Résumé de l’activité
Depuis 1968, année de la première greffe cardiaque enregistrée dans CRISTAL, 12 736 greffes de cœur ont été réalisées (dont 543 par des équipes aujourd’hui inactives). Le nombre estimé de malades vivant avec un greffon fonctionnel au 31 décembre 2015 est de 4 621.
Tableau C1. Evolution de la liste d'attente et devenir des candidats en greffe cardiaque
|
2010 |
2011 |
2012 |
2013 |
2014 |
2015 |
2016 |
Liste d'attente |
|
|
|
|
|
|
|
- malades restant en attente au 1er janvier de chaque année |
302 |
281 |
298 |
321 |
333 |
358 |
379 |
dont malades en attente au 1er janvier et en CIT |
69 |
54 |
71 |
79 |
104 |
107 |
114 |
Part des malades en CIT parmi les malades en attente au 1er janvier |
23% |
19% |
24% |
25% |
31% |
30% |
30% |
- nouveaux inscrits dans l'année |
463 |
515 |
530 |
545 |
570 |
622 |
|
- décédés dans l'année |
77 |
62 |
65 |
76 |
77 |
78 |
|
- sortis de la liste d'attente |
51 |
38 |
45 |
47 |
45 |
52 |
|
- dont sortis de la liste d'attente pour aggravation |
14 |
14 |
14 |
18 |
14 |
18 |
|
Greffes |
356 |
398 |
397 |
410 |
423 |
471 |
|
Greffes (pmh) |
5,5 |
6,1 |
6,1 |
6,2 |
6,4 |
7,1 |
|
CIT : Contre indication temporaire / pmh : par million d'habitants
Données extraites de CRISTAL le 01/03/2016
Devenir des candidats en liste d’attente
Liste d’attente
En 2015, 622 nouveaux malades ont été inscrits sur la liste d’attente soit 9,1% de plus qu’en 2014. Avec 9,4 malades inscrits par million d’habitants (pmh), l’incidence d’inscription sur la liste d’attente a augmenté par rapport à 2010 de 2,2 pmh. Parmi ces 622 malades, 24 (3,9%) ont moins de 18 ans et 252 (40,5%) plus de 55 ans. Cinquante-six (9,0%) malades ont une assistance circulatoire mécanique de longue durée ou un cœur artificiel total et 92 (14,8%) une assistance de courte durée à l’inscription (ECMO). La proportion des malades sous assistance de longue durée augmente légèrement par rapport à 2014 alors que celle des malades sous assistance de courte durée est en baisse (45 (7,9%) assistances de longue durée ou cœur artificiel total et 98 (17,2%) ECMO en 2014). Cette répartition diffère de celle observée dans d’autres pays. La raison peut tenir à la différence des critères d’attribution prioritaire des greffons entre les pays avec en France une priorité d’accès à la greffe donnée aux malades sous ECMO et l’absence de priorité pour les malades sous assistance circulatoire de longue durée sans complication. Deux cent dix-neuf (35,2%) malades sont sous drogues inotropes en intraveineux, 63 (10,1%) sont sous ventilation assistée invasive et 13 (2,1%) sont dialysés à l’inscription. Au total, 191 (30,7%) ont une créatininémie ≥ 120 µmol/l, dont 21 (3,4%) une créatininémie ≥ 200 µmol/l, et, 90 (14,5%) une bilirubinémie ≥ 35 µmol/l à l’inscription. Quatre-vingt-onze (14,6%) malades ont un diabète. Les cardiomyopathies dilatées et les cardiopathies ischémiques restent les indications les plus fréquentes de nouvelle inscription en liste d’attente avec respectivement 45,8% et 33,6% des nouvelles inscriptions. Le nombre de malades restant inscrits au 1er janvier 2016 est de 379 en augmentation de 5,8% par rapport à l’année précédente.
Tableau C2. Evolution des principaux indicateurs de pénurie en greffe cardiaque
|
2010 |
2011 |
2012 |
2013 |
2014 |
2015 |
Nouveaux inscrits pour un greffon |
1,3 |
1,3 |
1,3 |
1,3 |
1,3 |
1,3 |
Receveurs en attente au 1er janvier pour un greffon |
0,8 |
0,7 |
0,8 |
0,8 |
0,8 |
0,8 |
Receveurs en attente au 1er janvier pour un greffon hors malade en CIT |
0,7 |
0,6 |
0,6 |
0,6 |
0,5 |
0,5 |
Total candidats pour un greffon |
2,1 |
2,0 |
2,1 |
2,1 |
2,1 |
2,1 |
CIT : Contre indication temporaire
Données extraites de CRISTAL le 01/03/2016
L’évolution de la pénurie peut être mesurée par :
- le nombre de receveurs en attente au 1er janvier de l’année pour un greffon (0,8 receveur début 2015 pour 1 greffon cardiaque utilisable) ;
- le nombre de nouveaux inscrits pour un greffon (1,3 inscrit pour un greffon utilisable) ;
- le nombre total de candidats pour un greffon (2,1 candidats pour un greffon utilisable dans l’année) ;
- si l’on enlève les malades en CIT au 1er janvier 2015, on passe de 0,8 à 0,5 receveur en attente au 1er janvier 2015 pour un greffon.
Tableau C3. Caractéristiques démographiques des donneurs de coeur et des malades inscrits selon leur devenir en liste d'attente de greffe de coeur en 2015
Caractéristiques |
Greffons cardiaques greffés en 2015 |
Malades en attente au 1er janvier 2015 |
Nouveaux malades inscrits en 2015 |
Malades greffés en 2015 |
Malades décédés en 2015 |
Malades sortis de la liste pour aggravation en 2015 |
||||||
n |
% |
n |
% |
n |
% |
n |
% |
n |
% |
n |
% |
|
Age |
||||||||||||
0-17 ans |
22 |
4,7 |
12 |
3,4 |
24 |
3,9 |
17 |
3,6 |
6 |
7,7 |
0 |
0 |
18-29 ans |
77 |
16,3 |
16 |
4,5 |
38 |
6,1 |
32 |
6,8 |
3 |
3,8 |
0 |
0 |
30-55 ans |
244 |
51,8 |
175 |
48,9 |
308 |
49,5 |
221 |
46,9 |
27 |
34,6 |
9 |
50,0 |
56-65 ans |
103 |
21,9 |
122 |
34,1 |
225 |
36,2 |
174 |
36,9 |
35 |
44,9 |
8 |
44,4 |
>=66 ans |
25 |
5,3 |
33 |
9,2 |
27 |
4,3 |
27 |
5,7 |
7 |
9,0 |
1 |
5,6 |
(m ± ds, ans) |
44,8 |
15,2 |
50,8 |
13,6 |
50,0 |
14,0 |
50,2 |
13,9 |
51,2 |
16,5 |
56,5 |
7,5 |
Sexe |
||||||||||||
Masculin |
302 |
64,1 |
299 |
83,5 |
477 |
76,7 |
353 |
74,9 |
67 |
85,9 |
14 |
77,8 |
Féminin |
169 |
35,9 |
59 |
16,5 |
145 |
23,3 |
118 |
25,1 |
11 |
14,1 |
4 |
22,2 |
Groupe sanguin |
||||||||||||
A |
194 |
41,2 |
170 |
47,5 |
275 |
44,2 |
203 |
43,1 |
33 |
42,3 |
10 |
55,6 |
AB |
6 |
1,3 |
8 |
2,2 |
24 |
3,9 |
19 |
4,0 |
2 |
2,6 |
0 |
0 |
B |
45 |
9,6 |
31 |
8,7 |
71 |
11,4 |
62 |
13,2 |
7 |
9,0 |
1 |
5,6 |
O |
226 |
48,0 |
149 |
41,6 |
252 |
40,5 |
187 |
39,7 |
36 |
46,2 |
7 |
38,9 |
Total |
471 |
100,0 |
358 |
100,0 |
622 |
100,0 |
471 |
100,0 |
78 |
100,0 |
18 |
100,0 |
na=non applicable / (m ± ds, ans): moyenne ± déviation standard
Données extraites de CRISTAL le 01/03/2016
Tableau C4. Caractéristiques des malades inscrits selon leur devenir en liste d'attente de greffe de cœur en 2015
Caractéristiques |
Malades en attente au 1er janvier 2015 |
Nouveaux malades inscrits en 2015 |
Malades greffés en 2015 |
Malades décédés en 2015 |
Malades sortis de la liste pour aggravation en 2015 |
|||||
n |
% |
n |
% |
n |
% |
n |
% |
n |
% |
|
Lieu de prise en charge médicale |
||||||||||
Domicile |
264 |
73,7 |
292 |
46,9 |
172 |
36,5 |
30 |
38,5 |
7 |
38,9 |
Hôpital |
41 |
11,5 |
65 |
10,5 |
46 |
9,8 |
9 |
11,5 |
5 |
27,8 |
USI |
52 |
14,5 |
253 |
40,7 |
207 |
43,9 |
39 |
50,0 |
6 |
33,3 |
Données manquantes |
1 |
0,3 |
12 |
1,9 |
46 |
9,8 |
0 |
0,0 |
0 |
0,0 |
Retransplantation |
||||||||||
Oui |
13 |
3,6 |
15 |
2,4 |
9 |
1,9 |
3 |
3,8 |
1 |
5,6 |
Non |
345 |
96,4 |
607 |
97,6 |
462 |
98,1 |
75 |
96,2 |
17 |
94,4 |
Ventilation assistée invasive |
||||||||||
Oui |
11 |
3,1 |
63 |
10,1 |
32 |
6,8 |
13 |
16,7 |
4 |
22,2 |
Non |
321 |
89,7 |
546 |
87,8 |
386 |
82,0 |
62 |
79,5 |
14 |
77,8 |
Données manquantes |
26 |
7,3 |
13 |
2,1 |
53 |
11,3 |
3 |
3,8 |
0 |
0,0 |
Assistance ventriculaire ou cœur artificiel |
||||||||||
Oui |
27 |
7,5 |
56 |
9,0 |
77 |
16,3 |
5 |
6,4 |
3 |
16,7 |
Non |
330 |
92,2 |
554 |
89,1 |
344 |
73,0 |
72 |
92,3 |
15 |
83,3 |
Données manquantes |
1 |
0,3 |
12 |
1,9 |
50 |
10,6 |
1 |
1,3 |
0 |
0,0 |
Circulation extra corporelle |
||||||||||
Oui |
15 |
4,2 |
92 |
14,8 |
70 |
14,9 |
15 |
19,2 |
4 |
22,2 |
Non |
330 |
92,2 |
518 |
83,3 |
351 |
74,5 |
60 |
76,9 |
14 |
77,8 |
Données manquantes |
13 |
3,6 |
12 |
1,9 |
50 |
10,6 |
3 |
3,8 |
0 |
0,0 |
Drogues inotropes |
||||||||||
Oui |
47 |
13,1 |
219 |
35,2 |
177 |
37,6 |
35 |
44,9 |
4 |
22,2 |
Non |
305 |
85,2 |
385 |
61,9 |
237 |
50,3 |
42 |
53,8 |
9 |
50,0 |
Données manquantes |
6 |
1,7 |
18 |
2,9 |
57 |
12,1 |
1 |
1,3 |
5 |
27,8 |
Dialyse |
||||||||||
Oui |
7 |
2,0 |
13 |
2,1 |
17 |
3,6 |
2 |
2,6 |
0 |
0,0 |
Non |
347 |
96,9 |
608 |
97,7 |
405 |
86,0 |
75 |
96,2 |
18 |
100,0 |
Données manquantes |
4 |
1,1 |
1 |
0,2 |
49 |
10,4 |
1 |
1,3 |
0 |
0,0 |
Créatinémie |
||||||||||
<60 µmol/l |
17 |
4,7 |
57 |
9,2 |
44 |
9,3 |
5 |
6,4 |
0 |
0,0 |
60-119 µmol/l |
209 |
58,4 |
349 |
56,1 |
252 |
53,5 |
42 |
53,8 |
12 |
66,7 |
120-199 µmol/l |
89 |
24,9 |
170 |
27,3 |
88 |
18,7 |
20 |
25,6 |
4 |
22,2 |
>=200 µmol/l |
11 |
3,1 |
21 |
3,4 |
14 |
3,0 |
6 |
7,7 |
2 |
11,1 |
Données manquantes |
32 |
8,9 |
25 |
4,0 |
90 |
19,1 |
5 |
6,4 |
0 |
0,0 |
Bilirubine |
||||||||||
<35 µmol/l |
290 |
81,0 |
499 |
80,2 |
324 |
68,8 |
54 |
69,2 |
11 |
61,1 |
35-49 µmol/l |
23 |
6,4 |
48 |
7,7 |
34 |
7,2 |
11 |
14,1 |
3 |
16,7 |
>=50 µmol/l |
4 |
1,1 |
42 |
6,8 |
23 |
4,9 |
9 |
11,5 |
1 |
5,6 |
Données manquantes |
41 |
11,5 |
33 |
5,3 |
73 |
15,5 |
4 |
5,1 |
3 |
16,7 |
Diabète à l’inscription |
||||||||||
Oui |
67 |
18,7 |
91 |
14,6 |
63 |
13,4 |
11 |
14,1 |
5 |
27,8 |
Non |
280 |
78,2 |
510 |
82,0 |
396 |
84,1 |
62 |
79,5 |
12 |
66,7 |
Données manquantes |
11 |
3,1 |
21 |
3,4 |
12 |
2,5 |
5 |
6,4 |
1 |
5,6 |
Total |
358 |
100,0 |
622 |
100,0 |
471 |
100,0 |
78 |
100,0 |
18 |
100,0 |
Données extraites de CRISTAL le 01/03/2016
Tableau C5. Evolution du nombre de nouveaux inscrits en attente d'une greffe cardiaque selon l’indication et incidence par million d'habitants
Indication |
2010 |
2011 |
2012 |
2013 |
2014 |
2015 |
||||||||||||
N |
% |
pmh |
N |
% |
pmh |
N |
% |
pmh |
N |
% |
pmh |
N |
% |
pmh |
N |
% |
pmh |
|
Autres pathologies |
75 |
16,2 |
1,2 |
78 |
15,1 |
1,2 |
83 |
15,7 |
1,3 |
76 |
13,9 |
1,2 |
64 |
11,2 |
1,0 |
86 |
13,8 |
1,3 |
Cardiomyopathies dilatées |
198 |
42,8 |
3,1 |
239 |
46,4 |
3,7 |
252 |
47,5 |
3,8 |
259 |
47,5 |
3,9 |
271 |
47,5 |
4,1 |
285 |
45,8 |
4,3 |
Cardiopathies ischémiques |
156 |
33,7 |
2,4 |
160 |
31,1 |
2,5 |
167 |
31,5 |
2,6 |
175 |
32,1 |
2,7 |
200 |
35,1 |
3,0 |
209 |
33,6 |
3,1 |
Cardiopathies valvulaires |
28 |
6,0 |
0,4 |
32 |
6,2 |
0,5 |
23 |
4,3 |
0,4 |
29 |
5,3 |
0,4 |
21 |
3,7 |
0,3 |
33 |
5,3 |
0,5 |
Retransplantations |
6 |
1,3 |
0,1 |
6 |
1,2 |
0,1 |
5 |
0,9 |
0,1 |
6 |
1,1 |
0,1 |
14 |
2,5 |
0,2 |
9 |
1,4 |
0,1 |
Total |
463 |
100,0 |
7,2 |
515 |
100,0 |
7,9 |
530 |
100,0 |
8,1 |
545 |
100,0 |
8,3 |
570 |
100,0 |
8,6 |
622 |
100,0 |
9,4 |
pmh : par million d'habitants
Données extraites de CRISTAL le 01/03/2016
Cinétique de la liste d’attente
Jusqu’à présent, l’accès à la greffe était évalué par la durée médiane d’attente estimée par la méthode de Kaplan Meier. Cet indicateur a été remplacé depuis 2014 par le taux d’incidence cumulée qui mesure la probabilité d’accès à la greffe en fonction de la durée d’attente en prenant en compte le risque concurrent de décès et de sortie de liste pour aggravation (voir chapitre « Greffes d’organes : Données générales et méthodes »). En effet, pour les malades inscrits en liste d’attente, l’accès à la greffe dépend du risque concurrent que représente le décès en liste d’attente et la sortie de liste pour aggravation. La probabilité de greffe et la probabilité de décès sur la liste d’attente ou de sortie de liste pour aggravation dépendent l’une de l’autre. Ainsi le risque de décès ou de sortie de liste pour aggravation est impacté par l’accès à la greffe. Cette méthode exprime ce qui est réellement observé pour les malades de la cohorte et permet d’évaluer le système de répartition des greffons. En revanche, cette méthode ne permet pas d’évaluer ce que serait le risque de décès en liste d’attente si la greffe n’existait pas puisqu’en France, la majorité des candidats sont greffés dans l’année qui suit leur inscription
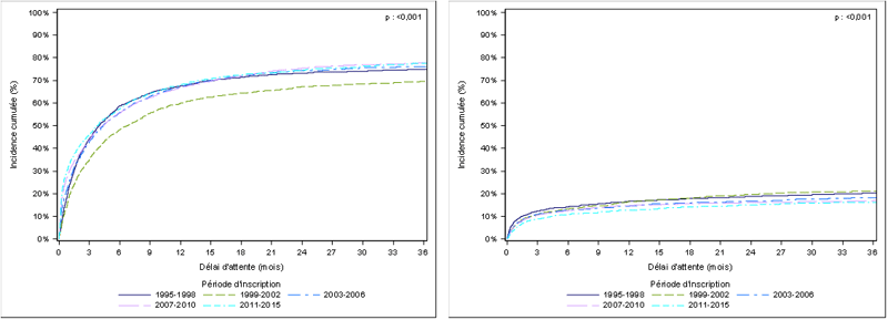
En pourcentage, 64,2% et 12,7% de la cohorte des malades inscrits en liste d’attente en 2012, ont été respectivement greffés, ou sont décédés ou sortis de liste d’attente pour aggravation, un an après leur inscription en liste.
Pour la cohorte des malades inscrits entre 2010 et 2015, le taux d’incidence cumulée de greffe a été de 46% à 3 mois. La probabilité de greffe varie avec le groupe sanguin (les malades des groupes AB et B ont un meilleur accès à la greffe que ceux du groupe A et du groupe O), avec l’obtention ou non d’une priorité (la probabilité de greffe à 3 mois en cas de priorité SU1 est de 75% versus 30% en l’absence de priorité) et avec l’âge (différence non significative), les enfants bénéficiant d’une priorité pédiatrique (probabilité de greffe à 1 an de 74% pour les enfants versus 67% pour les adultes). On observe aussi des variations selon le centre de transplantation, l’incidence cumulée de greffe à 3 mois variant de 71% à Limoges à 29% à Marseille. Les écarts de cinétique d’accès à la greffe entre les équipes peuvent s’expliquer par des différences de nombre et de caractéristiques des candidats en liste, des différences de nombre de greffons prélevés localement et par des différences dans la sélection des greffons faite par l’équipe.
Le risque de décès ou de sortie de liste pour aggravation a été également analysé avec la méthode des risques concurrents. La probabilité de décès ou de sortie de liste pour aggravation a significativement diminué entre les périodes 1995-1998 et 2011-2015 avec une baisse de 4% de son incidence cumulée à 1 an. L’incidence cumulée de décès ou de sortie de liste pour aggravation à un an est de 13% pour la cohorte des inscrits entre 2010 et 2015. L’essentiel de ce risque survient dans les 3 mois suivant l’inscription. La probabilité de décès ou de sortie de liste pour aggravation varie significativement avec l’obtention ou non d’une priorité (probabilité à 12 mois en cas de priorité SU1 de 10% versus 15% en l’absence de priorité). Ce résultat, a priori paradoxal puisque les malades en super urgence ont un taux d’incidence cumulée de décès ou de sortie de liste pour aggravation plus faible que ceux sans priorité, s’explique par le fait qu’en favorisant l’accès à la greffe, on diminue la proportion de malades qui décèdent sur la liste d’attente. Il apparait ainsi que certains malades bénéficiant d’une super urgence et en particulier d’une super-urgence 2 seraient sur priorisés par rapport aux malades sans priorité nationale. Cette iniquité a conduit l’Agence en collaboration avec les professionnels à élaborer un nouveau système de répartition des greffons.
La mortalité en liste d’attente peut également être évaluée par le taux d’incidence de décès ainsi que par le taux d’incidence de décès et de sortie de liste pour aggravation de l’état médical. Ces taux sont stables en 2015 par rapport à 2014 (respectivement 20.9 et 25,8 pour 100 patients-années en 2015 versus 21,6 et 25,5 pour 100 patients-années en 2014). Ces taux, à la différence des taux d’incidence cumulée calculés avec la méthode des risques concurrents, permettent d’apprécier la sévérité de l’insuffisance cardiaque des malades en attente et l’efficacité des traitements de l’insuffisance cardiaque.
Tableau C6. Evolution sur les trois premières années du devenir des malades inscrits pour la première fois en liste d’attente cardiaque en 2012 (N=517)
Statut sur liste d'attente |
% à 3 mois |
% à 6 mois |
% à 12 mois |
% à 18 mois |
% à 24 mois |
% à 30 mois |
% à 36 mois |
Toujours en attente |
44,7 |
31,1 |
19,9 |
12,8 |
8,7 |
6,4 |
5,4 |
Greffé |
45,3 |
55,5 |
64,2 |
68,9 |
71,2 |
72,5 |
73,5 |
Décédé en attente |
8,1 |
10,1 |
11,0 |
11,8 |
13,2 |
13,9 |
13,9 |
Sorti de la liste d'attente pour aggravation |
1,2 |
1,4 |
1,7 |
2,5 |
2,7 |
2,7 |
2,7 |
Sorti de la liste d'attente hors aggravation |
0,8 |
1,9 |
3,1 |
4,1 |
4,3 |
4,4 |
4,4 |
Données extraites de CRISTAL le 01/03/2016
Figure C1. Taux d'incidence cumulée de greffe et de décès ou de sortie de liste pour aggravation des nouveaux inscrits en liste d’attente cardiaque selon la période d'inscription (1995-2015)
|
Incidence cumulée des greffes avec prise en compte du risque concurrent de décès en attente ou sorties pour aggravation |
|||||
Période d'inscription |
N |
à 3 mois |
à 6 mois |
à 12 mois |
à 24 mois |
à 36 mois |
1995-1998 |
2157 |
44 [42-47] |
59 [57-61] |
68 [65-70] |
73 [71-75] |
75 [73-77] |
1999-2002 |
1917 |
36 [33-38] |
48 [46-51] |
60 [58-62] |
67 [65-69] |
70 [67-72] |
2003-2006 |
1713 |
43 [41-45] |
56 [53-58] |
67 [65-69] |
74 [72-76] |
76 [74-78] |
2007-2010 |
1963 |
44 [42-46] |
56 [53-58] |
67 [65-69] |
75 [73-77] |
78 [76-80] |
2011-2015 |
2782 |
47 [45-48] |
58 [56-59] |
68 [66-70] |
75 [73-76] |
78 [76-79] |
|
Incidence cumulée des décès en attente ou sorties pour aggravation avec prise en compte du risque concurrent de greffe |
|||||
Période d'inscription |
N |
à 3 mois |
à 6 mois |
à 12 mois |
à 24 mois |
à 36 mois |
1995-1998 |
2157 |
12 [11-14] |
14 [13-16] |
17 [15-18] |
19 [17-20] |
20 [18-22] |
1999-2002 |
1917 |
11 [10-12] |
13 [12-15] |
16 [15-18] |
20 [18-22] |
21 [19-23] |
2003-2006 |
1713 |
11 [10-13] |
13 [11-14] |
15 [13-16] |
17 [15-19] |
18 [16-20] |
2007-2010 |
1963 |
11 [9-12] |
12 [11-14] |
15 [13-16] |
16 [15-18] |
17 [15-19] |
2011-2015 |
2782 |
9 [8-10] |
11 [10-12] |
13 [11-14] |
15 [14-17] |
16 [15-18] |
NC=Non calculable / IC : Intervalle de confiance
Données extraites de CRISTAL le 01/03/2016
Après 1 an d’attente, les malades inscrits entre 2011 et 2015 ont 68% de chance d’être greffés et 13% de risque de décéder en attente.
Tableau C7. Taux d'incidence cumulée de greffe des nouveaux inscrits sur liste d’attente cardiaque selon leurs caractéristiques (2010-2015)
|
Incidence cumulée des greffes avec prise en compte du risque concurrent de décès en attente ou sorties pour aggravation |
|
||||||
' |
' |
N |
à 3 mois |
à 6 mois |
à 12 mois |
à 24 mois |
à 36 mois |
pvalue |
Global |
|
3245 |
46 [44-48] |
57 [55-59] |
68 [66-69] |
75 [73-76] |
78 [76-80] |
|
Global hors temps cumulé en CIT* |
|
3245 |
49 [47-51] |
60 [58-62] |
70 [69-72] |
77 [75-79] |
80 [78-82] |
|
Groupe sanguin |
A |
1428 |
45 [42-48] |
57 [54-60] |
68 [65-70] |
76 [73-78] |
79 [77-82] |
<0,001 |
|
AB |
148 |
61 [52-68] |
74 [65-80] |
82 [74-88] |
85 [76-90] |
NC |
|
|
B |
383 |
57 [52-62] |
68 [63-72] |
78 [73-82] |
84 [80-88] |
NC |
|
|
O |
1286 |
42 [39-45] |
52 [50-55] |
64 [61-66] |
71 [68-73] |
74 [71-77] |
|
Age à l'inscription |
Adulte |
3041 |
46 [44-48] |
57 [55-59] |
67 [66-69] |
75 [73-76] |
78 [76-80] |
0,50 |
|
Pédiatrique |
204 |
50 [43-57] |
63 [56-70] |
74 [67-80] |
NC |
NC |
|
Dernière priorité active |
Pas de SU1 |
2108 |
30 [28-32] |
44 [42-46] |
58 [56-60] |
67 [65-69] |
71 [69-74] |
<0,001 |
|
SU1 |
1137 |
75 [72-77] |
81 [79-83] |
86 [84-88] |
89 [87-91] |
90 [88-92] |
|
NC=Non calculable / IC =Intervalle de confiance* CIT : contre indication temporaire
Données extraites de CRISTAL le 01/03/2016
Après 1 an d’attente, les malades inscrits entre 2010 et 2015 de groupe sanguin O et A ont significativement moins de chance d’être greffés que les autres (64% et 68% versus 78% et 82% pour les B et AB).
Tableau C8. Taux d'incidence cumulée de greffe des nouveaux inscrits sur la liste cardiaque selon l'équipe de greffe (2010-2015)
|
Incidence cumulée des greffes avec prise en compte du risque concurrent de décès en attente ou sorties pour aggravation |
|||||
Equipe de greffe |
N |
à 3 mois |
à 6 mois |
à 12 mois |
à 24 mois |
à 36 mois |
Bordeaux (A+P) |
131 |
32 [24-40] |
48 [39-57] |
61 [52-70] |
68 [58-76] |
74 [64-82] |
Caen (A) |
71 |
37 [25-48] |
49 [37-60] |
58 [46-69] |
74 [60-83] |
NC |
Clermont-Ferrand (A) |
93 |
52 [41-62] |
64 [53-73] |
81 [70-89] |
87 [75-94] |
NC |
Créteil Henri Mondor (AP-HP) (A) |
95 |
48 [38-58] |
62 [51-71] |
69 [58-78] |
78 [67-86] |
85 [71-92] |
Dijon (A) |
71 |
52 [40-63] |
61 [48-71] |
72 [59-81] |
NC |
NC |
Grenoble (A) |
57 |
40 [27-53] |
46 [32-59] |
62 [45-75] |
80 [57-91] |
NC |
Le Plessis-Robinson Marie-Lannelongue (A+P) |
75 |
49 [37-60] |
63 [50-73] |
NC |
NC |
NC |
Lille (A) |
141 |
33 [26-41] |
41 [32-49] |
51 [42-60] |
64 [54-73] |
72 [62-80] |
Limoges (A) |
53 |
71 [56-82] |
80 [61-91] |
NC |
NC |
NC |
Lyon I (HCL) (A+P) |
142 |
46 [38-54] |
58 [49-66] |
69 [61-76] |
78 [70-85] |
NC |
Lyon II (HCL) (A) |
102 |
36 [26-45] |
48 [38-57] |
58 [48-67] |
69 [58-77] |
72 [61-80] |
Marseille Timone adultes (APM) (A) |
190 |
29 [22-35] |
34 [27-40] |
46 [38-53] |
56 [48-63] |
NC |
Marseille Timone enfants (APM) (P) |
24 |
51 [29-70] |
60 [31-80] |
NC |
NC |
NC |
Montpellier (A) |
95 |
35 [26-45] |
49 [38-59] |
68 [56-78] |
90 [77-96] |
NC |
Nancy (A) |
74 |
34 [24-45] |
51 [39-62] |
63 [50-74] |
NC |
NC |
Nantes (A+P) |
167 |
48 [40-55] |
61 [53-68] |
73 [65-79] |
81 [73-87] |
84 [74-91] |
Paris Bichat (AP-HP) (A) |
169 |
65 [58-72] |
78 [70-83] |
88 [81-92] |
90 [82-94] |
NC |
Paris Georges Pompidou (AP-HP) (A) |
128 |
42 [34-51] |
56 [47-65] |
71 [62-79] |
NC |
NC |
Paris Necker Enfants Malades (AP-HP) (P) |
47 |
52 [35-66] |
59 [41-74] |
68 [47-82] |
NC |
NC |
Paris Pitié-Salpêtrière (AP-HP) (A) |
635 |
55 [51-59] |
65 [61-69] |
72 [69-76] |
78 [74-81] |
NC |
Rennes (A) |
157 |
55 [46-62] |
69 [61-76] |
82 [74-87] |
87 [80-92] |
92 [84-96] |
Rouen (A) |
94 |
38 [28-47] |
51 [40-61] |
67 [56-76] |
76 [64-84] |
NC |
Strasbourg (A) |
134 |
55 [46-63] |
69 [60-77] |
77 [68-84] |
NC |
NC |
Toulouse (A) |
152 |
32 [25-40] |
38 [29-46] |
52 [42-60] |
63 [53-71] |
NC |
Tours (A) |
147 |
54 [46-62] |
67 [58-74] |
80 [72-86] |
NC |
NC |
NC=Non calculable / IC =Intervalle de confiance
Données extraites de CRISTAL le 01/03/2016
L’incidence cumulée de greffe diffère d’une équipe à l’autre.
Ainsi après 1 an d’attente, le pourcentage de malades greffés parmi les malades inscrits entre 2010 et 2015 varie de 46%-51% (Marseille Timone adultes - Lille) à 88% (Paris Bichat).
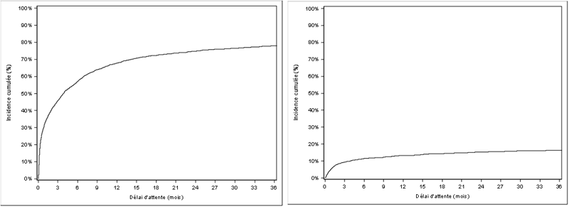
Figure C2. Taux d'incidence cumulée de greffe et de décès ou sortie de liste pour aggravation des nouveaux inscrits en liste d’attente cardiaque (2010-2015)
|
Incidence cumulée des greffes avec prise en compte du risque concurrent de décès en attente ou sorties pour aggravation |
|||||
Période d'inscription |
N |
à 3 mois |
à 6 mois |
à 12 mois |
à 24 mois |
à 36 mois |
2010-2015 |
3245 |
46 [44-48] |
57 [55-59] |
68 [66-69] |
75 [73-76] |
78 [76-80] |
|
Incidence cumulée des décès en attente ou sorties pour aggravation avec prise en compte du risque concurrent de greffe |
|||||
Période d'inscription |
N |
à 3 mois |
à 6 mois |
à 12 mois |
à 24 mois |
à 36 mois |
2010-2015 |
3245 |
9 [8-10] |
12 [10-13] |
13 [12-14] |
15 [14-17] |
16 [15-18] |
NC=Non calculable / IC : Intervalle de confiance
Données extraites de CRISTAL le 01/03/2016
Après 1 an d’attente, les malades inscrits entre 2010 et 2015 ont 68% de chance d’être greffés et 13% de risque de décéder en attente.
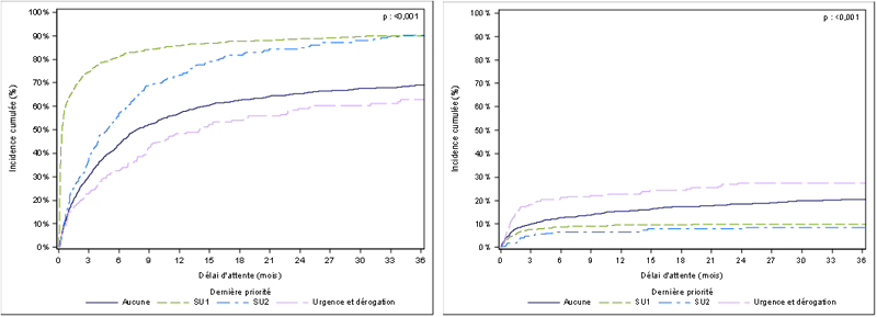
Figure C3. Taux d'incidence cumulée de greffe et de décès ou sortie de liste pour aggravation des nouveaux inscrits en liste d’attente cardiaque selon la dernière priorité (2010-2015)
|
Incidence cumulée des greffes avec prise en compte du risque concurrent de décès en attente ou sorties pour aggravation |
|||||
Dernière priorité |
N |
à 3 mois |
à 6 mois |
à 12 mois |
à 24 mois |
à 36 mois |
Aucune |
1612 |
30 [28-33] |
44 [41-46] |
57 [54-60] |
66 [63-68] |
69 [66-72] |
SU1 |
1137 |
75 [72-77] |
81 [79-83] |
86 [84-88] |
89 [87-91] |
90 [88-92] |
SU2 |
236 |
39 [32-45] |
57 [51-64] |
74 [67-79] |
85 [79-89] |
91 [86-94] |
Urgence et dérogation |
260 |
23 [18-29] |
33 [27-39] |
49 [42-55] |
60 [53-66] |
64 [56-70] |
|
Incidence cumulée des décès en attente ou sorties pour aggravation avec prise en compte du risque concurrent de greffe |
|||||
Dernière priorité |
N |
à 3 mois |
à 6 mois |
à 12 mois |
à 24 mois |
à 36 mois |
Aucune |
1612 |
10 [9-11] |
13 [11-14] |
15 [14-17] |
19 [17-21] |
21 [18-23] |
SU1 |
1137 |
8 [6-9] |
9 [7-11] |
10 [8-11] |
10 [8-12] |
10 [8-12] |
SU2 |
236 |
6 [3-9] |
7 [4-11] |
7 [4-11] |
8 [5-13] |
NC |
Urgence et dérogation |
260 |
19 [14-24] |
22 [17-27] |
23 [18-29] |
28 [22-34] |
28 [22-34] |
NC=Non calculable / IC : Intervalle de confiance
Données extraites de CRISTAL le 01/03/2016
Après 1 an d’attente, les malades inscrits entre 2010 et 2015 ont plus de chance d’être greffés lorsqu’ils bénéficient d’une priorité (86% de chance d’être greffés pour une SU1, 74% pour une SU2 et 57% sans SU). Ce tableau compte la dernière priorité active. Ainsi un malade ayant eu une priorité qui n’aboutirait pas à une greffe et serait greffé ensuite sans cette priorité compte dans « Aucune » priorité.
Tableau C9. Evolution du nombre de décès sur la liste d’attente entre 2010 et 2015 chez les malades en attente d’une greffe de coeur
|
2010 |
2011 |
2012 |
2013 |
2014 |
2015 |
Nombre total de décès |
77 |
62 |
65 |
76 |
77 |
78 |
Pourcentage de décès parmi les inscrits* |
10,1 % |
7,8 % |
7,9 % |
8,8 % |
8,5 % |
8,0 % |
Décès parmi les nouveaux inscrits |
55 |
40 |
46 |
47 |
49 |
47 |
Pourcentage de décès parmi les nouveaux inscrits |
11,9 % |
7,8 % |
8,7 % |
8,6 % |
8,6 % |
7,6 % |
Taux d'incidence (nombre de décès pour 1 000 patients x année)** |
262,5 |
222,1 |
212,7 |
238,1 |
216,1 |
209,8 |
* Receveurs en attente au 1er janvier de l'année + nouveaux inscrits (hors en attente de donneur vivant)
** Nombre de décès survenus dans l’année pour 1000 patient-années
Données extraites de CRISTAL le 01/03/2016
Après une baisse en 2011, le nombre et la fréquence des décès parmi les inscrits sont stables depuis 2013 (78, 8,0% en 2015 versus 76, 8,8% en 2013).
Tableau C10. Evolution du nombre de décès ou sorties de la liste pour aggravation de l'état médical sur la liste d’attente entre 2010 et 2015 chez les malades en attente d’une greffe de coeur
|
2010 |
2011 |
2012 |
2013 |
2014 |
2015 |
Nombre total de décès ou aggravation |
91 |
76 |
79 |
94 |
91 |
96 |
Pourcentage de décès ou aggravation parmi les inscrits* |
11,9 % |
9,5 % |
9,5 % |
10,9 % |
10,1 % |
9,8 % |
Décès ou aggravation parmi les nouveaux inscrits |
62 |
50 |
55 |
56 |
57 |
54 |
Pourcentage de décès ou aggravation parmi les nouveaux inscrits |
13,4 % |
9,7 % |
10,4 % |
10,3 % |
10,0 % |
8,7 % |
Taux d'incidence (décès ou aggravation)** |
310,2 |
272,2 |
258,6 |
294,5 |
255,4 |
258,2 |
* Receveurs en attente au 1er janvier de l'année + nouveaux inscrits (hors en attente de donneur vivant)
** Nombre de décès ou aggravations survenus dans l’année pour 1000 patient-années
Données extraites de CRISTAL le 01/03/2016
Le nombre et la fréquence des décès ou sorties de liste pour aggravation restent stables depuis 2013 (96 et 9,8% en 2015 versus 94 et 10,9% en 2013).
Prélèvement en vue de greffe
En 2015, 28,9% des donneurs décédés en état de mort encéphalique en France, prélevés d’au moins un organe, sont prélevés d’un greffon cardiaque (511 sur 1769). Dans un contexte d’augmentation du nombre total de donneurs prélevés d’au moins un organe de 6,9% (114) par rapport à 2014, le nombre de greffons cardiaques prélevés a augmenté de 13% (59). Le nombre de de donneurs prélevés d’un greffon cardiaque non greffé a également augmenté mais dans une moindre mesure entre 2015 et 2014 (42 (7,3%) versus 33 (7,3%)) L’analyse des causes de non prélèvement des greffons cardiaques montre que l’âge et les antécédents cardiovasculaires du donneur sont les raisons les plus fréquentes de non prélèvement devant une mauvaise fonction ventriculaire. Alors qu’il apparait souhaitable que l’évaluation cardiaque des donneurs à critères élargis soit différente de celle des donneurs optimaux, une enquête visant à évaluer l’impact de la réalisation d’une coronarographie systématique par rapport à une coronarographie à la demande chez les donneurs à risque cardiovasculaire sur l’efficacité du prélèvement cardiaque débutée en 2012 s’est achevée en 2014. Cette enquête a montré que la réalisation d’une coronarographie dans cette population particulière de donneurs augmente le nombre de prélèvements parmi les donneurs dont le greffon cardiaque est proposé. Alors que l’âge moyen des donneurs prélevés d’un greffon cardiaque dont le cœur a été greffé a peu augmenté entre 2014 et 2015 passant de 44,2 ans à 44,8 ans, la proportion parmi ces donneurs de donneurs de plus de 55 ans est passée de 23% à 27%. En l’absence d’appariement sur l’âge entre donneurs et receveurs pour la répartition des greffons, 17,2% des greffons de donneurs de moins de 30 ans sont alloués à des receveurs de plus de 60 ans. Le nouveau système de répartition des greffons cardiaques qui est en cours d’élaboration prévoit un appariement sur l’âge entre donneurs et receveurs.
Tableau C11. Evolution du nombre de donneurs décédés en France et prélevés d’un greffon cardiaque parmi les donneurs prélevés d’au moins un organe
Année de prélèvement |
Donneurs décédés de mort encéphalique en France et prélevés d'un greffon cardiaque |
Donneurs décédés de mort encéphalique en France et prélevés d'un greffon autre que le cœur |
Total des donneurs décédés de mort encéphalique prélevés d'un greffon |
1997 |
456 |
425 |
881 |
1998 |
510 |
484 |
994 |
1999 |
421 |
549 |
970 |
2000 |
414 |
602 |
1016 |
2001 |
373 |
692 |
1065 |
2002 |
381 |
817 |
1198 |
2003 |
323 |
796 |
1119 |
2004 |
362 |
929 |
1291 |
2005 |
395 |
976 |
1371 |
2006 |
421 |
1021 |
1442 |
2007 |
393 |
1168 |
1561 |
2008 |
389 |
1174 |
1563 |
2009 |
380 |
1101 |
1481 |
2010 |
376 |
1100 |
1476 |
2011 |
434 |
1138 |
1572 |
2012 |
435 |
1154 |
1589 |
2013 |
437 |
1190 |
1627 |
2014 |
452 |
1203 |
1655 |
2015 |
511 |
1258 |
1769 |
Ce tableau comprend tous les greffons prélevés en France (y compris les non greffés)
Données extraites de CRISTAL le 01/03/2016
Tableau C12. Evolution de la répartition par âge des donneurs décédés prélevés d’un greffon cardiaque
|
Année de prélèvement |
|||||||||||
2010 |
2011 |
2012 |
2013 |
2014 |
2015 |
|||||||
N |
% |
N |
% |
N |
% |
N |
% |
N |
% |
N |
% |
|
Age du donneur |
25 |
6,6 |
37 |
8,5 |
30 |
6,9 |
32 |
7,3 |
34 |
7,5 |
34 |
6,7 |
0-17 ans |
||||||||||||
18-29 ans |
77 |
20,5 |
68 |
15,7 |
71 |
16,3 |
72 |
16,5 |
56 |
12,4 |
80 |
15,7 |
30-55 ans |
219 |
58,2 |
258 |
59,4 |
231 |
53,1 |
234 |
53,5 |
259 |
57,3 |
257 |
50,3 |
56-65 ans |
53 |
14,1 |
68 |
15,7 |
93 |
21,4 |
85 |
19,5 |
93 |
20,6 |
111 |
21,7 |
>=66 ans |
2 |
0,5 |
3 |
0,7 |
10 |
2,3 |
14 |
3,2 |
10 |
2,2 |
29 |
5,7 |
Total |
376 |
100,0 |
434 |
100,0 |
435 |
100,0 |
437 |
100,0 |
452 |
100,0 |
511 |
100,0 |
Données extraites de CRISTAL le 01/03/2016
Tableau C13. Age des greffons cardiaques prélevés sur donneurs décédés et greffés en France en 2015 selon l'âge du receveur au moment de la greffe
Age du donneur |
Age du receveur |
Total |
||||
0-17 ans |
18-29 ans |
30-59 ans |
60-64 ans |
65 ans et plus |
||
0-17 ans |
7 |
2 |
9 |
2 |
2 |
22 |
18-29 ans |
4 |
9 |
51 |
10 |
3 |
77 |
30-59 ans |
6 |
19 |
194 |
50 |
26 |
295 |
60-64 ans |
0 |
1 |
30 |
6 |
7 |
44 |
65 ans et plus |
0 |
0 |
21 |
5 |
5 |
31 |
Total |
17 |
31 |
305 |
73 |
43 |
469 |
Données extraites de CRISTAL le 01/03/2016
En 2015, 8 greffons cardiaques pédiatriques et un greffon adulte ont été prélevés en France et greffés à l’étranger (non inclus dans le tableau).
Deux greffons adultes ont été prélevés à l’étranger et greffés en France (non inclus dans le tableau).
Pour retrouver le nombre total de greffes réalisées en France (471), il faut ajouter au nombre du tableau les cœurs prélevés à l'étranger et greffés en France (2).
Trente-trois greffons ont été prélevés en France et non greffés dont 5 pédiatriques.
Attribution des greffons et priorités
L’attribution prioritaire des greffons répond à des conditions d’urgence vitale ou de difficultés particulières d’accès à la greffe (groupes sanguins rares, morphologie particulière). On distingue les super-urgences nationales mises en place en juillet 2004 modifiées en 2013, et les urgences régionales. Les super-urgences se répartissent en super-urgences de type 1 (SU1), super-urgences de type 2 (SU2), et, depuis juillet 2013, super-urgences de type 3 (SU3). Les premières s’adressent aux malades sans assistance circulatoire de longue durée sous perfusion d’inotropes et/ou avec une assistance circulatoire temporaire le plus souvent une ECMO veino-artérielle dont l’état clinique reste compatible avec une greffe. Depuis juillet 2013, la SU1 est accessible aux seuls malades dont le débit de filtration glomérulaire est supérieur ou égal à 40 ml/min/m². Les deuxièmes s’adressent aux malades sous assistance circulatoire mécanique de longue durée ou cœur artificiel total qui présentent une complication. Les troisièmes s’adressent aux malades sous assistance circulatoire bi-ventriculaire pneumatique ou cœur artificiel total implantés depuis 3 mois ou plus, sans complication ni défaillance d’organe. Les propositions sont faites successivement aux malades inscrits en SU1 puis en SU2 puis en SU3. Des dérogations de groupe sanguin isolées, ou associées aux urgences régionales ou aux super-urgences peuvent être accordées par les experts du collège.
En 2015, le nombre de demandes de SU1 et le nombre de malades pour lesquels une demande de SU1 a été faite augmentent respectivement de 4% et de 5% par rapport à 2014 alors même que la proportion de candidats pour lesquels une demande de SU1 a été faite reste stable (33% en 2014 et à 32% en 2015). Le nombre de greffes réalisées dans le cadre d’une SU1 augmente quant à lui nettement de 22,5% en raison de l’augmentation de la proportion des malades pour lesquels une demande de SU1 a été faite qui ont été greffés. En 2015, effectivement, la proportion de malades avec une SU1 active qui sont greffés est de 46,3% alors qu’elle était de 42,1% en 2014 et de 38,3% en 2013. L’analyse du devenir des malades pour lesquels une demande de SU1 a été acceptée en 2015 montre, qu’un mois après la demande, 71% des malades sont greffés (64% en 2014), 23% sont toujours en attente (29% en 2014) et 5% sont décédés (4% en 2014). Finalement, 65% des malades pour lesquels une demande de SU1 a été acceptée en 2015 sont greffés pendant la durée de leur SU. La fréquence des dérogations de groupe sanguin parmi les malades ayant bénéficié d’une SU1 est stable depuis 2012 (23% en 2015).
Le nombre de demandes de SU2 est stable en 2015 par rapport à 2014 alors que le nombre de malades pour lesquels une demande de SU2 a été faite augmente de 6%. La proportion de candidats pour lesquels une demande de SU2 a été faite est stable à un niveau bas (6%). Le nombre de greffes réalisées dans le cadre d’une SU2 augmente de 7%. En 2015, la proportion de malades greffés avec une SU2 active est de 10% alors qu’elle était de 10,4% en 2014.
Le nombre de demandes de SU3 et le nombre de malades pour lesquels une demande de SU3 a été faite augmentent en 2015 par rapport à 2014 de 14% avec des effectifs faibles : la proportion de candidats pour lesquels une demande de SU3 a été faite reste inférieure à 1%.
L’augmentation de la proportion des greffes réalisées dans le cadre d’une priorité nationale se confirme en 2015 avec 57% des greffes faites dans le cadre d’une SU (31% en 2007, 41% en 2010, 53% en 2014).
Parmi les malades pour lesquels une demande de SU1 a été acceptée en 2015, 61% ont, à l’inscription, un traitement inotrope intraveineux, 25% ont une ECMO, 17% ont une ventilation assistée invasive, 27% ont une insuffisance rénale (créatininémie ≥ 120 µmol/l) et 21% une bilirubinémie ≥ 35 µmol/l.
Ces évolutions comme l’hétérogénéité des taux d’incidence cumulée de mortalité en attente de greffe par catégorie de malades soulignent les limites du système actuel de répartition des greffons fondé sur des pratiques médicales avec des durées de priorité arbitraires. Le travail sur l’élaboration d’un score de répartition des greffons fondé sur une évaluation objective de l’urgence de la greffe devrait remplacer le système actuel en 2017.
Tableau C14. Evolution des demandes de priorité (2007-2015)
Type de priorité |
Année de demande de la SU |
Nombre de demandes |
Nombre de malades |
Nombre de demandes acceptées |
Nombre de malades dont la demande a été acceptée |
Fréquence de demandes acceptées (%) |
Fréquence des dérogations de groupes sanguins compatibles parmi les demandes acceptées (%) |
SU1 |
2007 |
178 |
160 |
172 |
159 |
96,6 |
40,7 |
2008 |
232 |
200 |
224 |
198 |
96,6 |
50,0 |
|
2009 |
251 |
225 |
235 |
219 |
93,6 |
36,6 |
|
2010 |
203 |
184 |
194 |
183 |
95,6 |
34,0 |
|
2011 |
240 |
218 |
228 |
216 |
95,0 |
30,3 |
|
2012 |
251 |
233 |
243 |
230 |
96,8 |
22,2 |
|
2013 |
267 |
254 |
253 |
248 |
94,8 |
22,9 |
|
2014 |
318 |
300 |
307 |
297 |
96,5 |
24,8 |
|
2015 |
330 |
315 |
319 |
314 |
96,7 |
22,6 |
|
SU2 |
2007 |
13 |
13 |
12 |
12 |
92,3 |
33,3 |
2008 |
30 |
27 |
24 |
24 |
80,0 |
37,5 |
|
2009 |
21 |
21 |
19 |
19 |
90,5 |
15,8 |
|
2010 |
28 |
27 |
27 |
27 |
96,4 |
25,9 |
|
2011 |
35 |
35 |
32 |
32 |
91,4 |
6,3 |
|
2012 |
39 |
39 |
37 |
37 |
94,9 |
18,9 |
|
2013 |
50 |
47 |
46 |
46 |
92,0 |
8,7 |
|
2014 |
55 |
52 |
53 |
52 |
96,4 |
26,4 |
|
2015 |
55 |
55 |
55 |
55 |
100,0 |
14,5 |
|
SU3 |
2013 |
1 |
1 |
1 |
1 |
100,0 |
0,0 |
2014 |
7 |
7 |
7 |
7 |
100,0 |
28,6 |
|
2015 |
8 |
8 |
7 |
7 |
87,5 |
42,9 |
|
Urgence |
2007 |
68 |
55 |
68 |
55 |
100,0 |
22,1 |
2008 |
88 |
71 |
82 |
68 |
93,2 |
32,9 |
|
2009 |
66 |
60 |
65 |
59 |
98,5 |
24,6 |
|
2010 |
54 |
50 |
52 |
49 |
96,3 |
28,8 |
|
2011 |
73 |
63 |
73 |
63 |
100,0 |
19,2 |
|
2012 |
82 |
75 |
82 |
75 |
100,0 |
7,3 |
|
2013 |
66 |
62 |
65 |
61 |
98,5 |
7,7 |
|
2014 |
93 |
84 |
93 |
84 |
100,0 |
16,1 |
|
2015 |
80 |
74 |
79 |
73 |
98,8 |
7,6 |
SU1 : Super Urgence 1 créée en juillet 2004; SU2 : Super Urgence 2 créée en juillet 2004; SU3 : Super Urgence 3 créée en juillet 2013
Données extraites de CRISTAL le 01/03/2016
En 2015, 315 malades étaient concernés par les 330 demandes de SU1 cardiaque. Parmi les 319 demandes acceptées par les experts sur 314 malades, 23% étaient associées à une dérogation de groupe sanguin.
Tableau C15. Devenir des malades un mois après la première demande de SU1 effectuée et acceptée en 2015
|
Total |
- dont avec une priorité active |
||
N |
% |
N |
% sur le total |
|
Sortie de liste pour aggravation de la maladie initiale |
2 |
0,6 |
0 |
0 |
Sortie de liste pour amélioration |
1 |
0,3 |
0 |
0 |
Attente |
71 |
22,6 |
13 |
18,3 |
Décès en liste d'attente |
16 |
5,1 |
4 |
25 |
Greffe |
224 |
71,3 |
204 |
91,1 |
Total |
314 |
100 |
221 |
70,4 |
La durée de SU1 est de 48h renouvelable 48 heures sur demande. Elle est de durée illimitée pour les malades pédiatriques
Priorité active : le malade est toujours sous la priorité au moment de sa sortie de liste d'attente / Priorité inactive : la fin de la priorité est survenue avant la sortie de liste d'attente
Données extraites de CRISTAL le 01/03/2016
Parmi les malades ayant bénéficié d’une première SU1, 71% sont greffés dans le mois suivant la demande de priorité. Dans 91% des cas (204/224), la SU1 était encore valide et dans 9% des cas la durée de SU1 était dépassée au moment de la greffe.
Tableau C16. Evolution du devenir des malades selon la dernière priorité active par année de sortie de la liste d'attente
SU1 active |
SU2 active |
Urgence |
Sans priorité active |
|||||||
Année de sortie de liste* |
Devenir sur la liste d'attente |
Total |
N |
% |
N |
% |
N |
% |
N |
% |
2007 |
Sortie de liste pour aggravation hors maladie initiale |
3 |
0 |
NA |
0 |
NA |
1 |
33,3 |
2 |
66,7 |
|
Sortie de liste pour aggravation de la maladie initiale |
5 |
2 |
40,0 |
0 |
NA |
0 |
NA |
3 |
60,0 |
|
Sortie de liste pour amélioration |
26 |
0 |
NA |
0 |
NA |
1 |
3,8 |
25 |
96,2 |
|
Décès en liste d'attente |
72 |
2 |
2,8 |
1 |
1,4 |
10 |
13,9 |
59 |
81,9 |
|
Décision personnelle du malade |
8 |
0 |
NA |
0 |
NA |
0 |
NA |
8 |
100,0 |
|
Greffe |
366 |
102 |
27,9 |
11 |
3,0 |
23 |
6,3 |
230 |
62,8 |
2008 |
Sortie de liste pour aggravation hors maladie initiale |
6 |
0 |
NA |
0 |
NA |
1 |
16,7 |
5 |
83,3 |
|
Sortie de liste pour aggravation de la maladie initiale |
12 |
0 |
NA |
0 |
NA |
2 |
16,7 |
10 |
83,3 |
|
Sortie de liste pour amélioration |
24 |
0 |
NA |
0 |
NA |
2 |
8,3 |
22 |
91,7 |
|
Annulation |
1 |
0 |
NA |
0 |
NA |
0 |
NA |
1 |
100,0 |
|
Décès en liste d'attente |
66 |
1 |
1,5 |
1 |
1,5 |
12 |
18,2 |
52 |
78,8 |
|
Décision personnelle du malade |
9 |
0 |
NA |
0 |
NA |
1 |
11,1 |
8 |
88,9 |
|
Greffe |
360 |
134 |
37,2 |
18 |
5,0 |
22 |
6,1 |
186 |
51,7 |
2009 |
Sortie de liste pour aggravation hors maladie initiale |
4 |
0 |
NA |
0 |
NA |
1 |
25,0 |
3 |
75,0 |
|
Sortie de liste pour aggravation de la maladie initiale |
8 |
0 |
NA |
0 |
NA |
4 |
50,0 |
4 |
50,0 |
|
Sortie de liste pour amélioration |
31 |
0 |
NA |
0 |
NA |
0 |
NA |
31 |
100,0 |
|
Décès en liste d'attente |
74 |
6 |
8,1 |
1 |
1,4 |
5 |
6,8 |
62 |
83,8 |
|
Décision personnelle du malade |
5 |
0 |
NA |
0 |
NA |
0 |
NA |
5 |
100,0 |
|
Greffe |
359 |
139 |
38,7 |
20 |
5,6 |
30 |
8,4 |
170 |
47,4 |
2010 |
Sortie de liste pour aggravation hors maladie initiale |
8 |
1 |
12,5 |
0 |
NA |
0 |
NA |
7 |
87,5 |
|
Sortie de liste pour aggravation de la maladie initiale |
6 |
1 |
16,7 |
0 |
NA |
1 |
16,7 |
4 |
66,7 |
|
Sortie de liste pour amélioration |
33 |
0 |
NA |
0 |
NA |
3 |
9,1 |
30 |
90,9 |
|
Décès en liste d'attente |
77 |
6 |
7,8 |
0 |
NA |
12 |
15,6 |
59 |
76,6 |
|
Décision personnelle du malade |
4 |
0 |
NA |
0 |
NA |
0 |
NA |
4 |
100,0 |
|
Greffe |
356 |
120 |
33,7 |
26 |
7,3 |
17 |
4,8 |
193 |
54,2 |
2011 |
Sortie de liste pour aggravation hors maladie initiale |
4 |
0 |
NA |
0 |
NA |
0 |
NA |
4 |
100,0 |
|
Sortie de liste pour aggravation de la maladie initiale |
10 |
1 |
10,0 |
0 |
NA |
3 |
30,0 |
6 |
60,0 |
|
Sortie de liste pour amélioration |
18 |
0 |
NA |
0 |
NA |
1 |
5,6 |
17 |
94,4 |
|
Annulation |
2 |
0 |
NA |
0 |
NA |
0 |
NA |
2 |
100,0 |
|
Décès en liste d'attente |
62 |
4 |
6,5 |
0 |
NA |
9 |
14,5 |
49 |
79,0 |
|
Décision personnelle du malade |
4 |
0 |
NA |
0 |
NA |
0 |
NA |
4 |
100,0 |
|
Greffe |
398 |
147 |
36,9 |
29 |
7,3 |
33 |
8,3 |
189 |
47,5 |
2012 |
Sortie de liste pour aggravation hors maladie initiale |
3 |
0 |
NA |
0 |
NA |
2 |
66,7 |
1 |
33,3 |
|
Sortie de liste pour aggravation de la maladie initiale |
11 |
0 |
NA |
1 |
9,1 |
1 |
9,1 |
9 |
81,8 |
|
Sortie de liste pour amélioration |
26 |
1 |
3,8 |
0 |
NA |
3 |
11,5 |
22 |
84,6 |
|
Annulation |
1 |
0 |
NA |
0 |
NA |
0 |
NA |
1 |
100,0 |
|
Décès en liste d'attente |
65 |
3 |
4,6 |
1 |
1,5 |
13 |
20,0 |
48 |
73,8 |
|
Décision personnelle du malade |
4 |
0 |
NA |
0 |
NA |
0 |
NA |
4 |
100,0 |
|
Greffe |
397 |
158 |
39,8 |
32 |
8,1 |
30 |
7,6 |
177 |
44,6 |
2013 |
Sortie de liste pour aggravation hors maladie initiale |
5 |
0 |
NA |
0 |
NA |
0 |
NA |
5 |
100,0 |
|
Sortie de liste pour aggravation de la maladie initiale |
13 |
0 |
NA |
1 |
7,7 |
4 |
30,8 |
8 |
61,5 |
|
Sortie de liste pour amélioration |
26 |
2 |
7,7 |
0 |
NA |
7 |
26,9 |
17 |
65,4 |
|
Décès en liste d'attente |
76 |
9 |
11,8 |
2 |
2,6 |
7 |
9,2 |
58 |
76,3 |
|
Décision personnelle du malade |
3 |
0 |
NA |
0 |
NA |
0 |
NA |
3 |
100,0 |
|
Greffe |
410 |
157 |
38,3 |
40 |
9,8 |
31 |
7,6 |
181 |
44,1 |
2014 |
Sortie de liste pour aggravation hors maladie initiale |
5 |
1 |
20,0 |
0 |
NA |
0 |
NA |
4 |
80,0 |
|
Sortie de liste pour aggravation de la maladie initiale |
9 |
1 |
11,1 |
0 |
NA |
4 |
44,4 |
4 |
44,4 |
|
Sortie de liste pour amélioration |
27 |
1 |
3,7 |
1 |
3,7 |
5 |
18,5 |
20 |
74,1 |
|
Décès en liste d'attente |
77 |
5 |
6,5 |
3 |
3,9 |
12 |
15,6 |
56 |
72,7 |
|
Décision personnelle du malade |
4 |
0 |
NA |
0 |
NA |
0 |
NA |
4 |
100,0 |
|
Greffe |
423 |
178 |
42,1 |
44 |
10,4 |
22 |
5,2 |
175 |
41,4 |
2015 |
Sortie de liste pour aggravation hors maladie initiale |
4 |
0 |
NA |
0 |
NA |
0 |
NA |
4 |
100,0 |
|
Sortie de liste pour aggravation de la maladie initiale |
14 |
0 |
NA |
1 |
7,1 |
3 |
21,4 |
10 |
71,4 |
|
Sortie de liste pour amélioration |
29 |
0 |
NA |
0 |
NA |
4 |
13,8 |
25 |
86,2 |
|
Décès en liste d'attente |
78 |
7 |
9,0 |
3 |
3,8 |
10 |
12,8 |
58 |
74,4 |
|
Décision personnelle du malade |
5 |
0 |
NA |
0 |
NA |
1 |
20,0 |
4 |
80,0 |
|
Greffe |
471 |
218 |
46,3 |
47 |
10,0 |
29 |
6,2 |
173 |
36,7 |
* La greffe est considérée comme une sortie de liste d’attente
NA= Non applicable / SU1 : Super Urgence 1 ; SU2 : Super Urgence 2
Données extraites de CRISTAL le 01/03/2016
Parmi les 471 malades greffés cardiaques en 2015, 218 (46%) l’étaient sous une SU1 active, 47 (10%) sous une SU2 active, 4 sous une SU3 active, 29 (6%) sous une urgence régionale active et 173 (37%) sans priorité au moment de la greffe.
Tableau C17. Caractéristiques des malades selon le type de Super Urgence (demandes faites en 2015 et acceptées)
|
SU1 |
SU2 |
||
N |
% |
N |
% |
|
Age à l'inscription |
20 |
6,3 |
0 |
0,0 |
0-17 ans |
||||
18-29 ans |
29 |
9,1 |
4 |
7,3 |
30-55 ans |
154 |
48,3 |
33 |
60,0 |
56-65 ans |
106 |
33,2 |
17 |
30,9 |
>=66 ans |
10 |
3,1 |
1 |
1,8 |
Sexe |
71 |
22,3 |
4 |
7,3 |
F |
||||
M |
248 |
77,7 |
51 |
92,7 |
Groupe sanguin |
126 |
39,5 |
24 |
43,6 |
A |
||||
AB |
10 |
3,1 |
3 |
5,5 |
B |
39 |
12,2 |
4 |
7,3 |
O |
144 |
45,1 |
24 |
43,6 |
Lieu de prise en charge au moment de l'inscription en liste |
66 |
20,7 |
19 |
34,5 |
Domicile |
||||
Hôpital |
37 |
11,6 |
11 |
20,0 |
USI |
214 |
67,1 |
25 |
45,5 |
Données manquantes |
2 |
0,6 |
0 |
0,0 |
Ventilation assistée invasive à l'inscription |
260 |
81,5 |
51 |
92,7 |
Non |
||||
Oui |
54 |
16,9 |
4 |
7,3 |
Données manquantes |
5 |
1,6 |
0 |
0,0 |
Assistance ventriculaire ou coeur artificiel à l'inscription* |
310 |
97,2 |
27 |
49,1 |
Non |
||||
Oui |
7 |
2,2 |
28 |
50,9 |
Données manquantes |
2 |
0,6 |
0 |
0,0 |
Circulation extra corporelle à l'inscription |
238 |
74,6 |
48 |
87,3 |
Non |
||||
Oui |
78 |
24,5 |
7 |
12,7 |
Données manquantes |
3 |
0,9 |
0 |
0,0 |
Drogues inotropes à l'inscription |
121 |
37,9 |
35 |
63,6 |
Non |
||||
Oui |
193 |
60,5 |
19 |
34,5 |
Données manquantes |
5 |
1,6 |
1 |
1,8 |
Dialyse à l'inscription |
317 |
99,4 |
53 |
96,4 |
Non |
||||
Oui |
2 |
0,6 |
2 |
3,6 |
Bilirubine à l'inscription |
238 |
74,6 |
44 |
80,0 |
<35 µmol/l |
||||
35-49 µmol/l |
37 |
11,6 |
6 |
10,9 |
>=50 µmol/l |
29 |
9,1 |
3 |
5,5 |
Données manquantes |
15 |
4,7 |
2 |
3,6 |
Créatinémie à l'inscription |
41 |
12,9 |
4 |
7,3 |
<60 µmol/l |
||||
60-119 µmol/l |
186 |
58,3 |
37 |
67,3 |
120-199 µmol/l |
80 |
25,1 |
9 |
16,4 |
>=200 µmol/l |
6 |
1,9 |
4 |
7,3 |
Données manquantes |
6 |
1,9 |
1 |
1,8 |
Total |
319 |
100,0 |
55 |
100,0 |
SU1 : Super Urgence 1 ; SU2 : Super Urgence 2
* Certains malades ont pu avoir une assistance mécanique transitoire qui a été arrêtée avant la demande de SU - 1 malade a eu une SU1 puis a été assisté et a finalement bénéficié d’une SU2, il est compté 2 fois dans le tableau
Données extraites de CRISTAL le 01/03/2016
Ce tableau comptabilise le nombre de priorités demandées en 2015 et acceptées. Il est différent du nombre de malades ou du nombre d’inscriptions car plusieurs malades ont bénéficié de plusieurs demandes successives pour une même inscription durant leur parcours de soin. Ainsi quelques malades sont comptabilisés plusieurs fois.
Activité de greffe
Le nombre de greffes cardiaques réalisées en 2015 est en augmentation de 11% par rapport à 2014 (471 contre 423 greffes). Le taux de greffe de 7,1 par million d’habitants a augmenté de 1,6 pmh par rapport à 2010. Les cardiopathies les plus fréquentes conduisant à la greffe sont les cardiomyopathies dilatées (47%) et les cardiopathies ischémiques (35 %). En 2015, l’âge moyen des malades greffés est de 50,2 ans avec 201 (43%) malades de plus de 55 ans et 17 (4%) enfants greffés. Cette année, la moyenne d’âge des donneurs est de 44,8 ans avec 128 (27%) donneurs de plus de 55 ans. Cent greffons ont une durée d’ischémie froide supérieure à 4 heures. Le rapport offre/demande de greffons mesuré par le nombre total de candidats à une greffe pour un greffon est de 2,1, stable depuis 2010 sans tenir compte des candidats en contre-indication temporaire dont la proportion était de 30% au 1er janvier 2015.
Parmi les 25 équipes, 14 inscrivent plus de 20 malades en liste d’attente en 2015, et, 5 réalisent plus de 20 greffes dans l’année. Parmi ces dernières, toutes inscrivent plus de 20 nouveaux malades en attente dans l’année. Pour autant l’accès à la greffe calculé en divisant le nombre de greffes par le nombre total d’inscrits en attente varie notablement selon l’équipe, de 30% à Lille à 76% à Paris Bichat pour les équipes adultes. Le taux de croissance du nombre de greffes par équipe va de +200% à Grenoble à – 23,5% à Paris Georges Pompidou en 2015 par rapport à 2014.
Tableau C18. Evolution du nombre de greffes cardiaques (1986-2015)
Année de greffe |
Nombre total de greffes |
- dont domino |
1986 |
294 |
0 |
1987 |
462 |
0 |
1988 |
556 |
0 |
1989 |
626 |
0 |
1990 |
639 |
0 |
1991 |
632 |
0 |
1992 |
563 |
0 |
1993 |
526 |
0 |
1994 |
430 |
0 |
1995 |
408 |
0 |
1996 |
397 |
0 |
1997 |
366 |
3 |
1998 |
370 |
0 |
1999 |
321 |
0 |
2000 |
328 |
0 |
2001 |
316 |
1 |
2002 |
319 |
0 |
2003 |
283 |
1 |
2004 |
317 |
0 |
2005 |
339 |
0 |
2006 |
358 |
0 |
2007 |
366 |
1 |
2008 |
360 |
0 |
2009 |
359 |
0 |
2010 |
356 |
0 |
2011 |
398 |
0 |
2012 |
397 |
0 |
2013 |
410 |
0 |
2014 |
423 |
0 |
2015 |
471 |
0 |
Données extraites de CRISTAL le 01/03/2016
Tableau C19. Evolution du nombre de greffes cardiaques par indication et incidence par million d'habitants
Indication |
2010 |
2011 |
2012 |
2013 |
2014 |
2015 |
||||||||||||
N |
% |
pmh |
N |
% |
pmh |
N |
% |
pmh |
N |
% |
pmh |
N |
% |
pmh |
N |
% |
pmh |
|
Autres pathologies |
62 |
17,4 |
1,0 |
58 |
14,6 |
0,9 |
71 |
17,9 |
1,1 |
55 |
13,4 |
0,8 |
58 |
13,7 |
0,9 |
59 |
12,5 |
0,9 |
Cardiomyopathies dilatées |
143 |
40,2 |
2,2 |
181 |
45,5 |
2,8 |
179 |
45,1 |
2,7 |
200 |
48,8 |
3,0 |
204 |
48,2 |
3,1 |
220 |
46,7 |
3,3 |
Cardiopathies ischémiques |
128 |
36,0 |
2,0 |
128 |
32,2 |
2,0 |
124 |
31,2 |
1,9 |
133 |
32,4 |
2,0 |
131 |
31,0 |
2,0 |
163 |
34,6 |
2,5 |
Cardiopathies valvulaires |
21 |
5,9 |
0,3 |
27 |
6,8 |
0,4 |
19 |
4,8 |
0,3 |
18 |
4,4 |
0,3 |
24 |
5,7 |
0,4 |
24 |
5,1 |
0,4 |
Retransplantations |
2 |
0,6 |
0,0 |
4 |
1,0 |
0,1 |
4 |
1,0 |
0,1 |
4 |
1,0 |
0,1 |
6 |
1,4 |
0,1 |
5 |
1,1 |
0,1 |
Total |
356 |
100,0 |
5,5 |
398 |
100,0 |
6,1 |
397 |
100,0 |
6,1 |
410 |
100,0 |
6,2 |
423 |
100,0 |
6,4 |
471 |
100,0 |
7,1 |
pmh : par million d'habitants
Données extraites de CRISTAL le 01/03/2016
Parmi les maladies conduisant à la greffe cardiaque, les cardiomyopathies dilatées concernent 47% des greffés contre 35% pour les cardiopathies ischémiques, les autres pathologies (hors cardiopathies valvulaires et retransplantations) concernent 13% des cas.
Tableau C20. Activité d’inscription et de greffe cardiaque par équipe en activité en 2015
Equipe de greffe |
Nombre de nouveaux inscrits en 2015 |
Nombre de malades restant au 1er janvier 2015 |
Nombre de SU1 demandées en 2015 |
Nombre de SU2 demandées en 2015 |
Nombre de malades avec assistance ventriculaire à l'inscription en 2015 |
Nombre de greffes réalisées en 2015 |
Taux de croissance 2015 |
Bordeaux (A+P) |
29 |
13 |
11 |
6 |
5 |
19 |
58,3 |
Caen (A) |
8 |
9 |
3 |
3 |
1 |
9 |
28,6 |
Clermont-Ferrand (A) |
23 |
7 |
11 |
0 |
1 |
17 |
21,4 |
Créteil Henri Mondor (AP-HP) (A) |
13 |
9 |
4 |
2 |
1 |
10 |
-23,1 |
Dijon (A) |
14 |
6 |
6 |
1 |
1 |
10 |
-16,7 |
Grenoble (A) |
19 |
5 |
8 |
1 |
0 |
12 |
200,0 |
Le Plessis-Robinson Marie-Lannelongue (A+P) |
13 |
9 |
6 |
1 |
0 |
10 |
66,7 |
Lille (A) |
35 |
21 |
16 |
2 |
4 |
17 |
30,8 |
Limoges (A) |
17 |
1 |
11 |
0 |
2 |
13 |
116,7 |
Lyon I (HCL) (A+P) |
28 |
21 |
23 |
0 |
0 |
22 |
-12,0 |
Lyon II (HCL) (A) |
17 |
24 |
16 |
4 |
0 |
16 |
33,3 |
Marseille Timone adultes (APM) (A) |
23 |
51 |
19 |
2 |
0 |
23 |
9,5 |
Marseille Timone enfants (APM) (P) |
5 |
3 |
5 |
0 |
2 |
3 |
200,0 |
Montpellier (A) |
22 |
16 |
6 |
4 |
4 |
18 |
28,6 |
Nancy (A) |
9 |
10 |
4 |
0 |
0 |
6 |
50,0 |
Nantes (A+P) |
22 |
16 |
9 |
4 |
0 |
19 |
-9,5 |
Paris Bichat (AP-HP) (A) |
44 |
11 |
31 |
0 |
2 |
42 |
20,0 |
Paris Georges Pompidou (AP-HP) (A) |
21 |
9 |
8 |
0 |
3 |
13 |
-23,5 |
Paris Necker Enfants Malades (AP-HP) (P) |
4 |
2 |
1 |
0 |
1 |
1 |
-75,0 |
Paris Pitié-Salpêtrière (AP-HP) (A) |
128 |
63 |
74 |
11 |
6 |
99 |
12,5 |
Rennes (A) |
25 |
11 |
8 |
3 |
6 |
19 |
-36,7 |
Rouen (A) |
12 |
10 |
4 |
0 |
0 |
9 |
-25,0 |
Strasbourg (A) |
21 |
6 |
7 |
2 |
3 |
18 |
0,0 |
Toulouse (A) |
42 |
17 |
25 |
8 |
8 |
29 |
81,3 |
Tours (A) |
28 |
8 |
14 |
1 |
0 |
17 |
-5,6 |
|
622 |
358 |
330 |
55 |
50 |
471 |
11,3 |
NA : Non applicable - SU1 : Super urgence 1 - SU2 : Super urgence 2 – (A) = autorisation greffe adulte (P) autorisation greffe pédiatrique
Données extraites de CRISTAL le 01/03/2016
En 2015, 25 équipes ont réalisé de 1 (Paris Necker Enfants Malades) à 99 (la Pitié-Salpêtrière) greffes. Les équipes avec les effectifs plus faibles sont des équipes pédiatriques.
Tableau C21. Evolution des durées moyennes d’ischémie froide en heure (hors greffes combinées)
|
2010 |
2011 |
2012 |
2013 |
2014 |
2015 |
||||||
N |
% |
N |
% |
N |
% |
N |
% |
N |
% |
N |
% |
|
Durée d'ischémie (heures) |
50 |
14,5 |
68 |
17,6 |
59 |
15,4 |
49 |
12,5 |
46 |
11,4 |
41 |
9,2 |
< 2h |
||||||||||||
2-4h |
190 |
55,2 |
217 |
56,1 |
212 |
55,4 |
234 |
59,8 |
254 |
62,9 |
258 |
57,6 |
4-6h |
91 |
26,5 |
85 |
22,0 |
90 |
23,5 |
72 |
18,4 |
70 |
17,3 |
100 |
22,3 |
> 6h |
3 |
0,9 |
2 |
0,5 |
2 |
0,5 |
1 |
0,3 |
2 |
0,5 |
0 |
0,0 |
Manquant |
10 |
2,9 |
15 |
3,9 |
20 |
5,2 |
35 |
9,0 |
32 |
7,9 |
49 |
10,9 |
Total |
344 |
100,0 |
387 |
100,0 |
383 |
100,0 |
391 |
100,0 |
404 |
100,0 |
448 |
100,0 |
Std : standard déviation
Données extraites de CRISTAL le 01/03/2016
Survie post greffe
La probabilité de survie du receveur après une greffe cardiaque réalisée entre 1993 et 2014 estimée par la méthode de Kaplan-Meier est de 75% à un an, 67% à 5 ans et 54% à 10 ans. Elle dépend en particulier de l’âge du receveur. Les adultes de plus de 60 ans ont une survie significativement diminuée par rapport aux adultes plus jeunes (68% versus 77% à 1 an). La médiane de survie pour les malades âgés de 18 à 60 ans est de 150 mois. La survie est significativement plus basse pour les receveurs ayant reçu un greffon issu d’un donneur de plus de 60 ans (survie à 1 an de 69% versus 76%). La survie du receveur à 1 an après une retransplantation est de 67%. L’analyse de la probabilité de survie à un an selon la période de greffe montre qu’après une diminution entre 2005 et 2008, il y a depuis 2009 une amélioration (80% pour la période 2013- 2014, 77% pour la période 2009- 2012 versus 72% pour la période 2005-2008). La diminution de la survie observée après la mise en place des super-urgences (juillet 2004) avait été rapportée à l’augmentation du nombre de malades opérés en insuffisance cardiaque sévère, à l’augmentation de l’âge des donneurs et à l’allongement des durées d’ischémie mais aussi à l’augmentation du nombre de malades greffés avec une autre défaillance d’organe que l’insuffisance cardiaque en particulier une insuffisance rénale. Une étude sur les facteurs de risque d’échec après greffe cardiaque menée sur la cohorte des malades, adultes, ayant bénéficié d’une première greffe isolée, entre janvier 2010 et décembre 2013, a permis de montrer que l’âge et le genre féminin du donneur, l’âge du receveur, l’origine de l’insuffisance cardiaque, le débit de filtration glomérulaire et la bilirubine du receveur le jour de la greffe sont les facteurs de risque indépendants de mortalité 1 an après greffe. L’analyse de la survie des malades greffés entre 2004 et 2014 selon la dernière priorité, montre que ce sont les malades greffés dans le cadre d’une SU2 qui ont la survie à 1 an après la greffe la plus élevée, sans que cette différence soit significative. Pour les malades greffés dans le cadre d’une super-urgence, la survie 1 an après la greffe est de 80% s’il s’agit d’une SU2 et de 76% s’il s’agit d’une SU1.
La fréquence des dysfonctions précoces du greffon, déjà très élevée en 2014 (29%) par rapport à d’autres pays, est en 2015 de 38%, probablement en raison des caractéristiques des donneurs en mort encéphalique prélevés d’un greffon cardiaque en France et de celles des receveurs.
Figure C4. Courbe de survie du receveur après greffe cardiaque (1ère inscription en 1993- juin 2014)
| Période de greffe | N |
Survie à 1 mois |
Survie à 1 an |
Survie à 5 ans |
Survie à 10 ans |
Survie à 15 ans |
Médiane de |
1993- juin 2014 |
7934 |
84,5% |
75,1% |
66,5% |
54,4% |
NO |
142,4 |
nombre de sujets à risque* |
|
6650 |
5801 |
3999 |
2323 |
1084 |
|
[] : Intervalle de confiance
NO : non observable
* : Nombre de malades restant à observer pour chaque temps et pour lesquels aucun évènement n'est survenu
Données extraites de CRISTAL le 01/03/2016
Le taux de survie à un an des malades greffés cardiaques entre 1993 et 2014 est de 75%.
Figure C5. Courbe de survie du greffon après une première greffe cardiaque (1993- juin 2014)
| Période de greffe | N |
Survie à 1 mois |
Survie à 1 an |
Survie à 5 ans |
Survie à 10 ans |
Survie à 15 ans |
Médiane de |
1993-juin 2014 |
7934 |
84,3% |
74,9% |
66,1% |
53,7% |
NO |
137,8 |
nombre de sujets à risque* |
|
6637 |
5782 |
3977 |
2293 |
1055 |
|
[] : Intervalle de confiance NO : non observable
* : Nombre de malades restant à observer pour chaque temps et pour lesquels aucun évènement n'est survenu
Données extraites de CRISTAL le 01/03/2016
Le taux de survie à un an du greffon cardiaque entre 1993 et 2014 est de 75%. Il est très proche de celui de la survie du malade.
Figure C6. Courbe de survie du receveur selon la période de première greffe cardiaque (1993- juin 2014)
Période de greffe |
N |
Survie à 1 mois |
Survie à 1 an |
Survie à 5 ans |
Survie à 10 ans |
Survie à 15 ans |
Médiane de |
1985-1989 |
2026 |
79,9% |
67,3% |
53,5% |
38,8% |
26,3% |
72,9 |
nombre de sujets à risque* |
|
1606 |
1353 |
1074 |
773 |
500 |
|
1990-1994 |
2717 |
81,9% |
71,7% |
60,8% |
46,5% |
33,1% |
105,0 |
nombre de sujets à risque* |
|
2211 |
1936 |
1639 |
1232 |
851 |
|
1995-1999 |
1808 |
83,3% |
74,0% |
65,5% |
53,7% |
42,2% |
140,0 |
nombre de sujets à risque* |
|
1505 |
1338 |
1180 |
955 |
718 |
|
2000-2004 |
1519 |
85,8% |
77,3% |
69,6% |
57,9% |
NO |
159,4 |
nombre de sujets à risque* |
|
1302 |
1174 |
1051 |
841 |
71 |
|
2005-2008 |
1389 |
82,2% |
72,3% |
63,6% |
NO |
NO |
NO |
nombre de sujets à risque* |
|
1141 |
1003 |
871 |
80 |
0 |
|
2009-2012 |
1476 |
86,6% |
77,0% |
67,8% |
NO |
NO |
NO |
nombre de sujets à risque* |
|
1276 |
1133 |
329 |
0 |
0 |
|
2013-juin 2014 |
818 |
88,4% |
79,5% |
NO |
NO |
NO |
NO |
nombre de sujets à risque* |
|
680 |
500 |
0 |
0 |
0 |
|
[] : Intervalle de confiance
NO : non observable
* : Nombre de malades restant à observer pour chaque temps et pour lesquels aucun évènement n'est survenu
Le taux de survie s’améliore avec le temps, il est de 79% à 1 an sur la cohorte la plus récente (2013 à juin 2014).
Figure C7. Courbe de survie du receveur après une première greffe cardiaque selon l'âge du receveur (1993- juin 2014)
Classe d'âge (ans) |
N |
Survie à 1 mois |
Survie à 1 an |
Survie à 5 ans |
Survie à 10 ans |
Survie à 15 ans |
Médiane de |
0-17 ans |
428 |
88,7% |
82,0% |
73,5% |
63,5% |
NO |
NO |
nombre de sujets à risque* |
|
374 |
340 |
206 |
117 |
64 |
|
18-60 ans |
5971 |
85,3% |
76,6% |
67,8% |
56,0% |
NO |
149,6 |
nombre de sujets à risque* |
|
5060 |
4465 |
3146 |
1851 |
855 |
|
> 60 ans |
1535 |
80,1% |
67,5% |
59,3% |
45,3% |
NO |
99,6 |
nombre de sujets à risque* |
|
1216 |
996 |
647 |
355 |
165 |
|
[] : Intervalle de confiance
NO : non observable
* : Nombre de malades restant à observer pour chaque temps et pour lesquels aucun évènement n'est survenu
Données extraites de CRISTAL le 01/03/2016
Le taux de survie à un an des malades greffés cardiaques entre 1993 et juin 2014 et âgés de plus de 60 ans est de 67%.
La survie à 1 an des receveurs de plus de 60 ans est significativement plus faible que pour le groupe des 0-17 ans (81%) et des 18-60 ans (76%).
Figure C8. Courbe de survie du receveur selon la dernière priorité (2004 – juin 2014)
Priorité |
N |
Survie à 1 mois |
Survie à 1 an |
Survie à 5 ans |
Survie à 10 ans |
Survie à 15 ans |
Médiane de |
Aucune |
5446 |
84,6% |
75,1% |
66,5% |
54,4% |
41,0% |
142,2 |
nombre de sujets à risque* |
|
4587 |
4022 |
3053 |
1959 |
912 |
|
Urgence et dérogation |
919 |
81,5% |
73,6% |
65,9% |
54,6% |
43,9% |
144,9 |
nombre de sujets à risque* |
|
745 |
669 |
519 |
342 |
172 |
|
SU1 |
1309 |
85,2% |
75,5% |
65,9% |
NO |
NO |
NO |
nombre de sujets à risque* |
|
1090 |
917 |
358 |
17 |
0 |
|
SU2 |
260 |
89,1% |
80,1% |
68,9% |
NO |
NO |
NO |
nombre de sujets à risque* |
|
228 |
193 |
69 |
5 |
0 |
|
[] : Intervalle de confiance
NO : non observable
* : Nombre de malades restant à observer pour chaque temps et pour lesquels aucun évènement n'est survenu
SU1 : Super Urgence 1 ; SU2 : Super Urgence 2 ; Données extraites de CRISTAL le 01/03/2016
Nous n’observons pas de différence significative de survie après greffe cardiaque selon les priorités.
Figure C9. Courbe de survie du receveur après retransplantation cardiaque (1993-juin 2014)
Période de greffe |
N |
Survie à 1 mois |
Survie à 1 an |
Survie à 5 ans |
Survie à 10 ans |
Survie à 15 ans |
Médiane de |
1993-juin 2014 |
223 |
75,7% |
67,1% |
57,3% |
41,4% |
NO |
83,6 |
nombre de sujets à risque* |
|
168 |
147 |
102 |
52 |
21 |
|
[] : Intervalle de confiance
NO : non observable
* : Nombre de malades restant à observer pour chaque temps et pour lesquels aucun évènement n'est survenu
Données extraites de CRISTAL le 01/03/2016
Le taux de survie à un an des malades retransplantés entre 1993 et juin 2014 est de 67%.
Figure C10. Courbe de survie du receveur après première greffe cardiaque selon l'âge du donneur (1993-juin 2014)
Classe d'âge du donneur (ans) |
N |
Survie à 1 mois |
Survie à 1 an |
Survie à 5 ans |
Survie à 10 ans |
Survie à 15 ans |
Médiane de |
0-17 ans |
1819 |
84,2% |
74,4% |
66,0% |
54,4% |
40,0% |
140,1 |
nombre de sujets à risque* |
|
1524 |
1339 |
1101 |
825 |
534 |
|
18-60 ans |
5775 |
84,7% |
75,7% |
66,9% |
54,6% |
NO |
143,3 |
nombre de sujets à risque* |
|
4851 |
4252 |
2818 |
1476 |
545 |
|
> 60 ans |
340 |
81,9% |
69,0% |
59,1% |
NO |
NO |
NO |
nombre de sujets à risque* |
|
275 |
210 |
80 |
22 |
5 |
|
[] : Intervalle de confiance
NO : non observable
* : Nombre de malades restant à observer pour chaque temps et pour lesquels aucun évènement n'est survenu
Données extraites de CRISTAL le 01/03/2016
Tableau C22. Répartition des malades déclarés vivants, en fonction du délai écoulé depuis les dernières nouvelles : état de la base au 31 décembre 2015 des malades ayant eu une greffe cardiaque entre 1993 et 2014
|
Nombre de dossiers suivis |
Ancienneté des dernières nouvelles (en % de dossiers) |
||
0-1 an (%) |
1-2 ans (%) |
> 2 ans* (%) |
||
Equipe de suivi |
151 |
94,7 |
5,3 |
0,0 |
Bordeaux (A+P) |
||||
Caen (A) |
79 |
97,5 |
2,5 |
0,0 |
Clermont-Ferrand (A) |
109 |
98,2 |
1,8 |
0,0 |
Créteil Henri Mondor (AP-HP) (A) |
140 |
92,1 |
6,4 |
1,4 |
Dijon (A) |
79 |
98,7 |
1,3 |
0,0 |
Grenoble (A) |
69 |
100,0 |
0,0 |
0,0 |
Le Plessis-Robinson Marie-Lannelongue (A+P) |
86 |
73,3 |
26,7 |
0,0 |
Lille (A) |
135 |
98,5 |
1,5 |
0,0 |
Limoges (A) |
59 |
100,0 |
0,0 |
0,0 |
Lyon I (HCL) (A+P) |
266 |
100,0 |
0,0 |
0,0 |
Lyon II (HCL) (A) |
199 |
100,0 |
0,0 |
0,0 |
Marseille Timone adultes (APM) (A) |
134 |
88,1 |
11,9 |
0,0 |
Marseille Timone enfants (APM) (P) |
73 |
79,5 |
20,5 |
0,0 |
Montpellier (A) |
116 |
62,1 |
37,9 |
0,0 |
Nancy (A) |
129 |
96,1 |
3,9 |
0,0 |
Nantes (A+P) |
321 |
98,8 |
1,2 |
0,0 |
NiceXA** |
16 |
0,0 |
6,3 |
93,8 |
Paris Bichat (AP-HP) (A) |
104 |
20,2 |
51,0 |
28,8 |
Paris Georges Pompidou (AP-HP) (A) |
144 |
72,2 |
27,8 |
0,0 |
Paris Necker Enfants Malades (AP-HP) (P) |
48 |
18,8 |
14,6 |
66,7 |
Paris Pitié-Salpêtrière (AP-HP) (A) |
673 |
90,9 |
4,6 |
4,5 |
Rennes (A) |
213 |
100,0 |
0,0 |
0,0 |
Rouen (A) |
153 |
98,7 |
1,3 |
0,0 |
Strasbourg (A) |
168 |
100,0 |
0,0 |
0,0 |
SuresnesFoch** |
26 |
100,0 |
0,0 |
0,0 |
Toulouse (A) |
90 |
98,9 |
1,1 |
0,0 |
Tours (A) |
169 |
100,0 |
0,0 |
0,0 |
Total |
3949 |
90,5 |
6,7 |
2,8 |
* pourcentage de dossiers dont les dernières nouvelles datent de plus de 2 ans ou sont manquantes
** Equipe de suivi sans autorisation d'activité de greffe
Le Tableau C22 présente le nombre de malades suivis dans chaque équipe depuis 1993, ainsi que le nombre et la proportion de malades selon l’ancienneté de leur dernier bilan après greffe. Le nombre de malades pour lesquels le suivi n’est pas renseigné depuis plus d’un an stagne après une importante diminution (12% depuis 2013 contre 49% en 2000), et reste à un taux devant rendre prudente l’interprétation des données pour l’analyse de la survie post greffe.
Le taux de dossiers dont la mise à jour date de plus de deux ans ou est manquante est inférieur à 10% sauf pour 3 équipes Paris Bichat et Paris Necker Enfants Malades et une qui a été fermée (Nice).
Tableau C23. Estimation du nombre de malades porteurs d’un greffon cardiaque fonctionnel au 31 décembre 2015, par équipe de suivi
| Equipe de suivi | Nombre de malades n'ayant pas fait l'objet d'une déclaration de décès ou d'arrêt de fonction du greffon |
Nombre malades suivis (dernières nouvelles<=18 mois) |
Nombre estimé de malades vivants avec greffon fonctionnel au 31/12/2015 |
Bordeaux (A+P) |
183 |
183 |
183 |
Caen (A) |
95 |
95 |
95 |
Clermont-Ferrand (A) |
128 |
124 |
125 |
Créteil Henri Mondor (AP-HP) (A) |
170 |
155 |
159 |
Dijon (A) |
104 |
95 |
97 |
Grenoble (A) |
90 |
88 |
88 |
Le Plessis-Robinson Marie-Lannelongue (A+P) |
113 |
95 |
98 |
Lille (A) |
164 |
160 |
161 |
Limoges (A) |
71 |
67 |
68 |
Lyon (HCL) * |
0 |
0 |
0 |
Lyon I (HCL) (A+P) |
312 |
311 |
312 |
Lyon II (HCL) (A) |
252 |
244 |
245 |
Marseille Timone adultes (APM) (A) |
174 |
162 |
165 |
Marseille Timone enfants (APM) (P) |
91 |
89 |
89 |
Marseille sud * |
22 |
0 |
3 |
Montpellier (A) |
148 |
146 |
146 |
Nancy (A) |
153 |
146 |
148 |
Nantes (A+P) |
372 |
365 |
367 |
Nice XA * |
26 |
1 |
7 |
Paris Bichat (AP-HP) (A) |
142 |
93 |
114 |
Paris Georges Pompidou (AP-HP) (A) |
179 |
171 |
173 |
Paris Lariboisière CA * |
0 |
0 |
0 |
Paris Necker Enfants Malades (AP-HP) (P) |
58 |
13 |
32 |
Paris Pitié-Salpêtrière (AP-HP) (A) |
861 |
764 |
791 |
Rennes (A) |
236 |
233 |
234 |
Rouen (A) |
172 |
169 |
170 |
St Laurent du Var * |
25 |
0 |
2 |
Strasbourg (A) |
196 |
196 |
196 |
Suresnes Foch * |
53 |
26 |
31 |
Toulouse (A) |
137 |
134 |
134 |
Tours (A) |
187 |
187 |
187 |
Total |
4914 |
4512 |
4621 |
* Equipe de suivi sans autorisation d'activité de greffe cardiaque
Malgré l’amélioration de l’exhaustivité des données de suivi des malades greffés cardiaques, il n’est pas possible d’obtenir le nombre de malades porteurs d’un greffon fonctionnel par simple interrogation de Cristal. Ainsi, l’estimation de ce nombre a été effectuée en deux étapes basées sur l’ancienneté des données de suivi du malade.
Dans un premier temps, nous avons dénombré les porteurs d’un greffon fonctionnel dans Cristal (malades déclarés vivants sans arrêt de fonction du greffon) dont les dernières nouvelles dataient de moins de 18 mois (suivi annuel obligatoire dans Cristal). Pour les malades qui n’avaient pas fait l’objet d’une déclaration de décès ou d’arrêt de fonction du greffon et dont les dernières nouvelles dataient de plus de 18 mois, le nombre de porteurs d’un greffon fonctionnel a été estimé en leur appliquant les taux de survie du greffon estimés sur la population globale.
Le nombre total de porteurs d’un greffon fonctionnel correspond à la somme de ces deux valeurs. Le chiffre ainsi estimé est encadré par deux bornes :
- la borne inférieure correspond à l’hypothèse la plus pessimiste, selon laquelle les malades non suivis sont considérés comme en arrêt fonctionnel de greffon ou décédés. Cela signifie que seuls les greffés qui n’avaient pas fait l’objet d’une déclaration de décès ou d’arrêt de fonction du greffon au 31 décembre de l’année et dont les données de suivi dataient de moins de 18 mois étaient porteurs d’un greffon fonctionnel à cette date,
- la borne supérieure correspond à l’hypothèse la plus optimiste, selon laquelle les malades non suivis sont considérés comme porteurs d’un greffon fonctionnel. En d’autres termes, tous les greffés qui n’avaient pas fait l’objet d’une déclaration de décès ou d’arrêt de fonction du greffon au 31 décembre de l’année, quelle que soit l’ancienneté des données de suivi, étaient vivants et porteurs d’un greffon fonctionnel à cette date.
Le nombre de malades porteurs d’un greffon fonctionnel est un indicateur important de la charge de travail des équipes médico-chirurgicales de greffe qui doivent assumer le suivi d’une cohorte chaque année grandissante de malades sous traitement immunosuppresseur. Le nombre de porteurs d'un greffon fonctionnel estimé au 31 décembre 2015 varie d'une équipe de suivi à l'autre de 0 à 791 malades. Les équipes exclusivement pédiatriques ont naturellement des niveaux d'activité plus bas. Depuis 1968, année de la première greffe cardiaque enregistrée dans Cristal, un total de 12 736 greffes de cœur a été réalisé (dont 543 par des équipes aujourd’hui fermées), ce qui représente l'expérience cumulée globale française. Le nombre estimé de malades porteurs d’un greffon cardiaque est de 4 621 malades au 31 décembre 2015.
Tableau C24. Dysfonction précoce du greffon* pour les greffes réalisées en 2015
Dysfonction précoce du greffon |
N |
% |
Non |
234 |
49,7 |
Oui |
177 |
37,6 |
Manquant |
60 |
12,7 |
*survenue dans les 24 heures
suivant la greffe avec une fraction d’éjection ventriculaire gauche (FEVG) < 30% (échographie) et/ou la nécessité d’une assistance circulatoire mécanique, d’un ECLS (ECMO), d’une retransplantation ou conduisant au décès du patient
Données extraites de CRISTAL le 01/03/2016
Tableau C25. Traitement de désimmunisation dans le mois précédent la greffe réalisée en 2015
Traitement de désimmunisation dans le mois précédent la greffe |
N |
% |
Non |
396 |
84,1 |
Oui |
23 |
4,9 |
Manquant |
52 |
11,0 |
Données extraites de CRISTAL le 01/03/2016
Tableau C26. Traitement de désimmunisation après la greffe réalisée en 2015
| Traitement de désimmunisation après la greffe | N |
% |
Non |
331 |
70,3 |
Oui |
86 |
18,3 |
Manquant |
54 |
11,5 |
Données extraites de CRISTAL le 01/03/2016
Conclusion
Les caractéristiques de l’année 2015 sont :
- un nombre de nouveaux inscrits sur la liste d’attente (9,4 pmh) en hausse de 9% par rapport à 2014
- une activité de greffe (7,1 greffes pmh) en augmentation de 11% par rapport à 2014 permettant de maintenir stable le niveau de l’offre/demande (2,1 candidats pour un greffon)
- une hausse de l’activité de prélèvement cardiaque de 13%, plus importante que l’augmentation du nombre de donneurs en mort encéphalique prélevés d’au moins un organe (7%)
- une faible augmentation du nombre de demandes de super-urgence 1 (4%) avec une stabilisation de la proportion de candidats pour lesquels une demande a été faite (32% versus 33%)
- une augmentation notable du nombre de greffes réalisées dans le cadre d’une super-urgence 1 (22,5%)
- une stabilisation du nombre de demandes de super-urgence 2 avec une légère augmentation du nombre de greffes réalisées dans le cadre de cette priorité (7%)
- un taux d’incidence de décès et un taux d’incidence de décès et de sortie de liste pour aggravation de l’état médical pour 100 patient-années élevés, respectivement de 21% et 26%, alors que le taux d’incidence cumulée de greffe à 1 an en risques concurrents pour les inscrits entre 2011 et 2015 a été de 68%
- un taux de survie 1 an après greffe de 80% pour les malades opérés entre 2013 et juin 2014 en amélioration par rapport à celui des malades opérés entre 2005 et 2008 (72%) et entre 2009 et 2012 (77%)
- parmi les malades opérés dans le cadre d’une super-urgence, une survie meilleure pour ceux opérés avec une assistance circulatoire de longue durée compliquée (super-urgence 2) (non significativement).