 [74-82] |
88 [84-91] |
|
Global hors temps cumulé en CIT* |
|
594 |
28 [24-32] |
47 [43-52] |
71 [66-75] |
89 [85-92] |
93 [89-96] |
|
Groupe sanguin |
A |
261 |
20 [15-25] |
33 [27-39] |
57 [51-64] |
81 [74-85] |
92 [87-96] |
0,40 |
|
AB |
29 |
11 [3-25] |
38 [19-56] |
67 [44-83] |
NC |
NC |
|
|
B |
59 |
10 [4-20] |
30 [18-42] |
52 [37-64] |
69 [50-82] |
89 [45-98] |
|
|
O |
245 |
15 [11-20] |
33 [27-40] |
54 [47-60] |
80 [73-85] |
86 [78-91] |
|
Immunisé** |
Non |
344 |
21 [17-26] |
41 [36-46] |
67 [62-73] |
90 [85-93] |
96 [92-98] |
<0,001 |
|
Oui |
250 |
9 [6-13] |
22 [17-28] |
39 [33-46] |
65 [57-71] |
78 [70-84] |
|
Taux de greffons incompatibles*** |
0 % |
356 |
21 [17-25] |
41 [35-46] |
67 [61-72] |
89 [84-92] |
96 [92-98] |
<0,001 |
|
1-24 % |
54 |
19 [10-30] |
30 [19-43] |
46 [32-59] |
80 [63-90] |
100 [100-100] |
|
|
25-49 % |
52 |
12 [5-22] |
32 [20-46] |
55 [39-68] |
74 [55-86] |
83 [57-94] |
|
|
50-84 % |
74 |
11 [5-19] |
25 [16-35] |
44 [32-56] |
81 [66-89] |
NC |
|
|
85-100 % |
58 |
4 [1-11] |
4 [1-11] |
18 [9-30] |
35 [21-48] |
50 [33-65] |
|
Age à l'inscription |
0-2 ans |
76 |
7 [3-15] |
19 [11-29] |
38 [26-50] |
66 [51-77] |
86 [66-94] |
0,002 |
|
3-5 ans |
78 |
8 [3-15] |
27 [18-38] |
46 [34-58] |
74 [60-84] |
84 [67-93] |
|
|
6-10 ans |
102 |
19 [12-27] |
35 [26-45] |
62 [51-72] |
87 [75-94] |
96 [68-100] |
|
|
11-17 ans |
338 |
20 [16-24] |
37 [32-42] |
60 [54-65] |
82 [76-86] |
90 [85-94] |
|
Age à l'inscription |
Inscrits adultes |
23732 |
6 [6-7] |
13 [13-14] |
26 [25-26] |
43 [42-44] |
55 [55-56] |
<0,001 |
|
Inscrits pédiatriques |
594 |
16 [13-19] |
33 [29-37] |
55 [51-59] |
79 [74-82] |
88 [84-91] |
|
NC=Non calculable, IC=Intervalle de confiance
* CIT : contre-indication temporaire
** un malade immunisé est défini par l'existence d'au moins une spécificité HLA de classe I ou II saisie dans les antigènes interdits
*** le taux de greffons incompatibles est calculé sur la base des spécificités anticorps anti-HLA de classe I et II.
Données extraites de CRISTAL le 01/03/2016
Tableau Péd R9. Incidence cumulée des greffes avec prise en compte du risque concurrent de décès en attente ou sorties pour aggravation hors temps cumulé en CIT selon les caractéristiques des malades pédiatriques inscrits à partir du 1er janvier 2010 sur la liste d'attente d'une greffe rénale (Exclusion des malades en attente de greffe à partir de donneurs vivants et des greffes combinées rein plus un organe vital)
|
Incidence cumulée des greffes avec prise en compte du risque concurrent de décès en attente ou sorties pour aggravation |
|
||||||
' |
' |
N |
à 3 mois |
à 6 mois |
à 12 mois |
à 24 mois |
à 36 mois |
P value |
Global hors temps cumulé en CIT* |
|
594 |
28 [24-32] |
47 [43-52] |
71 [66-75] |
89 [85-92] |
93 [89-96] |
|
Groupe sanguin |
A |
261 |
33 [27-39] |
49 [42-55] |
74 [67-79] |
91 [85-94] |
NC |
0,15 |
hors temps cumulé en CIT |
AB |
29 |
28 [12-47] |
57 [33-75] |
86 [52-96] |
NC |
NC |
|
|
B |
59 |
25 [14-37] |
45 [31-58] |
65 [48-78] |
79 [57-90] |
91 [53-99] |
|
|
O |
245 |
24 [19-30] |
47 [40-53] |
70 [63-76] |
89 [83-93] |
92 [84-96] |
|
Immunisé** |
Non |
344 |
34 [29-40] |
56 [51-62] |
79 [73-83] |
97 [93-98] |
98 [96-99] |
<0,001 |
hors temps cumulé en CIT |
Oui |
250 |
19 [14-24] |
35 [29-42] |
60 [53-67] |
78 [71-84] |
86 [77-92] |
|
Taux de greffons incompatibles*** |
0 % |
356 |
34 [29-39] |
56 [50-61] |
78 [73-83] |
97 [94-98] |
99 [96-99] |
<0,001 |
hors temps cumulé en CIT |
1-24 % |
54 |
32 [20-45] |
45 [31-58] |
78 [63-88] |
92 [76-97] |
NC |
|
|
25-49 % |
52 |
25 [14-38] |
55 [38-68] |
80 [62-90] |
NC |
NC |
|
|
50-84 % |
74 |
21 [12-31] |
37 [25-48] |
66 [52-77] |
95 [75-99] |
NC |
|
|
85-100 % |
58 |
4 [1-12] |
12 [5-23] |
26 [14-39] |
49 [32-64] |
59 [39-75] |
|
Age à l'inscription |
0-2 ans |
76 |
17 [9-27] |
38 [25-50] |
61 [46-73] |
80 [63-89] |
NC |
0,024 |
hors temps cumulé en CIT |
3-5 ans |
78 |
26 [17-37] |
41 [29-53] |
65 [51-75] |
86 [72-93] |
92 [75-98] |
|
|
6-10 ans |
102 |
30 [21-40] |
45 [35-55] |
75 [64-83] |
95 [84-98] |
NC |
|
|
11-17 ans |
338 |
31 [26-36] |
52 [46-57] |
74 [68-79] |
91 [86-94] |
93 [88-96] |
|
Age à l'inscription |
Inscrits adultes |
23732 |
14 [13-14] |
24 [23-24] |
38 [38-39] |
56 [55-57] |
68 [67-69] |
<0,001 |
hors temps cumulé en CIT |
Inscrits pédiatriques |
594 |
28 [24-32] |
47 [43-52] |
71 [66-75] |
89 [85-92] |
93 [89-96] |
|
NC=Non calculable, IC=Intervalle de confiance
* CIT : contre-indication temporaire
** un malade immunisé est défini par l'existence d'au moins une spécificité HLA de classe I ou II saisie dans les antigènes interdits
*** le taux de greffons incompatibles est calculé sur la base des spécificités anticorps anti-HLA de classe I et II.
Données extraites de CRISTAL le 01/03/2016
Prélèvement en vue de greffe
Malgré des fluctuations du nombre de donneurs pédiatriques prélevés d’une année sur l’autre, l’analyse sur une longue période révèle une diminution progressive du nombre de donneurs de moins de 18 ans avec 447 donneurs prélevés dans la période 1996-2000, 325 sur la période 2001-2005, 302 sur la période 2006-2010 et 278 sur la période 2011-2015. Avec 51 donneurs pédiatriques prélevés, l’année 2015 reste au niveau le plus bas observé depuis 10 ans. La part des donneurs pédiatriques passe de 12,5% en 1995 à 3,1% en 2015. Les donneurs de 11 à 17 ans offrent 72 % des greffons pédiatriques depuis 1996 et les moins de 6 ans 13,5%. Cette répartition s’explique par le peu de donneurs de moins de 10 ans joint aux refus fréquents des greffons rénaux de donneurs de moins de 2 ans par les équipes, en raison du risque plus élevé de thrombose.
Tableau Péd R10. Evolution du nombre de donneurs décédés de mort encéphalique et prélevés d'un rein en France selon l'âge du donneur
Année de prélèvement |
Donneurs pédiatriques (<18 ans) |
Donneurs adultes |
1996 |
95 |
759 |
1997 |
101 |
760 |
1998 |
95 |
877 |
1999 |
86 |
856 |
2000 |
70 |
921 |
2001 |
70 |
973 |
2002 |
78 |
1071 |
2003 |
69 |
1016 |
2004 |
67 |
1182 |
2005 |
41 |
1278 |
2006 |
55 |
1338 |
2007 |
84 |
1419 |
2008 |
53 |
1454 |
2009 |
51 |
1373 |
2010 |
59 |
1355 |
2011 |
65 |
1418 |
2012 |
59 |
1420 |
2013 |
53 |
1451 |
2014 |
50 |
1483 |
2015 |
51 |
1574 |
Données extraites de CRISTAL le 01/03/2016
Tableau Péd R11. Evolution du nombre de greffons rénaux pédiatriques prélevés en France et greffés selon l'âge du donneur (restriction aux donneurs décédés de mort encéphalique)
|
0-2 ans |
3-5 ans |
6-10 ans |
11-17 ans |
1996 |
10 |
10 |
38 |
128 |
1997 |
7 |
9 |
29 |
142 |
1998 |
8 |
15 |
25 |
123 |
1999 |
7 |
11 |
26 |
112 |
2000 |
6 |
4 |
18 |
98 |
2001 |
8 |
16 |
10 |
97 |
2002 |
5 |
11 |
21 |
110 |
2003 |
4 |
11 |
20 |
98 |
2004 |
5 |
9 |
20 |
95 |
2005 |
10 |
4 |
10 |
54 |
2006 |
4 |
4 |
14 |
86 |
2007 |
3 |
15 |
15 |
124 |
2008 |
7 |
14 |
12 |
66 |
2009 |
7 |
13 |
6 |
69 |
2010 |
6 |
12 |
20 |
73 |
2011 |
10 |
8 |
18 |
84 |
2012 |
9 |
13 |
16 |
67 |
2013 |
11 |
4 |
26 |
55 |
2014 |
5 |
7 |
10 |
70 |
2015 |
12 |
8 |
10 |
63 |
Note : les reins prélevés pour une greffe en bloc ou une double greffe sont comptabilisés pour un greffon et non pour deux greffons
Données extraites de CRISTAL le 01/03/2016
Tableau Péd R12. Age des greffons prélevés sur donneurs décédés de mort encéphalique et greffés en France en 2015 selon l'âge du receveur
Age du donneur |
Age du receveur |
Total |
||||||
0-2 ans |
3-5 ans |
6-10 ans |
11-17 ans |
18-29 ans |
30-59 ans |
60 ans et plus |
||
0-2 ans |
1 |
1 |
0 |
5 |
1 |
1 |
0 |
9 |
3-5 ans |
1 |
1 |
2 |
3 |
1 |
0 |
0 |
8 |
6-10 ans |
0 |
3 |
1 |
4 |
1 |
0 |
1 |
10 |
11-17 ans |
1 |
7 |
7 |
20 |
16 |
11 |
1 |
63 |
18-29 ans |
0 |
1 |
6 |
10 |
112 |
143 |
5 |
277 |
30-59 ans |
0 |
0 |
1 |
2 |
60 |
1081 |
128 |
1272 |
60 ans et plus |
0 |
0 |
0 |
0 |
2 |
357 |
852 |
1211 |
Total |
3 |
13 |
17 |
44 |
193 |
1593 |
987 |
2850 |
Remarque : ce tableau ne contient pas les greffes des donneurs prélevés en France et greffe à l’étranger. Pour avoir le détail de ces flux de greffons, il faut se rapporter au chapitre prélèvement d’organe en vue de greffe.
Données extraites de CRISTAL le 01/03/2016
Le tableau ci-dessus permet de rendre compte de l’appariement de l’âge entre donneur et receveur. Ainsi sur les 90 reins provenant de donneurs de moins de 18 ans en France en 2015, 3 (3%) ont été greffés à des receveurs de moins de 2 ans, 12 (13%) à des receveurs de 3 à 5 ans, 10 (11%) à des receveurs de 6 à 10 ans et 32 (36%) à des receveurs de 11 à 17 ans. Les 33 (37%) reins restant ont été greffés à des receveurs adultes de moins de 60 ans à 2 exceptions près.
En 2015, 74% des greffons attribués aux receveurs de moins de 18 ans provenaient de donneurs pédiatriques.
Tableau Péd R13. Evolution du nombre de greffons attribués aux receveurs pédiatriques selon l'âge du donneur (restriction aux donneurs décédés de mort encéphalique)
|
2006 |
2007 |
2008 |
2009 |
2010 |
2011 |
2012 |
2013 |
2014 |
2015 |
||||||||||
N |
% |
N |
% |
N |
% |
N |
% |
N |
% |
N |
% |
N |
% |
N |
% |
N |
% |
N |
% |
|
0-15 ans |
57 |
59,4 |
53 |
62,4 |
45 |
46,9 |
51 |
48,6 |
54 |
60,7 |
64 |
71,1 |
38 |
51,4 |
48 |
51,1 |
35 |
48,6 |
42 |
45,7 |
16-17 ans |
2 |
2,1 |
5 |
5,9 |
22 |
22,9 |
29 |
27,6 |
18 |
20,2 |
12 |
13,3 |
18 |
24,3 |
23 |
24,5 |
24 |
33,3 |
22 |
23,9 |
18-29 ans |
23 |
24,0 |
20 |
23,5 |
24 |
25,0 |
18 |
17,1 |
10 |
11,2 |
11 |
12,2 |
13 |
17,6 |
18 |
19,1 |
9 |
12,5 |
20 |
21,7 |
30-44 ans |
10 |
10,4 |
4 |
4,7 |
1 |
1,0 |
4 |
3,8 |
3 |
3,4 |
2 |
2,2 |
3 |
4,1 |
3 |
3,2 |
1 |
1,4 |
2 |
2,2 |
44 ans et plus |
4 |
4,2 |
3 |
3,5 |
4 |
4,2 |
3 |
2,9 |
4 |
4,5 |
1 |
1,1 |
2 |
2,7 |
2 |
2,1 |
3 |
4,2 |
6 |
6,5 |
Total |
96 |
100,0 |
85 |
100,0 |
96 |
100,0 |
105 |
100,0 |
89 |
100,0 |
90 |
100,0 |
74 |
100,0 |
94 |
100,0 |
72 |
100,0 |
92 |
100,0 |
Données extraites de CRISTAL le 01/03/2016
La restriction, en 2007, de la priorité interrégionale pédiatrique sur les donneurs de 18 à 29 ans, à un seul des deux reins (un rein est systématiquement alloué au score d’attribution des greffons de donneur adulte au niveau local), explique la diminution du nombre de donneurs de cette tranche d’âge attribués aux receveurs pédiatriques. En revanche, l’extension en 2008 de la priorité pédiatrique aux receveurs de moins de 18 ans (contre moins de 16 ans avant cette date) a augmenté le nombre de greffons provenant de donneurs de 16 à 17 ans.
Tableau Péd R14. Evolution du nombre de donneurs attribués aux receveurs pédiatriques selon le ratio poids du donneur sur poids du receveur (restriction aux donneurs décédés de mort encéphalique)
|
2006 |
2007 |
2008 |
2009 |
2010 |
2011 |
2012 |
2013 |
2014 |
2015 |
||||||||||
N |
% |
N |
% |
N |
% |
N |
% |
N |
% |
N |
% |
N |
% |
N |
% |
N |
% |
N |
% |
|
<0,5 |
3 |
3,1 |
1 |
1,2 |
8 |
8,3 |
6 |
5,7 |
4 |
4,5 |
3 |
3,3 |
2 |
2,7 |
6 |
6,4 |
2 |
2,8 |
7 |
7,6 |
0,5-3 |
81 |
84,4 |
57 |
67,1 |
69 |
71,9 |
76 |
72,4 |
69 |
77,5 |
75 |
83,3 |
65 |
87,8 |
70 |
74,5 |
56 |
77,8 |
67 |
72,8 |
>3 |
10 |
10,4 |
21 |
24,7 |
12 |
12,5 |
22 |
21,0 |
15 |
16,9 |
11 |
12,2 |
7 |
9,5 |
18 |
19,1 |
14 |
19,4 |
18 |
19,6 |
manquant |
2 |
2,1 |
6 |
7,1 |
7 |
7,3 |
1 |
1,0 |
1 |
1,1 |
1 |
1,1 |
0 |
0,0 |
0 |
0,0 |
0 |
0,0 |
0 |
0,0 |
Total |
96 |
100,0 |
85 |
100,0 |
96 |
100,0 |
105 |
100,0 |
89 |
100,0 |
90 |
100,0 |
74 |
100,0 |
94 |
100,0 |
72 |
100,0 |
92 |
100,0 |
Données extraites de CRISTAL le 01/03/2016
Malgré des fluctuations d’une année à l’autre, la grande majorité des receveurs pédiatriques ont un ratio poids du donneur sur poids du receveur compris entre 0,5 et 3, mais selon les années 1 à 8% des enfants reçoivent des reins de donneurs plus petits (ratio <0,5) et 10 à 25 % des reins de donneurs dont le poids est plus de 3 fois supérieur au leur.
Activité de greffe
En 2015, 114 malades inscrits avant l’âge de 18 ans ont bénéficié d’une greffe rénale. Dix-sept (15%) avaient plus de 18 ans au moment de la greffe. L’activité de greffe rénale pédiatrique reste globalement stable avec un nombre annuel de greffes oscillant depuis 1996 entre 80 et 112 chez les receveurs de moins de 18 ans au moment de la greffe.
Parmi les 114 malades inscrits en attente avant l'âge de 18 ans greffés en 2015, 22 (19%) ont reçu un greffon de donneur vivant. Le pic observé en 2014 avec 30% de greffes avec donneur vivant reste isolé . En effet, la progression de ce type de greffe ne persiste pas en 2015 à l’inverse de ce qui est observé chez l’adulte. Sur l’ensemble des greffes pédiatriques réalisées en 2015, 30 (26%) étaient préemptives avec une tendance à l’augmentation de ces greffes. En 2015, 90 greffes (93%) de receveurs de moins 18 ans au moment de la greffe ont été effectuées dans une des 14 équipes avec une autorisation de greffes pédiatriques (dont 9 exclusivement pédiatriques) tandis que 7 concernant des adolescents ont été réparties dans 6 centres de greffe d’adultes. Plus de la moitié des greffes pédiatriques (58, 51%) ont été réalisées dans 4 centres.
Tableau Péd R15. Evolution de l'activité de greffe rénale des malades inscrits en attente avant l'âge de 18 ans selon l'âge à la greffe et le type de donneur
Année de la greffe |
Age à la greffe |
Type de donneur |
||
0-17 ans au moment de la greffe |
18 ans et plus au moment de la greffe |
Donneur décédé |
Donneur vivant |
|
1996 |
112 |
16 |
112 |
15 |
1997 |
90 |
16 |
93 |
13 |
1998 |
93 |
16 |
92 |
17 |
1999 |
93 |
11 |
92 |
12 |
2000 |
103 |
19 |
107 |
15 |
2001 |
107 |
13 |
104 |
16 |
2002 |
80 |
23 |
95 |
8 |
2003 |
91 |
14 |
96 |
9 |
2004 |
96 |
17 |
92 |
21 |
2005 |
88 |
16 |
94 |
10 |
2006 |
92 |
18 |
96 |
14 |
2007 |
88 |
12 |
85 |
15 |
2008 |
90 |
15 |
96 |
9 |
2009 |
110 |
12 |
105 |
17 |
2010 |
95 |
14 |
89 |
20 |
2011 |
94 |
6 |
90 |
10 |
2012 |
75 |
14 |
74 |
15 |
2013 |
103 |
9 |
94 |
18 |
2014 |
90 |
12 |
72 |
30 |
2015 |
97 |
17 |
92 |
22 |
Données extraites de CRISTAL le 01/03/2016
Tableau Péd R16. Evolution du nombre des malades inscrits avant l'âge de 18 ans et greffés d'un rein selon la néphropathie d'origine
|
2010 |
2011 |
2012 |
2013 |
2014 |
2015 |
||||||
N |
% |
N |
% |
N |
% |
N |
% |
N |
% |
N |
% |
|
Glomérulonéphrites chroniques primitives ou secondaires |
21 |
19,3 |
18 |
18,0 |
24 |
27,0 |
33 |
29,5 |
21 |
20,6 |
19 |
16,7 |
Maladies héréditaires |
14 |
12,8 |
11 |
11,0 |
16 |
18,0 |
14 |
12,5 |
23 |
22,5 |
22 |
19,3 |
Malformations congénitales |
31 |
28,4 |
28 |
28,0 |
23 |
25,8 |
30 |
26,8 |
21 |
20,6 |
36 |
31,6 |
Néphropathies tubulo-interstistitielles chroniques |
24 |
22,0 |
19 |
19,0 |
13 |
14,6 |
20 |
17,9 |
12 |
11,8 |
14 |
12,3 |
Néphropathies vasculaires |
7 |
6,4 |
3 |
3,0 |
3 |
3,4 |
4 |
3,6 |
5 |
4,9 |
4 |
3,5 |
Autres |
8 |
7,3 |
6 |
6,0 |
5 |
5,6 |
5 |
4,5 |
7 |
6,9 |
11 |
9,6 |
Inconnue ou indéterminée |
4 |
3,7 |
15 |
15,0 |
5 |
5,6 |
6 |
5,4 |
13 |
12,7 |
8 |
7,0 |
Total |
109 |
100,0 |
100 |
100,0 |
89 |
100,0 |
112 |
100,0 |
102 |
100,0 |
114 |
100,0 |
Données extraites de CRISTAL le 01/03/2016
Tableau Péd R17. Evolution du nombre de greffes rénales préemptives
|
2010 |
2011 |
2012 |
2013 |
2014 |
2015 |
||||||
N |
% |
N |
% |
N |
% |
N |
% |
N |
% |
N |
% |
|
Dialyse avant la greffe |
22 |
20,2 |
29 |
29,0 |
14 |
15,7 |
27 |
24,1 |
16 |
15,7 |
30 |
26,3 |
Non |
||||||||||||
Oui |
87 |
79,8 |
71 |
71,0 |
75 |
84,3 |
85 |
75,9 |
86 |
84,3 |
84 |
73,7 |
Total |
109 |
100,0 |
100 |
100,0 |
89 |
100,0 |
112 |
100,0 |
102 |
100,0 |
114 |
100,0 |
La base de données DIADEM a été utilisée pour contrôler les dates de début de première dialyse pour les dossiers de première greffe.
Données extraites de CRISTAL le 01/03/2016
Tableau Péd R18. Nombre de greffes rénales effectuées en 2015 par équipe chez des malades âgés de moins de 18 ans au moment de l'inscription
Caractéristiques |
Total greffes |
Receveurs âgés de moins de 18 ans au moment de la greffe |
Receveurs âgés de plus de 18 ans au moment de la greffe |
||
Donneur décédé |
Donneur vivant |
Donneur décédé |
Donneur vivant |
||
Amiens (A) |
1 |
1 |
0 |
0 |
0 |
Besançon (A) |
1 |
0 |
0 |
1 |
0 |
Bordeaux (A+P) |
8 |
5 |
3 |
0 |
0 |
Caen (A) |
1 |
1 |
0 |
0 |
0 |
Dijon (A) |
2 |
1 |
0 |
1 |
0 |
La Réunion (A+P) |
4 |
1 |
0 |
3 |
0 |
Le Kremlin Bicêtre (AP-HP) (A) |
1 |
0 |
0 |
1 |
0 |
Lille Jeanne de Flandre (P) |
7 |
6 |
1 |
0 |
0 |
Lyon (HCL) (A) |
1 |
0 |
0 |
1 |
0 |
Lyon HFME (P) |
19 |
17 |
2 |
0 |
0 |
Marseille La Timone enfant (P) |
4 |
4 |
0 |
0 |
0 |
Montpellier A. de Villeneuve (P) |
1 |
1 |
0 |
0 |
0 |
Nancy (P) |
1 |
1 |
0 |
0 |
0 |
Nantes (A+P) |
13 |
9 |
2 |
1 |
1 |
Nice (A+P) |
2 |
1 |
1 |
0 |
0 |
Paris Necker (AP-HP) (A) |
2 |
1 |
0 |
1 |
0 |
Paris Necker-Enfants Malades (AP-HP) (P) |
13 |
11 |
2 |
0 |
0 |
Paris Robert Debré (AP-HP) (P) |
13 |
7 |
5 |
1 |
0 |
Paris Saint-Louis (AP-HP) (A) |
2 |
0 |
0 |
2 |
0 |
Paris Tenon (AP-HP) (A) |
1 |
0 |
0 |
1 |
0 |
Reims (A) |
1 |
1 |
0 |
0 |
0 |
Rouen (A) |
1 |
1 |
0 |
0 |
0 |
Strasbourg Hôpital Civil (A+P) |
5 |
4 |
0 |
1 |
0 |
Toulouse Purpan (P) |
3 |
2 |
1 |
0 |
0 |
Toulouse Rangueil (A) |
1 |
0 |
0 |
0 |
1 |
Tours Clocheville (P) |
6 |
2 |
3 |
1 |
0 |
Données extraites de CRISTAL le 01/03/2016
Tableau Péd R19. Evolution du nombre de greffes rénales combinées pédiatriques
|
2006 |
2007 |
2008 |
2009 |
2010 |
2011 |
2012 |
2013 |
2014 |
2015 |
Coeur-Rein |
1 |
0 |
0 |
0 |
0 |
1 |
2 |
1 |
0 |
1 |
Foie-Rein |
2 |
2 |
2 |
4 |
2 |
2 |
1 |
1 |
1 |
7 |
Multiviscérale |
0 |
0 |
0 |
0 |
1 |
1 |
1 |
0 |
0 |
0 |
Pancréas-Rein |
0 |
0 |
0 |
0 |
0 |
0 |
1 |
0 |
0 |
0 |
Les greffes multiviscérales sont des greffes en bloc de 2 ou 3 organes viscéraux (foie-intestin-pancréas, rein-intestin-pancréas, ou intestin-pancréas).Données extraites de CRISTAL le 01/03/2016
Tableau Péd R20. Evolution du nombre de greffes rénales par équipe chez des malades inscrits avant l'âge de 18 ans
|
2006 |
2007 |
2008 |
2009 |
2010 |
2011 |
2012 |
2013 |
2014 |
2015 |
Amiens (A) |
1 |
1 |
1 |
0 |
1 |
0 |
0 |
0 |
0 |
1 |
Angers (A) |
2 |
0 |
1 |
0 |
2 |
0 |
0 |
1 |
2 |
0 |
Besançon (A) |
0 |
1 |
1 |
0 |
1 |
0 |
0 |
0 |
0 |
1 |
Bordeaux (A+P) |
5 |
6 |
6 |
0 |
6 |
3 |
4 |
1 |
9 |
8 |
Brest (A) |
3 |
0 |
0 |
0 |
0 |
0 |
0 |
0 |
0 |
0 |
Caen (A) |
0 |
1 |
1 |
1 |
0 |
0 |
0 |
2 |
0 |
1 |
Clermont-Ferrand (A) |
0 |
1 |
0 |
0 |
0 |
1 |
0 |
0 |
0 |
0 |
Créteil Henri Mondor (AP-HP) (A) |
0 |
1 |
4 |
0 |
1 |
1 |
1 |
0 |
0 |
0 |
Dijon (A) |
2 |
0 |
0 |
1 |
1 |
1 |
0 |
0 |
1 |
2 |
Grenoble (A) |
2 |
2 |
1 |
0 |
3 |
3 |
0 |
0 |
1 |
0 |
La Réunion (A+P) |
2 |
1 |
0 |
2 |
2 |
0 |
6 |
5 |
4 |
4 |
Le Kremlin Bicêtre (AP-HP) (A) |
3 |
0 |
0 |
1 |
0 |
0 |
1 |
1 |
0 |
1 |
Lille C. Huriez (A) |
1 |
0 |
0 |
0 |
1 |
0 |
3 |
0 |
0 |
0 |
Lille Jeanne de Flandre (P) |
4 |
3 |
6 |
9 |
8 |
4 |
9 |
9 |
7 |
7 |
Limoges (A) |
1 |
0 |
0 |
1 |
1 |
0 |
0 |
0 |
0 |
0 |
Lyon (HCL) (A) |
2 |
0 |
0 |
1 |
0 |
1 |
1 |
0 |
0 |
1 |
Lyon HFME (P) |
10 |
13 |
10 |
14 |
17 |
14 |
11 |
10 |
18 |
19 |
Marseille Conception (APM) (A) |
0 |
0 |
1 |
0 |
0 |
0 |
0 |
1 |
0 |
0 |
Marseille La Timone enfant (P) |
5 |
5 |
5 |
9 |
7 |
7 |
3 |
9 |
2 |
4 |
Montpellier A. de Villeneuve (P) |
1 |
1 |
3 |
2 |
3 |
4 |
4 |
6 |
1 |
1 |
Montpellier La Peyronie (A) |
2 |
2 |
0 |
1 |
3 |
0 |
1 |
0 |
1 |
0 |
Nancy (A) |
0 |
0 |
0 |
0 |
0 |
1 |
0 |
0 |
1 |
0 |
Nancy (P) |
1 |
0 |
0 |
3 |
1 |
3 |
0 |
4 |
1 |
1 |
Nantes (A+P) |
6 |
11 |
8 |
10 |
8 |
13 |
6 |
15 |
6 |
13 |
Nice (A+P) |
3 |
1 |
2 |
0 |
0 |
1 |
2 |
1 |
2 |
2 |
Paris Necker (AP-HP) (A) |
0 |
1 |
2 |
3 |
4 |
0 |
0 |
1 |
3 |
2 |
Paris Necker-Enfants Malades (AP-HP) (P) |
17 |
17 |
16 |
22 |
11 |
14 |
9 |
15 |
16 |
13 |
Paris Pitié-Salpêtrière(AP-HP) (A) |
1 |
0 |
0 |
0 |
0 |
1 |
0 |
0 |
0 |
0 |
Paris Robert Debré (AP-HP) (P) |
13 |
5 |
8 |
18 |
10 |
10 |
12 |
18 |
11 |
13 |
Paris Saint-Louis (AP-HP) (A) |
0 |
0 |
0 |
1 |
2 |
1 |
1 |
0 |
1 |
2 |
Paris Tenon (AP-HP) (A) |
1 |
0 |
3 |
0 |
1 |
1 |
1 |
0 |
1 |
1 |
Paris Trousseau (AP-HP) |
8 |
8 |
10 |
9 |
3 |
1 |
0 |
0 |
0 |
0 |
Point-à-Pitre Abymes (A) |
0 |
1 |
0 |
0 |
0 |
0 |
0 |
0 |
0 |
0 |
Poitiers (A) |
0 |
0 |
0 |
1 |
0 |
1 |
1 |
0 |
0 |
0 |
Reims (A) |
0 |
1 |
1 |
0 |
0 |
1 |
0 |
0 |
1 |
1 |
Rennes (A) |
0 |
0 |
1 |
1 |
0 |
1 |
0 |
1 |
1 |
0 |
Rouen (A) |
0 |
1 |
0 |
1 |
0 |
0 |
1 |
0 |
0 |
1 |
Saint-Etienne (A) |
0 |
1 |
1 |
0 |
0 |
0 |
0 |
1 |
0 |
0 |
Strasbourg Hôpital Civil (A+P) |
1 |
5 |
3 |
2 |
1 |
2 |
2 |
3 |
2 |
5 |
Suresnes Foch (A) |
1 |
0 |
1 |
0 |
1 |
0 |
0 |
0 |
0 |
0 |
Toulouse Purpan (P) |
7 |
7 |
8 |
5 |
4 |
4 |
6 |
4 |
8 |
3 |
Toulouse Rangueil (A) |
3 |
1 |
0 |
0 |
1 |
0 |
0 |
0 |
0 |
1 |
Tours Clocheville (P) |
2 |
2 |
1 |
4 |
5 |
6 |
4 |
4 |
2 |
6 |
France |
110 |
100 |
105 |
122 |
109 |
100 |
89 |
112 |
102 |
114 |
Données extraites de CRISTAL le 01/03/2016
Survie post greffe
La comparaison de la survie des greffons après greffe rénale pédiatrique, estimée par la méthode de Kaplan-Meier montre une amélioration des résultats avec le temps avec une survie à 5 ans qui passe respectivement de 67,3% à 82,9% et 85,6% entre la cohorte des patients greffés entre 1985-1995 et celle de 1996-2005 et 2006-2014 (p<0,001). Cette amélioration est principalement liée à la diminution des échecs précoces. La survie des greffons dépend également de l’âge du receveur et du donneur, du type de donneur et du rang de la greffe. Le risque d’échec précoce (par thrombose) est plus élevé chez les receveurs de moins de 2 ans et le risque d’échec à long terme plus grand chez les adolescents et jeunes adultes chez qui une moins bonne adhésion au traitement est particulièrement fréquente. Les donneurs de moins de 2 ans sont associés à un taux d’échec à 1 mois significativement plus élevé qu’avec des donneurs plus âgés justifiant le refus habituel de ces donneurs pour les receveurs pédiatriques bénéficiant d’un accès à la greffe très favorable. Comme chez l’adulte la survie des greffons à 10 ans est significativement meilleure pour les greffes avec un donneur vivant de 73,1% contre 62 % pour les donneurs décédés (+11% p<0,001) et moins bonne pour les retransplantations, de 53,4% contre 64,3% à 10 ans pour une première greffe (-11% p<0,001). La survie à 5 ans des receveurs après greffe s’est améliorée entre 1985-1995 et 2006-2014 passant de 95,3 % à 98,5 %. L’utilisation de donneurs optimaux chez les receveurs pédiatriques permet d’observer à 1 an après la greffe un débit de filtration glomérulaire du greffon de 60 ml/min/1,73 m2 ou plus chez 90% des receveurs contre 30% chez l’adulte. Une non fonction primaire du greffon et un retard de fonction du greffon sont observés respectivement pour 4,6 % et 13,5 % des greffes avec donneur décédé et respectivement pour 2,6 % et 10,4 % des greffes avec donneur vivant.
Figure Péd R2. Survie du greffon après greffe rénale pédiatrique selon la période de greffe (1985-2014)
Année de greffe |
N |
Survie à 1 mois |
Survie à 1 an |
Survie à 5 ans |
Survie à 10 ans |
Survie à 15 ans |
Médiane de |
1985-1995 |
1555 |
91,0% |
82,5% |
67,3% |
56,1% |
42,2% |
147,7 |
nombre de sujets à risque* |
|
1383 |
1252 |
1011 |
815 |
565 |
|
1996-2005 |
1114 |
96,2% |
93,1% |
82,9% |
67,8% |
50,5% |
182,5 |
nombre de sujets à risque* |
|
1071 |
1032 |
901 |
642 |
226 |
|
2006-2014 |
949 |
95,7% |
93,9% |
85,6% |
NO |
NO |
NO |
nombre de sujets à risque* |
|
881 |
818 |
356 |
0 |
0 |
|
[] : Intervalle de confiance
NO : non observable
* : Nombre de malades restant à observer pour chaque temps et pour lesquels aucun évènement n'est survenu
Données extraites de CRISTAL le 01/03/2016
Figure Péd R3. Survie du greffon après greffe rénale pédiatrique selon l'âge à la greffe (1985-2014)
Age à la greffe |
N |
Survie à 1 mois |
Survie à 1 an |
Survie à 5 ans |
Survie à 10 ans |
Survie à 15 ans |
Médiane de |
0 - 2 ans |
163 |
87,7% |
84,0% |
77,2% |
68,8% |
51,3% |
182,0 |
nombre de sujets à risque* |
|
142 |
133 |
101 |
62 |
28 |
|
3 - 5 ans |
369 |
92,0% |
87,0% |
80,1% |
71,6% |
55,5% |
197,9 |
nombre de sujets à risque* |
|
332 |
308 |
236 |
162 |
91 |
|
6 - 10 ans |
746 |
93,6% |
88,2% |
77,4% |
65,8% |
47,0% |
167,3 |
nombre de sujets à risque* |
|
682 |
634 |
479 |
324 |
170 |
|
11 - 17 ans |
2013 |
94,8% |
89,7% |
76,7% |
61,8% |
46,6% |
169,4 |
nombre de sujets à risque* |
|
1874 |
1746 |
1263 |
805 |
461 |
|
18 ans et plus |
327 |
93,8% |
88,3% |
69,3% |
52,7% |
NO |
135,2 |
nombre de sujets à risque* |
|
305 |
281 |
189 |
104 |
41 |
|
[] : Intervalle de confiance
NO : non observable
* : Nombre de malades restant à observer pour chaque temps et pour lesquels aucun évènement n'est survenu
Données extraites de CRISTAL le 01/03/2016
Figure Péd R4. Survie du greffon après greffe rénale pédiatrique selon l'âge du donneur (1985-2014)
Age du donneur |
N |
Survie à 1 mois |
Survie à 1 an |
Survie à 5 ans |
Survie à 10 ans |
Survie à 15 ans |
Médiane de |
0 - 2 ans |
216 |
83,3% |
74,9% |
61,8% |
52,3% |
38,0% |
134,8 |
nombre de sujets à risque* |
|
179 |
161 |
122 |
93 |
53 |
|
3 - 5 ans |
248 |
91,4% |
86,5% |
78,2% |
66,3% |
52,1% |
184,5 |
nombre de sujets à risque* |
|
223 |
209 |
167 |
112 |
67 |
|
6 - 10 ans |
471 |
93,1% |
86,6% |
76,2% |
63,7% |
51,1% |
183,0 |
nombre de sujets à risque* |
|
432 |
399 |
292 |
204 |
126 |
|
11 - 17 ans |
888 |
95,9% |
92,3% |
83,1% |
70,2% |
52,0% |
NO |
nombre de sujets à risque* |
|
838 |
793 |
528 |
287 |
141 |
|
18 ans et plus |
1795 |
94,7% |
89,5% |
75,1% |
60,6% |
44,5% |
161,4 |
nombre de sujets à risque* |
|
1663 |
1540 |
1159 |
761 |
404 |
|
[] : Intervalle de confiance
NO : non observable
* : Nombre de malades restant à observer pour chaque temps et pour lesquels aucun évènement n'est survenu
Données extraites de CRISTAL le 01/03/2016
Figure Péd R5. Survie du greffon après greffe rénale pédiatrique selon l'origine du greffon (1985-2014)
Origine du greffon |
N |
Survie à 1 mois |
Survie à 1 an |
Survie à 5 ans |
Survie à 10 ans |
Survie à 15 ans |
Médiane de |
Donneur décédé |
3110 |
93,5% |
87,9% |
75,4% |
62,0% |
46,0% |
166,9 |
nombre de sujets à risque* |
|
2863 |
2668 |
1944 |
1243 |
666 |
|
Donneur vivant |
455 |
97,1% |
95,7% |
86,9% |
73,1% |
56,4% |
209,1 |
nombre de sujets à risque* |
|
425 |
393 |
291 |
188 |
104 |
|
[] : Intervalle de confiance
NO : non observable
* : Nombre de malades restant à observer pour chaque temps et pour lesquels aucun évènement n'est survenu
Données extraites de CRISTAL le 01/03/2016
Figure Péd R6. Survie du greffon rénal selon le rang de la greffe (1985-2014)
|
N |
Survie à 1 mois |
Survie à 1 an |
Survie à 5 ans |
Survie à 10 ans |
Survie à 15 ans |
Médiane de |
Rang de la greffe = 1 |
3216 |
94,1% |
89,2% |
77,7% |
64,3% |
48,3% |
174,3 |
nombre de sujets à risque* |
|
2972 |
2774 |
2042 |
1307 |
707 |
|
Rang de la greffe > 1 |
402 |
92,1% |
85,2% |
67,5% |
53,4% |
39,0% |
138,8 |
nombre de sujets à risque* |
|
363 |
328 |
226 |
150 |
84 |
|
[] : Intervalle de confiance
NO : non observable
* : Nombre de malades restant à observer pour chaque temps et pour lesquels aucun évènement n'est survenu
Données extraites de CRISTAL le 01/03/2016
Figure Péd R7. Survie du greffon rénal à partir de donneur décédé, en fonction du nombre d’incompatibilités HLA DR (greffes 1985-2014)
Incompatibilités HLA DR |
N |
Survie à 1 mois |
Survie à 1 an |
Survie à 5 ans |
Survie à 10 ans |
Survie à 15 ans |
Médiane de |
0 |
530 |
96,4% |
93,3% |
80,3% |
66,0% |
51,8% |
NO |
nombre de sujets à risque* |
|
504 |
482 |
328 |
199 |
95 |
|
1 |
1286 |
95,0% |
91,9% |
82,0% |
67,5% |
NO |
177,3 |
nombre de sujets à risque* |
|
1214 |
1159 |
819 |
456 |
186 |
|
2 |
275 |
93,4% |
89,3% |
80,2% |
64,5% |
NO |
165,8 |
nombre de sujets à risque* |
|
254 |
239 |
175 |
93 |
39 |
|
[] : Intervalle de confiance
NO : non observable
* : Nombre de malades restant à observer pour chaque temps et pour lesquels aucun évènement n'est survenu
Données extraites de CRISTAL le 01/03/2016
Figure Péd R8. Survie du receveur après greffe rénale selon la période(1985-2014)
Période de greffe |
N |
Survie à 1 mois |
Survie à 1 an |
Survie à 5 ans |
Survie à 10 ans |
Survie à 15 ans |
Médiane de |
1985-1995 |
1353 |
98,9% |
97,4% |
95,3% |
93,1% |
91,1% |
NO |
nombre de sujets à risque* |
|
1307 |
1272 |
1206 |
1134 |
1046 |
|
1996-2005 |
1002 |
99,7% |
99,0% |
97,1% |
95,7% |
94,0% |
NO |
nombre de sujets à risque* |
|
998 |
986 |
948 |
818 |
363 |
|
2006-2014 |
861 |
99,5% |
99,3% |
98,5% |
NO |
NO |
NO |
nombre de sujets à risque* |
|
830 |
787 |
381 |
0 |
0 |
|
[] : Intervalle de confiance
NO : non observable
* : Nombre de malades restant à observer pour chaque temps et pour lesquels aucun évènement n'est survenu
Données extraites de CRISTAL le 01/03/2016
Tableau Péd R21. Analyse de la non fonction primaire du greffon après greffe selon le type de donneur (2008-2014)
|
Non fonction primaire du greffon |
Total |
|||||
Non |
Oui |
Manquant |
|||||
N |
% hors données manquantes |
N |
% hors données manquantes |
N |
% |
N |
|
Décédé |
579 |
95,4 |
28 |
4,6 |
13 |
2,1 |
620 |
Vivant |
111 |
97,4 |
3 |
2,6 |
5 |
4,2 |
119 |
Total |
690 |
95,7 |
31 |
4,3 |
18 |
2,4 |
739 |
Non fonction primaire du greffon a été définie en fonction des informations saisies dans Cristal. Trois cas ont été pris en compte :
- arrêt de fonction du greffon dans les 90 jours après la greffe et une dialyse non arrêtée après la greffe et greffon non fonctionnel en sortie d'hospitalisation
- décès dans les 90 jours après la greffe et une dialyse non arrêtée et greffon non fonctionnel en sortie d'hospitalisation et un greffon déclaré comme non fonctionnel au moment du décès
- aucun suivi après la greffe avec un eDFG supérieur à 10 et une dialyse non arrêtée après la greffe et greffon non fonctionnel en sortie d'hospitalisation
Exclusion de toutes les greffes de0 équipes (0 greffes) avec plus de 30% de données manquantes.
Données extraites de CRISTAL le 01/03/2016
Tableau Péd R22. Analyse du retard de fonction après greffe selon le type de donneur (2008-2014)
|
Reprise retardée de la fonction rénale |
Total |
|||||
Non |
Oui |
Manquant |
|||||
N |
% hors données manquantes |
N |
% hors données manquantes |
N |
% |
N |
|
Décédé |
391 |
86,5 |
61 |
13,5 |
28 |
5,8 |
480 |
Vivant |
60 |
89,6 |
7 |
10,4 |
3 |
4,3 |
70 |
Total |
451 |
86,9 |
68 |
13,1 |
31 |
5,6 |
550 |
Reprise retardée de la fonction rénale a été définie en fonction des informations saisies dans Cristal.
Les greffes avec une date d'autonomie supérieure à 2 jours après la greffe sont considérée avec une reprise retardée de fonction rénale.
Exclusion des greffes avec une non fonction primaire.
Exclusion des greffes préemptives
Exclusion de toutes les greffes de0 équipes (0 greffes) avec plus de 30% de données manquantes.
Données extraites de CRISTAL le 01/03/2016
Tableau Péd R23. Analyse du débit de filtration estimé à 1 an selon le type de donneur pour les greffés entre 2008 et 2014 (exclusion des arrêts de fonction et décès après greffe avant 1 an)
|
eDFG en ml/min/ 1,73 m2 (débit de filtration estimé - formule SCHWARTZ ou MDRD sans ethnie) |
Total |
|||||||||||
>= 60 |
45-59 |
30-44 |
15-29 |
< 15 |
Manquant |
||||||||
N |
% hors données manquantes |
N |
% hors données manquantes |
N |
% hors données manquantes |
N |
% hors données manquantes |
N |
% hors données manquantes |
N |
% |
N |
|
Décédé |
355 |
89,9 |
24 |
6,1 |
14 |
3,5 |
2 |
0,5 |
0 |
0,0 |
52 |
11,6 |
478 |
Vivant |
74 |
87,1 |
7 |
8,2 |
3 |
3,5 |
1 |
1,2 |
0 |
0,0 |
14 |
14,1 |
102 |
Total |
429 |
89,4 |
31 |
6,5 |
17 |
3,5 |
3 |
0,6 |
0 |
0,0 |
66 |
12,1 |
580 |
Utilisation du suivi après greffe le plus proche de la date de greffe plus 1 an
Exclusion des suivis après greffe dont l'écart est supérieur de 180 jours
Exclusion de toutes les greffes de5 équipes (159 greffes) avec plus de 30% de données manquantes.
Données extraites de CRISTAL le 01/03/2016
Tableau Péd R24. Analyse du débit de filtration estimé à 5 ans selon le type de donneur pour les greffés entre 2003 et 2009 (exclusion des arrêts de fonction et décès après greffe avant 5 ans)
|
eDFG en ml/min/ 1,73 m2 (débit de filtration estimé - formule SCHWARTZ ou MDRD sans ethnie) |
Total |
|||||||||||
>= 60 |
45-59 |
30-44 |
15-29 |
< 15 |
Manquant |
||||||||
N |
% hors données manquantes |
N |
% hors données manquantes |
N |
% hors données manquantes |
N |
% hors données manquantes |
N |
% hors données manquantes |
N |
% |
N |
|
Décédé |
231 |
70,4 |
52 |
15,9 |
30 |
9,1 |
14 |
4,3 |
1 |
0,3 |
78 |
19,2 |
487 |
Vivant |
28 |
68,3 |
8 |
19,5 |
4 |
9,8 |
1 |
2,4 |
0 |
0,0 |
14 |
25,5 |
58 |
Total |
259 |
70,2 |
60 |
16,3 |
34 |
9,2 |
15 |
4,1 |
1 |
0,3 |
92 |
20,0 |
545 |
Utilisation du suivi après greffe le plus proche de la date de greffe plus 5 ans
Exclusion des suivis après greffe dont l'écart est supérieur de 180 jours
Exclusion de toutes les greffes de9 équipes (214 greffes) avec plus de 30% de données manquantes.
Données extraites de CRISTAL le 01/03/2016
Conclusion
L’activité de greffe rénale pédiatrique est stable au fil du temps, sans accroissement du nombre des nouveaux inscrits et sans accumulation des patients sur la liste d’attente, avec une situation bien différente de celle observée chez les adultes. La part de plus en plus importante des malades en contre-indication temporaire sur la liste s’explique par la modification de la politique d’inscription des équipes liée l’attribution de points corrélée à la durée d’attente sur liste pour les malades dialysés ou inscrits depuis moins d’un an. L’accès à la liste et les index de pénurie doivent être analysés sur la liste d’attente active excluant les périodes de contre-indications.
Globalement, grâce à la priorité accordée et malgré la diminution du nombre de donneurs pédiatriques prélevés, la greffe rénale pédiatrique bénéficie d’une situation très privilégiée avec accès à la greffe rapide et l’allocation de greffons optimaux. Cependant, une proportion grandissante des candidats pédiatriques aune durée d’attente prolongée en raison d’une immunisation importante, liée le plus souvent à une première transplantation. Une possibilité de prévention de cette immunisation passe par une exigence particulière dans l’appariement HLA entre donneur et receveur chez ces jeunes patients.