Résumé de l’activité
Depuis 1982, date de la première greffe cardio-pulmonaire, et 1987, date de la première greffe pulmonaire enregistrée dans Cristal, 879 greffes cardio-pulmonaires et 4 252 greffes de poumon ont été enregistrées, ce qui représente l’expérience cumulée globale française en matière de greffe pulmonaire et cardio-pulmonaire. Sur l’ensemble du territoire national, au 31 décembre 2015, on estime à 183 le nombre de porteurs d’un greffon cœur-poumons fonctionnel et à 1 899 celui des porteurs d’un greffon pulmonaire fonctionnel.
Tableau PCP1a. Evolution de la liste d'attente et devenir des candidats en greffe cardio-pulmonaire
|
2010 |
2011 |
2012 |
2013 |
2014 |
2015 |
2016 |
Liste d'attente |
|
|
|
|
|
|
|
- malades restant en attente au 1er janvier de chaque année |
24 |
18 |
17 |
15 |
21 |
18 |
16 |
dont malades en attente au 1er janvier et en CIT |
5 |
7 |
6 |
5 |
6 |
4 |
3 |
% des malades en CIT parmi les malades en attente au 1er janvier |
21% |
39% |
35% |
33% |
29% |
22% |
19% |
- nouveaux inscrits dans l'année |
23 |
18 |
24 |
21 |
17 |
13 |
|
- décédés dans l'année |
5 |
3 |
3 |
2 |
6 |
5 |
|
- sortis de la liste d'attente |
5 |
4 |
3 |
2 |
1 |
2 |
|
- dont sortis de la liste d'attente pour aggravation |
1 |
0 |
1 |
2 |
1 |
2 |
|
Greffes |
19 |
12 |
20 |
11 |
13 |
8 |
|
Greffes (pmh) |
0,3 |
0,2 |
0,3 |
0,2 |
0,2 |
0,1 |
|
CIT : contre indication temporaire
Données extraites de CRISTAL le 01/03/2016
Tableau PCP1b. Evolution de la liste d'attente et devenir des candidats en greffe pulmonaire
|
2010 |
2011 |
2012 |
2013 |
2014 |
2015 |
2016 |
Liste d'attente |
|
|
|
|
|
|
|
- malades restant en attente au 1er janvier de chaque année |
180 |
167 |
147 |
127 |
166 |
155 |
159 |
dont malades en attente au 1er janvier et en CIT |
21 |
16 |
14 |
14 |
13 |
12 |
9 |
% des malades en CIT parmi les malades en attente au 1er janvier |
12% |
10% |
10% |
11% |
8% |
8% |
6% |
- nouveaux inscrits dans l'année |
272 |
325 |
334 |
376 |
362 |
382 |
|
- décédés dans l'année |
21 |
18 |
16 |
17 |
29 |
15 |
|
- sortis de la liste d'attente |
20 |
15 |
16 |
21 |
17 |
18 |
|
- dont sortis de la liste d'attente pour aggravation |
12 |
7 |
7 |
11 |
11 |
11 |
|
Greffes |
244 |
312 |
322 |
299 |
327 |
345 |
|
Greffes (pmh) |
3,8 |
4,8 |
4,9 |
4,5 |
4,9 |
5,2 |
|
CIT : contre indication temporaire /
Données extraites de CRISTAL le 01/03/2016
Devenir des candidats en liste d’attente
Liste d’attente
En 2015, le nombre de nouveaux inscrits sur la liste d’attente pour une greffe cardio-pulmonaire diminue de 23,5% (13 en 2015 versus 17 en 2014) alors que celui des nouveaux inscrits pour une greffe pulmonaire augmente de 5,5% (382 en 2015 versus 362 en 2014). Cette différence d’évolution entre les deux greffes s’inscrit dans une tendance durable puisqu’au cours des six dernières années le nombre de nouveaux inscrits chaque année en attente de greffe cardio-pulmonaire a baissé de 43,5% alors que celui en attente de greffe pulmonaire a augmenté de 40,4%. Parallèlement, le nombre de greffes cardio-pulmonaires baisse de 38,5% en 2015 par rapport à 2014 alors que le nombre de greffes pulmonaires augmente de 5,5% (345 en 2015 versus 327 en 2014). La baisse plus importante du nombre de greffes que de nouveaux candidats en greffe cardio-pulmonaire aboutit à une augmentation de la pénurie quand la hausse identique du nombre de greffes et de nouveaux inscrits en greffe pulmonaire permet une stabilité du niveau de pénurie (respectivement 3,9 et 1,6 candidats pour un greffon en greffe cardio-pulmonaire et en greffe pulmonaire). La moindre augmentation du nombre des nouveaux inscrits en attente d’une greffe pulmonaire (40,4%) que du nombre de greffes pulmonaires (41,4%) entre 2010 et 2015 a pour conséquence une légère diminution du nombre de malades restant en attente au 1er janvier (159 en 2016 versus 180 en 2010). En 2015 comme en 2013 et 2014, la première indication de nouvelle inscription en liste d’attente pour une greffe pulmonaire est l’emphysème-BPCO (28%) suivie par la mucoviscidose (23%) et la fibrose pulmonaire (21%). L’hypertension artérielle pulmonaire est l’indication principale d’inscription en liste d’attente pour une greffe cœur-poumons (62%). Parmi les 88 malades ayant une mucoviscidose nouvellement inscrits en liste d’attente 86 sont candidats à une greffe pulmonaire et 2 à une greffe cardio-pulmonaire, alors que parmi les 38 malades ayant une hypertension artérielle pulmonaire, 8 sont inscrits en attente de greffe cœur-poumons et 30 en attente de greffe bi-pulmonaire. Parmi les 13 malades inscrits en attente de greffe cardio-pulmonaire en 2015, 3 (23%) ont moins de 18 ans et 3 (23%) ont 56 ans ou plus, 6 (46%) sont hospitalisés au moment de l’inscription, 1 (8%) est sous ventilation assistée invasive et 1 (8%) sous ECMO. Parmi les 382 malades inscrits en attente de greffe pulmonaire en 2015, 12 (3%) ont moins de 18 ans et 132 (35%) ont 56 ans ou plus, 90 (24%) sont hospitalisés au moment de l’inscription, 17 (4%) sont sous ventilation assistée invasive et 10 (3%) sous ECMO, 146 (38%) ont une corticothérapie, et 72 (19%) ont un diabète.
Tableau PCP2a. Evolution des principaux indicateurs de pénurie en greffe cardio-pulmonaire
|
2010 |
2011 |
2012 |
2013 |
2014 |
2015 |
Nouveaux inscrits pour un greffon |
1,2 |
1,5 |
1,2 |
1,9 |
1,3 |
1,6 |
Receveurs en attente au 1er janvier pour un greffon |
1,3 |
1,5 |
0,9 |
1,4 |
1,6 |
2,3 |
Receveurs en attente au 1er janvier pour un greffon hors malade en CIT |
1,0 |
0,9 |
0,6 |
0,9 |
1,2 |
1,8 |
Total candidats pour un greffon |
2,5 |
3,0 |
2,1 |
3,3 |
2,9 |
3,9 |
CIT : contre indication temporaire
Données extraites de CRISTAL le 01/03/2016
L’évolution de la pénurie en greffe cardio-pulmonaire peut être mesurée par :
- le nombre de receveurs en attente au 1er janvier de l’année pour un greffon (2,3 receveur début 2015 pour 1 greffon cardio-pulmonaire utilisable) ;
- le nombre de nouveaux inscrits pour un greffon (1,6 inscrit pour un greffon cardio-pulmonaire utilisable) ;
- le nombre total de candidats pour un greffon (3,9 candidats pour un greffon cardio-pulmonaire utilisable dans l’année).
Tableau PCP2b. Evolution des principaux indicateurs de pénurie en greffe pulmonaire
|
2010 |
2011 |
2012 |
2013 |
2014 |
2015 |
Nouveaux inscrits pour un greffon |
1,1 |
1,0 |
1,0 |
1,3 |
1,1 |
1,1 |
Receveurs en attente au 1er janvier pour un greffon |
0,7 |
0,5 |
0,5 |
0,4 |
0,5 |
0,4 |
Receveurs en attente au 1er janvier pour un greffon hors malade en CIT |
0,7 |
0,5 |
0,4 |
0,4 |
0,5 |
0,4 |
Total candidats pour un greffon |
1,9 |
1,6 |
1,5 |
1,7 |
1,6 |
1,6 |
CIT : contre indication temporaire
Données extraites de CRISTAL le 01/03/2016
L’évolution de la pénurie en greffe pulmonaire peut être mesurée par :
- le nombre de receveurs en attente au 1er janvier de l’année pour un greffon (0,4 receveur début 2015 pour 1 greffon pulmonaire utilisable) ;
- le nombre de nouveaux inscrits pour un greffon (1,1 inscrit pour un greffon pulmonaire utilisable) ;
- le nombre total de candidats pour un greffon (1,6 candidat pour un greffon pulmonaire utilisable dans l’année).
Tableau PCP3a. Caractéristiques démographiques des donneurs de coeur-poumons et des malades inscrits selon leur devenir en liste d'attente de greffe de coeur-poumons en 2015
Caractéristiques |
Greffons cardio-pulmonaires greffés en 2015 |
Malades en attente au 1er janvier 2015 |
Nouveaux malades inscrits en 2015 |
Malades greffés en 2015 |
Malades décédés en 2015 |
Malades sortis de la liste pour aggravation en 2015 |
||||||
n |
% |
n |
% |
n |
% |
n |
% |
n |
% |
n |
% |
|
Age |
||||||||||||
0-17 ans |
0 |
0 |
2 |
11,1 |
3 |
23,1 |
2 |
25,0 |
0 |
0 |
1 |
50,0 |
18-29 ans |
1 |
12,5 |
1 |
5,6 |
2 |
15,4 |
2 |
25,0 |
0 |
0 |
0 |
0 |
30-55 ans |
7 |
87,5 |
12 |
66,7 |
5 |
38,5 |
3 |
37,5 |
3 |
60,0 |
0 |
0 |
56-65 ans |
0 |
0 |
3 |
16,7 |
3 |
23,1 |
1 |
12,5 |
2 |
40,0 |
1 |
50,0 |
>=66 ans |
0 |
0 |
0 |
0 |
0 |
0 |
0 |
0 |
0 |
0 |
0 |
0 |
(m ± ds, ans) |
39,5 |
9,8 |
42,5 |
14,9 |
35,6 |
17,6 |
31,1 |
15,5 |
54,6 |
4,6 |
35,5 |
32,1 |
Sexe |
||||||||||||
Masculin |
1 |
12,5 |
10 |
55,6 |
7 |
53,8 |
5 |
62,5 |
4 |
80,0 |
1 |
50,0 |
Féminin |
7 |
87,5 |
8 |
44,4 |
6 |
46,2 |
3 |
37,5 |
1 |
20,0 |
1 |
50,0 |
Groupe sanguin |
||||||||||||
A |
4 |
50,0 |
9 |
50,0 |
5 |
38,5 |
4 |
50,0 |
1 |
20,0 |
0 |
0 |
AB |
0 |
0 |
0 |
0 |
2 |
15,4 |
1 |
12,5 |
0 |
0 |
1 |
50,0 |
B |
0 |
0 |
2 |
11,1 |
1 |
7,7 |
0 |
0 |
0 |
0 |
0 |
0 |
O |
4 |
50,0 |
7 |
38,9 |
5 |
38,5 |
3 |
37,5 |
4 |
80,0 |
1 |
50,0 |
Total |
8 |
100,0 |
18 |
100,0 |
13 |
100,0 |
8 |
100,0 |
5 |
100,0 |
2 |
100,0 |
na=non applicable
(m ± ds, ans): moyenne ± déviation standard
Données extraites de CRISTAL le 01/03/2016
Tableau PCP3b. Caractéristiques démographiques des donneurs de poumon et des malades inscrits selon leur devenir en liste d'attente de greffe de poumon en 2015
| Caractéristiques | Greffons pulmonaires greffés en 2015 |
Malades en attente au 1er janvier 2015 |
Nouveaux malades inscrits en 2015 |
Malades greffés en 2015 |
Malades décédés en 2015 |
Malades sortis de la liste pour aggravation en 2015 |
||||||
n |
% |
n |
% |
n |
% |
n |
% |
n |
% |
n |
% |
|
Age |
||||||||||||
0-17 ans |
15 |
4,3 |
7 |
4,5 |
12 |
3,1 |
12 |
3,5 |
1 |
6,7 |
0 |
0 |
18-29 ans |
49 |
14,2 |
20 |
12,9 |
61 |
16,0 |
56 |
16,2 |
2 |
13,3 |
1 |
9,1 |
30-55 ans |
153 |
44,3 |
68 |
43,9 |
177 |
46,3 |
150 |
43,5 |
4 |
26,7 |
3 |
27,3 |
56-65 ans |
96 |
27,8 |
53 |
34,2 |
127 |
33,2 |
119 |
34,5 |
8 |
53,3 |
4 |
36,4 |
>=66 ans |
32 |
9,3 |
7 |
4,5 |
5 |
1,3 |
8 |
2,3 |
0 |
0 |
3 |
27,3 |
(m ± ds, ans) |
47,3 |
15,4 |
47,8 |
15,4 |
46,6 |
14,5 |
47,1 |
15,1 |
48,2 |
16,4 |
57,1 |
11,5 |
Sexe |
||||||||||||
Masculin |
185 |
53,6 |
75 |
48,4 |
195 |
51,0 |
187 |
54,2 |
6 |
40,0 |
3 |
27,3 |
Féminin |
160 |
46,4 |
80 |
51,6 |
187 |
49,0 |
158 |
45,8 |
9 |
60,0 |
8 |
72,7 |
Groupe sanguin |
||||||||||||
A |
146 |
42,3 |
60 |
38,7 |
160 |
41,9 |
150 |
43,5 |
5 |
33,3 |
3 |
27,3 |
AB |
6 |
1,7 |
5 |
3,2 |
17 |
4,5 |
12 |
3,5 |
1 |
6,7 |
2 |
18,2 |
B |
36 |
10,4 |
21 |
13,5 |
45 |
11,8 |
41 |
11,9 |
3 |
20,0 |
1 |
9,1 |
O |
157 |
45,5 |
69 |
44,5 |
160 |
41,9 |
142 |
41,2 |
6 |
40,0 |
5 |
45,5 |
Total |
345 |
100,0 |
155 |
100,0 |
382 |
100,0 |
345 |
100,0 |
15 |
100,0 |
11 |
100,0 |
na=non applicable
(m ± ds, ans): moyenne ± déviation standard
Données extraites de CRISTAL le 01/03/2016
Tableau PCP4a. Caractéristiques des malades inscrits selon leur devenir en liste d'attente de greffe de coeur-poumons en 2015
Caractéristiques |
Malades en attente au 1er janvier 2015 |
Nouveaux malades inscrits en 2015 |
Malades greffés en 2015 |
Malades décédés en 2015 |
Malades sortis pour aggravation en 2015 |
|||||
n |
% |
n |
% |
n |
% |
n |
% |
n |
% |
|
Lieu de prise en charge médicale |
||||||||||
Domicile |
16 |
88,9 |
7 |
53,8 |
1 |
12,5 |
3 |
60,0 |
0 |
0,0 |
Hôpital |
0 |
0,0 |
2 |
15,4 |
2 |
25,0 |
0 |
0,0 |
0 |
0,0 |
USI |
1 |
5,6 |
4 |
30,8 |
5 |
62,5 |
2 |
40,0 |
2 |
100,0 |
Données manquantes |
1 |
5,6 |
0 |
0,0 |
0 |
0,0 |
0 |
0,0 |
0 |
0,0 |
Retransplantation |
||||||||||
Non |
18 |
100,0 |
13 |
100,0 |
8 |
100,0 |
5 |
100,0 |
2 |
100,0 |
Oui |
0 |
0,0 |
0 |
0,0 |
0 |
0,0 |
0 |
0,0 |
0 |
0,0 |
Ventilation assistée invasive |
||||||||||
Données manquantes |
0 |
0,0 |
0 |
0,0 |
0 |
0,0 |
0 |
0,0 |
0 |
0,0 |
Oui |
0 |
0,0 |
1 |
7,7 |
1 |
12,5 |
0 |
0,0 |
1 |
50,0 |
Non |
18 |
100,0 |
12 |
92,3 |
7 |
87,5 |
5 |
100,0 |
1 |
50,0 |
Circulation extra corporelle |
||||||||||
Données manquantes |
10 |
55,6 |
0 |
0,0 |
0 |
0,0 |
0 |
0,0 |
0 |
0,0 |
Oui |
0 |
0,0 |
1 |
7,7 |
2 |
25,0 |
0 |
0,0 |
1 |
50,0 |
Non |
8 |
44,4 |
12 |
92,3 |
6 |
75,0 |
5 |
100,0 |
1 |
50,0 |
Corticothérapie |
||||||||||
Données manquantes |
11 |
61,1 |
0 |
0,0 |
0 |
0,0 |
0 |
0,0 |
0 |
0,0 |
Oui |
2 |
11,1 |
0 |
0,0 |
3 |
37,5 |
1 |
20,0 |
0 |
0,0 |
Non |
5 |
27,8 |
13 |
100,0 |
5 |
62,5 |
4 |
80,0 |
2 |
100,0 |
Distance parcourue en 6 min (m) à l’inscription |
||||||||||
Données manquantes |
12 |
66,7 |
5 |
38,5 |
5 |
62,5 |
2 |
40,0 |
1 |
50,0 |
<300 m |
3 |
16,7 |
5 |
38,5 |
1 |
12,5 |
2 |
40,0 |
1 |
50,0 |
>=300 m |
3 |
16,7 |
3 |
23,1 |
2 |
25,0 |
1 |
20,0 |
0 |
0,0 |
Créatinémie |
||||||||||
<60 µmol/l |
1 |
5,6 |
3 |
23,1 |
2 |
25,0 |
0 |
0,0 |
0 |
0,0 |
60-119 µmol/l |
7 |
38,9 |
9 |
69,2 |
5 |
62,5 |
4 |
80,0 |
2 |
100,0 |
120-199 µmol/l |
1 |
5,6 |
0 |
0,0 |
0 |
0,0 |
1 |
20,0 |
0 |
0,0 |
>=200 µmol/l |
0 |
0,0 |
1 |
7,7 |
0 |
0,0 |
0 |
0,0 |
0 |
0,0 |
Données manquantes |
9 |
50,0 |
0 |
0,0 |
1 |
12,5 |
0 |
0,0 |
0 |
0,0 |
Bilirubine |
||||||||||
<35 µmol/l |
8 |
44,4 |
12 |
92,3 |
3 |
37,5 |
5 |
100,0 |
1 |
50,0 |
35-49 µmol/l |
1 |
5,6 |
0 |
0,0 |
1 |
12,5 |
0 |
0,0 |
0 |
0,0 |
>=50 µmol/l |
0 |
0,0 |
1 |
7,7 |
0 |
0,0 |
0 |
0,0 |
1 |
50,0 |
Données manquantes |
9 |
50,0 |
0 |
0,0 |
4 |
50,0 |
0 |
0,0 |
0 |
0,0 |
Diabète à l’inscription |
||||||||||
Données manquantes |
4 |
22,2 |
0 |
0,0 |
1 |
12,5 |
0 |
0,0 |
0 |
0,0 |
Non |
9 |
50,0 |
10 |
76,9 |
7 |
87,5 |
3 |
60,0 |
2 |
100,0 |
Oui |
5 |
27,8 |
3 |
23,1 |
0 |
0,0 |
2 |
40,0 |
0 |
0,0 |
Total |
18 |
100,0 |
13 |
100,0 |
8 |
100,0 |
5 |
100,0 |
2 |
100,0 |
Données extraites de CRISTAL le 01/03/2016
Tableau PCP4b. Caractéristiques des malades inscrits selon leur devenir en liste d'attente de greffe de poumon en 2015
Caractéristiques |
Malades en attente au 1er janvier 2015 |
Nouveaux malades inscrits en 2015 |
Malades greffés en 2015 |
Malades décédés en 2015 |
Malades sortis pour aggravation en 2015 |
|||||
n |
% |
n |
% |
n |
% |
n |
% |
|
|
|
Lieu de prise en charge médicale |
||||||||||
Domicile |
140 |
90,3 |
292 |
76,4 |
241 |
69,9 |
9 |
60,0 |
9 |
81,8 |
Hôpital |
9 |
5,8 |
45 |
11,8 |
29 |
8,4 |
2 |
13,3 |
0 |
0,0 |
USI |
5 |
3,2 |
45 |
11,8 |
75 |
21,7 |
4 |
26,7 |
1 |
9,1 |
Données manquantes |
1 |
0,6 |
0 |
0,0 |
0 |
0,0 |
0 |
0,0 |
1 |
9,1 |
Retransplantation |
||||||||||
Non |
147 |
94,8 |
357 |
93,5 |
331 |
95,9 |
11 |
73,3 |
11 |
100,0 |
Oui |
8 |
5,2 |
25 |
6,5 |
14 |
4,1 |
4 |
26,7 |
0 |
0,0 |
Ventilation assistée invasive |
||||||||||
Données manquantes |
1 |
0,6 |
0 |
0,0 |
0 |
0,0 |
0 |
0,0 |
1 |
9,1 |
Oui |
0 |
0,0 |
17 |
4,5 |
25 |
7,2 |
2 |
13,3 |
1 |
9,1 |
Non |
154 |
99,4 |
365 |
95,5 |
320 |
92,8 |
13 |
86,7 |
9 |
81,8 |
Circulation extra corporelle |
||||||||||
Données manquantes |
7 |
4,5 |
2 |
0,5 |
0 |
0,0 |
0 |
0,0 |
1 |
9,1 |
Oui |
0 |
0,0 |
10 |
2,6 |
27 |
7,8 |
1 |
6,7 |
0 |
0,0 |
Non |
148 |
95,5 |
370 |
96,9 |
318 |
92,2 |
14 |
93,3 |
10 |
90,9 |
Corticothérapie |
||||||||||
Données manquantes |
9 |
5,8 |
4 |
1,0 |
4 |
1,2 |
0 |
0,0 |
2 |
18,2 |
Oui |
45 |
29,0 |
146 |
38,2 |
118 |
34,2 |
13 |
86,7 |
0 |
0,0 |
Non |
101 |
65,2 |
232 |
60,7 |
223 |
64,6 |
2 |
13,3 |
9 |
81,8 |
Distance parcourue en 6 min (m) à l’inscription |
||||||||||
Données manquantes |
21 |
13,5 |
82 |
21,5 |
67 |
19,4 |
3 |
20,0 |
2 |
18,2 |
<300 m |
62 |
40,0 |
130 |
34,0 |
128 |
37,1 |
5 |
33,3 |
5 |
45,5 |
>=300 m |
72 |
46,5 |
170 |
44,5 |
150 |
43,5 |
7 |
46,7 |
4 |
36,4 |
Créatinémie |
||||||||||
<60 µmol/l |
60 |
38,7 |
161 |
42,1 |
134 |
38,8 |
5 |
33,3 |
6 |
54,5 |
60-119 µmol/l |
87 |
56,1 |
211 |
55,2 |
188 |
54,5 |
8 |
53,3 |
4 |
36,4 |
120-199 µmol/l |
3 |
1,9 |
7 |
1,8 |
8 |
2,3 |
1 |
6,7 |
0 |
0,0 |
>=200 µmol/l |
0 |
0,0 |
2 |
0,5 |
4 |
1,2 |
1 |
6,7 |
0 |
0,0 |
Données manquantes |
5 |
3,2 |
1 |
0,3 |
11 |
3,2 |
0 |
0,0 |
1 |
9,1 |
Bilirubine |
||||||||||
<35 µmol/l |
143 |
92,3 |
366 |
95,8 |
222 |
64,3 |
15 |
100,0 |
9 |
81,8 |
35-49 µmol/l |
0 |
0,0 |
3 |
0,8 |
3 |
0,9 |
0 |
0,0 |
0 |
0,0 |
>=50 µmol/l |
0 |
0,0 |
2 |
0,5 |
6 |
1,7 |
0 |
0,0 |
0 |
0,0 |
Données manquantes |
12 |
7,7 |
11 |
2,9 |
114 |
33,0 |
0 |
0,0 |
2 |
18,2 |
Diabète à l’inscription |
||||||||||
Données manquantes |
4 |
2,6 |
4 |
1,0 |
5 |
1,4 |
0 |
0,0 |
1 |
9,1 |
Non |
123 |
79,4 |
306 |
80,1 |
271 |
78,6 |
10 |
66,7 |
9 |
81,8 |
Oui |
28 |
18,1 |
72 |
18,8 |
69 |
20,0 |
5 |
33,3 |
1 |
9,1 |
Total |
155 |
100,0 |
382 |
100,0 |
345 |
100,0 |
15 |
100,0 |
11 |
100,0 |
Données extraites de CRISTAL le 01/03/2016
Tableau PCP5. Evolution du nombre de nouveaux inscrits en attente d'une greffe pulmonaire et cardio-pulmonaire selon l’indication et incidence par million d'habitants
| Indication | 2010 |
2011 |
2012 |
2013 |
2014 |
2015 |
||||||||||||
N |
% |
pmh |
N |
% |
pmh |
N |
% |
pmh |
N |
% |
pmh |
N |
% |
pmh |
N |
% |
pmh |
|
Coeur-poumons |
||||||||||||||||||
Autre ou indéterminée |
2 |
9 |
0,0 |
2 |
11 |
0,0 |
2 |
8 |
0,0 |
7 |
33 |
0,1 |
3 |
18 |
0,0 |
1 |
8 |
0,0 |
Deficit en alpha anti-trypsine |
1 |
4 |
0,0 |
0 |
0,0 |
0,0 |
1 |
4 |
0,0 |
0 |
0,0 |
0,0 |
0 |
0,0 |
0,0 |
0 |
0,0 |
0,0 |
Emphysème-BPCO |
1 |
4 |
0,0 |
1 |
6 |
0,0 |
1 |
4 |
0,0 |
0 |
0,0 |
0,0 |
0 |
0,0 |
0,0 |
1 |
8 |
0,0 |
Fibrose pulmonaire |
0 |
0,0 |
0,0 |
0 |
0,0 |
0,0 |
1 |
4 |
0,0 |
1 |
5 |
0,0 |
4 |
24 |
0,1 |
1 |
8 |
0,0 |
Hypertension artérielle pulmonaire |
17 |
74 |
0,3 |
13 |
72 |
0,2 |
19 |
79 |
0,3 |
12 |
57 |
0,2 |
9 |
53 |
0,1 |
8 |
62 |
0,1 |
Mucoviscidose |
2 |
9 |
0,0 |
2 |
11 |
0,0 |
0 |
0,0 |
0,0 |
1 |
5 |
0,0 |
0 |
0,0 |
0,0 |
2 |
15 |
0,0 |
Retransplantation-Echec de greffe |
0 |
0,0 |
0,0 |
0 |
0,0 |
0,0 |
0 |
0,0 |
0,0 |
0 |
0,0 |
0,0 |
1 |
6 |
0,0 |
0 |
0,0 |
0,0 |
Poumon |
||||||||||||||||||
Autre ou indéterminée |
31 |
11 |
0,5 |
38 |
12 |
0,6 |
51 |
15 |
0,8 |
48 |
13 |
0,7 |
56 |
15 |
0,8 |
55 |
14 |
0,8 |
Deficit en alpha anti-trypsine |
4 |
1 |
0,1 |
3 |
1 |
0,0 |
1 |
0,0 |
0,0 |
3 |
1 |
0,0 |
4 |
1 |
0,1 |
5 |
1 |
0,1 |
Emphysème-BPCO |
81 |
30 |
1,3 |
96 |
30 |
1,5 |
97 |
29 |
1,5 |
121 |
32 |
1,8 |
114 |
31 |
1,7 |
108 |
28 |
1,6 |
Fibrose pulmonaire |
69 |
25 |
1,1 |
71 |
22 |
1,1 |
66 |
20 |
1,0 |
70 |
19 |
1,1 |
81 |
22 |
1,2 |
82 |
21 |
1,2 |
Hypertension artérielle pulmonaire |
7 |
3 |
0,1 |
13 |
4 |
0,2 |
18 |
5 |
0,3 |
22 |
6 |
0,3 |
26 |
7 |
0,4 |
30 |
8 |
0,5 |
Mucoviscidose |
76 |
28 |
1,2 |
100 |
31 |
1,5 |
96 |
29 |
1,5 |
98 |
26 |
1,5 |
72 |
20 |
1,1 |
86 |
23 |
1,3 |
Retransplantation-Echec de greffe |
4 |
1 |
0,1 |
4 |
1 |
0,1 |
5 |
1 |
0,1 |
14 |
4 |
0,2 |
9 |
2 |
0,1 |
16 |
4 |
0,2 |
Données extraites de CRISTAL le 01/03/2016
Parmi les maladies conduisant à l’indication de greffe cardio-pulmonaire, l’hypertension artérielle pulmonaire représente 62% des inscrits.
Pour la greffe pulmonaire, l’emphysème-BPCO représente 28% des indications, la mucoviscidose 23% et la fibrose pulmonaire 21%.
Cinétique de la liste d’attente
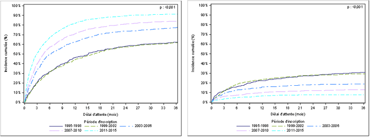
Jusqu’à présent, l’accès à la greffe était évalué par la durée médiane d’attente estimée par la méthode de Kaplan Meier. Cet indicateur a été remplacé depuis 2014 par le taux d’incidence cumulée qui mesure la probabilité d’accès à la greffe en fonction de la durée d’attente en prenant en compte le risque concurrent de décès et de sortie de liste pour aggravation (voir chapitre « Greffes d’organes : Données générales et méthodes »). En effet, pour les malades inscrits en liste d’attente, l’accès à la greffe dépend du risque concurrent que sont le décès en liste d’attente et la sortie de liste pour aggravation. La probabilité de greffe et la probabilité de décès sur la liste d’attente ou de sortie de liste pour aggravation dépendent l’une de l’autre. Ainsi le risque de décès ou de sortie de liste pour aggravation est impacté par l’accès à la greffe. Cette méthode exprime ce qui est réellement observé pour les malades de la cohorte et permet une évaluation univariée du système de répartition des greffons. En revanche, cette méthode ne permet pas d’évaluer ce que serait le risque de décès en liste d’attente si la greffe n’existait pas puisque qu’en France, la majorité des candidats sont greffés dans l’année qui suit leur inscription.
En pourcentage, 58% et 13% de la cohorte des malades inscrits en 2012 en liste d’attente de greffe cardio-pulmonaire, et, 82% et 5% de la cohorte des malades inscrits en liste d’attente de greffe pulmonaire, respectivement, ont été greffés, ou, sont décédés ou sortis de liste d’attente pour aggravation, un an après leur inscription en liste.
La cinétique d’accès à la greffe cardio-pulmonaire exprimée par le taux d’incidence cumulée s’est améliorée de façon continue entre 1995-1998 et 2011-2015 (probabilité de greffe à 12 mois de 28% pour la cohorte 1995-1998 versus 51% pour la cohorte 2011-2015). Cette cinétique est largement déterminée par l’accès à la greffe pendant les 6 mois suivant l’inscription (probabilité de greffe à 6 mois de 48% et de 71% à 36 mois pour les malades inscrits en liste d’attente entre 2010 et 2015). La durée médiane d’attente avant greffe cœur-poumons est plus courte sur la période récente (supérieure à 36 mois pour la période 1999-2002 versus moins de 12 mois pour la période 2011-2015). Cette évolution peut s’expliquer par la diminution de la pénurie liée à une baisse du nombre de nouveaux inscrits dans un contexte de diminution de la mortalité en liste d’attente liée aux progrès des traitements médicaux, en particulier de l’hypertension artérielle pulmonaire, et liée à la mise en place en 2006 d’une super-urgence. La cinétique d’accès à la greffe cardio-pulmonaire varie significativement avec l’obtention ou non d’une priorité (la probabilité de greffe à 3 mois en cas de super-urgence est de 53% versus 20% en l’absence de priorité pour les malades inscrits entre 2010 et 2015). Devant la grande difficulté d’accès à la greffe cardio-pulmonaire des malades ne bénéficiant pas de super-urgence, la durée de cette priorité a été prolongée en 2014 sans limite pour les malades présentant un syndrome d’Eisenmenger et sans alternative à la greffe cardio-pulmonaire.
La cinétique d’accès à la greffe pulmonaire exprimée par le taux d’incidence cumulée s’est également améliorée de façon continue entre 1995-1998 et 2011-2015 (probabilité de greffe à 12 mois de 47% pour la cohorte 1995-1998 versus 82% pour la cohorte 2011-2015). Cette cinétique est largement déterminée par la probabilité d’être greffé pendant les 6 mois suivant l’inscription (probabilité de greffe à 6 mois de 67% et de 90% à 36 mois pour les malades inscrits en liste d’attente entre 2010 et 2015). La durée médiane d’attente avant greffe pulmonaire suit la même diminution au cours du temps (moins de 3 mois en 2011-2015 versus 6 mois en 2003-2006). Depuis la redéfinition des critères de prélevabilité des greffons pulmonaires en 2003 et le changement de politique de proposition aux équipes des greffons issus de donneurs à critères élargis en 2011, l’activité de greffe pulmonaire a connu une importante augmentation réduisant ainsi le niveau de pénurie. Parmi les inscrits entre 2010 et 2015, la probabilité de greffe pulmonaire varie significativement avec le groupe sanguin (les malades des groupes A, AB et B ont un meilleur accès à la greffe que ceux du groupe O) et avec l’obtention ou non d’une priorité (la probabilité de greffe à 3 mois en cas de super-urgence est de 69% versus 46% en l’absence de priorité). On observe également des variations d’accès à la greffe selon le centre de transplantation, l’incidence cumulée de greffe à 3 mois variant de 84% à Suresnes Foch à 34% à Lyon.
Le risque de décès ou de sortie de liste pour aggravation a été également analysé avec la méthode des risques concurrents.
L’incidence cumulée de décès ou de sortie de liste pour aggravation à un an est de 22% pour la cohorte des inscrits en attente de greffe cardio-pulmonaire entre 2010 et 2015. L’essentiel de ce risque survient dans les 3 mois suivant l’inscription. Les règles de répartition des greffons en modifiant la cinétique d’accès à la greffe des malades à risque ainsi que l’évolution du niveau de pénurie en modifiant l’accès global à la greffe modifient radicalement la mortalité en liste d’attente. La probabilité de décès ou de sortie de liste pour aggravation à un an a diminué de 31% en 1999-2002 à 25% en 2011-2015 quand l’incidence cumulée de greffe augmentait de 37% à 51%.
Les mêmes constats peuvent être faits en greffe pulmonaire. L’incidence cumulée de décès ou de sortie de liste pour aggravation à un an est de 7% pour la cohorte des inscrits en attente de greffe pulmonaire entre 2010 et 2015. L’essentiel de ce risque survient dans les 6 mois suivant l’inscription et augmente peu passé un an. La probabilité de décès ou de sortie de liste pour aggravation à un an a diminué de 22% à 7% entre les périodes 1995-1998 et 2011-2015 quand l’incidence cumulée de greffe augmentait de 47% à 82%. Il doit être noté que contrairement à ce qui est observé en greffe cardiaque le taux d’incidence cumulée de décès ou de sortie de liste pour aggravation n’est pas significativement différent entre les malades bénéficiant d’une super urgence et ceux sans priorité nationale (respectivement 10% et 6% à un an).
La mortalité en liste d’attente peut également être évaluée par le taux d’incidence de décès ainsi que par le taux d’incidence de décès et de sortie de liste pour aggravation de l’état médical. Ces taux, à la différence des taux d’incidence cumulée calculés avec la méthode des risques concurrents, permettent d’apprécier l’état médical des malades en attente et l’efficacité des traitements alternatifs à la greffe.
Les taux d’incidence de décès et de décès ou sortie de liste pour aggravation avant greffe cardio-pulmonaire augmentent en 2015 par rapport à 2014 (respectivement 31,1 et 43,5 pour 100 patients-années en 2015 versus 27,3 et 31,9 pour 100 patients-années en 2014). Cette évolution peut être due à un changement des caractéristiques des malades inscrits en liste d’attente et à l’évolution de la pénurie. Les très faibles effectifs incitent à la prudence dans l’interprétation des résultats d’une année à l’autre.
Le taux d’incidence de décès et de décès ou sortie de liste pour aggravation avant greffe pulmonaire tend lui au contraire à diminuer depuis 2010 et a nettement baissé en 2015 par rapport à 2014 (respectivement 9,4 et 16,3 pour 100 patients-années en 2015 versus 17,7 et 24,4 en 2014). Cette évolution peut s’expliquer par l’évolution des caractéristiques cliniques des malades et surtout par l’amélioration de la prise en charge des malades en attente.
Tableau PCP6a. Evolution sur les trois premières années du devenir des malades inscrits pour la première fois en liste d’attente de greffe cardio-pulmonaire en 2012 (N= 24)
| Statut sur liste d'attente | % à 3 mois |
% à 6 mois |
% à 12 mois |
% à 18 mois |
% à 24 mois |
% à 30 mois |
% à 36 mois |
Toujours en attente |
50,0 |
37,5 |
29,2 |
20,8 |
16,7 |
8,3 |
4,2 |
Greffé |
41,7 |
54,2 |
58,3 |
62,5 |
66,7 |
75,0 |
79,2 |
Décédé en attente |
8,3 |
8,3 |
8,3 |
12,5 |
12,5 |
12,5 |
12,5 |
Sorti de la liste d'attente pour aggravation |
0,0 |
0,0 |
4,2 |
4,2 |
4,2 |
4,2 |
4,2 |
Données extraites de CRISTAL le 01/03/2016
Tableau PCP6b. Evolution sur les trois premières années du devenir des malades inscrits en liste d’attente de greffe pulmonaire en 2012 (N=307)
| Statut sur liste d'attente | % à 3 mois |
% à 6 mois |
% à 12 mois |
% à 18 mois |
% à 24 mois |
% à 30 mois |
% à 36 mois |
Toujours en attente |
43,0 |
26,1 |
10,4 |
5,5 |
2,0 |
1,0 |
0,7 |
Greffé |
54,4 |
69,1 |
82,1 |
86,3 |
88,9 |
89,9 |
90,2 |
Décédé en attente |
2,0 |
2,3 |
2,9 |
2,9 |
3,3 |
3,3 |
3,3 |
Sorti de la liste d'attente pour aggravation |
0,3 |
1,6 |
2,3 |
2,6 |
2,9 |
2,9 |
2,9 |
Sorti de la liste d'attente hors aggravation |
0,3 |
1,0 |
2,3 |
2,6 |
2,9 |
2,9 |
2,9 |
Données extraites de CRISTAL le 01/03/2016
Figure PCP1a. Taux d'incidence cumulée de greffe et de décès ou de sortie de liste d'attente de greffe cardio-pulmonaire pour aggravation selon la période d'inscription (1995-2015)
|
Incidence cumulée des greffes avec prise en compte du risque concurrent de décès en attente ou sorties pour aggravation |
|||||
Période d'inscription |
N |
à 3 mois |
à 6 mois |
à 12 mois |
à 24 mois |
à 36 mois |
1995-1998 |
229 |
9 [6-14] |
17 [12-22] |
28 [22-34] |
40 [33-47] |
46 [39-53] |
1999-2002 |
184 |
16 [11-21] |
26 [19-32] |
37 [30-44] |
44 [37-51] |
49 [41-56] |
2003-2006 |
127 |
23 [16-31] |
33 [25-42] |
43 [34-52] |
51 [42-59] |
NC |
2007-2010 |
122 |
31 [23-39] |
39 [31-48] |
49 [40-58] |
60 [50-69] |
65 [55-73] |
2011-2015 |
93 |
33 [23-42] |
43 [32-53] |
51 [40-61] |
61 [49-70] |
69 [56-79] |
|
Incidence cumulée des décès en attente ou sorties pour aggravation avec prise en compte du risque concurrent de greffe |
|||||
Période d'inscription |
N |
à 3 mois |
à 6 mois |
à 12 mois |
à 24 mois |
à 36 mois |
1995-1998 |
229 |
15 [10-20] |
22 [17-27] |
29 [23-35] |
34 [27-40] |
38 [31-45] |
1999-2002 |
184 |
15 [10-21] |
24 [19-31] |
31 [24-38] |
39 [32-46] |
45 [37-52] |
2003-2006 |
127 |
21 [14-28] |
21 [15-29] |
31 [23-40] |
39 [30-48] |
43 [34-52] |
2007-2010 |
122 |
17 [11-25] |
19 [13-27] |
24 [16-32] |
31 [22-39] |
34 [24-43] |
2011-2015 |
93 |
14 [8-22] |
18 [11-26] |
25 [16-34] |
NC |
NC |
NC=Non calculable / IC : Intervalle de confiance
Données extraites de CRISTAL le 01/03/2016
Après 1 an d’attente, les malades inscrits sur la liste d’attente cardio-pulmonaire entre 2011 et 2015 ont 51% de chance d’être greffés et 18% de risque de décéder en attente.
Figure PCP1b. Taux d'incidence cumulée de greffe et de décès ou de sortie de liste d'attente de greffe pulmonaire pour aggravation selon la période d'inscription (1995-2015)
|
Incidence cumulée des greffes avec prise en compte du risque concurrent de décès en attente ou sorties pour aggravation |
|||||
Période d'inscription |
N |
à 3 mois |
à 6 mois |
à 12 mois |
à 24 mois |
à 36 mois |
1995-1998 |
498 |
21 [18-25] |
32 [28-36] |
47 [42-51] |
58 [53-62] |
63 [58-67] |
1999-2002 |
551 |
20 [17-24] |
32 [28-36] |
44 [40-48] |
58 [53-62] |
62 [58-66] |
2003-2006 |
755 |
34 [31-37] |
50 [46-53] |
62 [59-66] |
74 [71-77] |
78 [74-81] |
2007-2010 |
1081 |
40 [37-43] |
57 [54-60] |
71 [68-74] |
81 [79-83] |
84 [82-86] |
2011-2015 |
1779 |
51 [49-54] |
67 [65-70] |
82 [80-84] |
90 [88-91] |
91 [90-93] |
|
Incidence cumulée des décès en attente ou sorties pour aggravation avec prise en compte du risque concurrent de greffe |
|||||
Période d'inscription |
N |
à 3 mois |
à 6 mois |
à 12 mois |
à 24 mois |
à 36 mois |
1995-1998 |
498 |
12 [9-15] |
16 [13-20] |
22 [19-26] |
28 [24-32] |
31 [27-35] |
1999-2002 |
551 |
12 [9-15] |
19 [15-22] |
24 [20-27] |
28 [25-32] |
29 [26-33] |
2003-2006 |
755 |
10 [8-12] |
13 [11-15] |
16 [14-19] |
18 [16-21] |
19 [16-22] |
2007-2010 |
1081 |
6 [5-8] |
8 [6-9] |
10 [8-12] |
12 [10-14] |
13 [11-15] |
2011-2015 |
1779 |
4 [3-5] |
5 [4-6] |
7 [5-8] |
8 [7-9] |
8 [7-9] |
NC=Non calculable / IC : Intervalle de confiance
Données extraites de CRISTAL le 01/03/2016
Après 1 an d’attente, les malades inscrits sur la liste d’attente pulmonaire entre 2011 et 2015 ont 82% de chance d’être greffés et 7% de risque de décéder en attente.
Tableau PCP7. Taux d'incidence cumulée de greffe selon leurs caractéristiques des nouveaux inscrits sur la liste d'attente de greffe pulmonaire (2010-2015)
|
Incidence cumulée des greffes avec prise en compte du risque concurrent de décès en attente ou sorties pour aggravation |
|
||||||
' |
' |
N |
à 3 mois |
à 6 mois |
à 12 mois |
à 24 mois |
à 36 mois |
pvalue |
Global |
|
2051 |
50 [48-52] |
67 [65-69] |
81 [79-83] |
89 [87-90] |
90 [89-92] |
|
Global hors temps cumulé en CIT* |
|
2051 |
51 [49-53] |
68 [66-70] |
82 [80-84] |
90 [88-91] |
91 [89-92] |
|
Groupe sanguin |
A |
872 |
54 [51-57] |
70 [67-73] |
83 [80-85] |
90 [87-92] |
91 [89-93] |
0,013 |
|
AB |
80 |
59 [47-69] |
70 [58-79] |
83 [72-91] |
NC |
NC |
|
|
B |
232 |
50 [43-56] |
66 [59-72] |
85 [79-89] |
91 [86-95] |
NC |
|
|
O |
867 |
46 [43-49] |
63 [60-66] |
79 [75-81] |
88 [85-90] |
90 [87-92] |
|
Age à l'inscription |
Adulte |
1968 |
50 [48-52] |
67 [65-69] |
81 [79-83] |
89 [88-91] |
91 [89-92] |
0,33 |
|
Pédiatrique |
83 |
55 [43-65] |
63 [52-73] |
74 [63-82] |
84 [72-91] |
88 [70-96] |
|
Dernière priorité active |
Pas de SU |
1688 |
46 [44-49] |
64 [62-67] |
80 [78-82] |
89 [87-91] |
91 [89-92] |
<0,001 |
|
SU |
363 |
69 [64-74] |
78 [73-82] |
86 [82-90] |
89 [85-92] |
90 [86-92] |
|
NC=Non calculable / IC =Intervalle de confiance* CIT : contre indication temporaire
Données extraites de CRISTAL le 01/03/2016
Après 1 an d’attente, les malades de groupe O inscrits sur la liste d’attente pulmonaire entre 2010 et 2015 ont 79% de chance d’être greffés alors que ceux du groupe A et les AB ont 83%, les B 85%.
Tableau PCP8. Taux d'incidence cumulée de greffe selon l'équipe des nouveaux inscrits sur la liste d'attente de greffe pulmonaire (2010-2015)
|
Incidence cumulée des greffes avec prise en compte du risque concurrent de décès en attente ou sorties pour aggravation |
|||||
Equipe de greffe |
N |
à 3 mois |
à 6 mois |
à 12 mois |
à 24 mois |
à 36 mois |
Bordeaux (A+P) |
120 |
35 [26-43] |
51 [42-60] |
76 [67-83] |
93 [86-96] |
NC |
Grenoble (A) |
112 |
36 [27-45] |
55 [45-64] |
67 [56-75] |
NC |
NC |
Le Plessis-Robinson Marie-Lannelongue (A+P) |
211 |
60 [53-66] |
73 [66-78] |
84 [77-88] |
90 [84-94] |
91 [86-95] |
Lyon (A+P) |
166 |
34 [26-41] |
54 [45-61] |
67 [58-74] |
85 [78-91] |
NC |
Marseille Sainte Marguerite (APM) (A) |
264 |
47 [40-52] |
62 [56-68] |
81 [76-86] |
89 [83-92] |
NC |
Marseille Timone enfants (APM) (P) |
11 |
18 [2-46] |
27 [6-56] |
36 [10-65] |
64 [10-92] |
64 [10-92] |
Nantes (A+P) |
103 |
39 [30-49] |
55 [45-65] |
73 [63-81] |
85 [76-91] |
88 [78-94] |
Paris Bichat (AP-HP) (A) |
255 |
41 [35-47] |
61 [54-66] |
77 [70-82] |
86 [80-90] |
88 [82-92] |
Paris Georges Pompidou (AP-HP) (A+P) |
117 |
67 [57-75] |
80 [72-87] |
90 [81-95] |
NC |
NC |
Strasbourg (A) |
259 |
36 [30-42] |
60 [54-66] |
82 [77-87] |
90 [86-94] |
NC |
Suresnes Foch (A) |
335 |
84 [79-87] |
94 [91-96] |
98 [95-99] |
NC |
NC |
Toulouse (A) |
98 |
60 [49-69] |
76 [66-83] |
86 [76-92] |
89 [79-95] |
NC |
NC=Non calculable / IC =Intervalle de confiance
Données extraites de CRISTAL le 01/03/2016
Après 1 an d’attente, le pourcentage de malades inscrits sur la liste d’attente pulmonaire entre 2010 et 2015 qui a été greffé varie de 36% pour une équipe pédiatrique (Marseille Timone enfants) à 67% et 98% pour les autres équipes (Grenoble et Lyon puis Suresnes Foch).
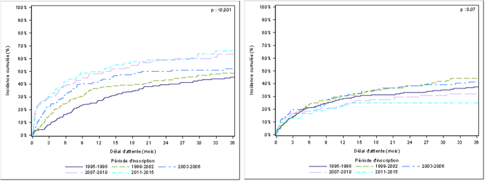
Figure PCP2a. Taux d'incidence cumulée de greffe et de décès ou de sortie de liste d'attente de greffe cardio-pulmonaire pour aggravation (2010-2015)
|
Incidence cumulée des greffes avec prise en compte du risque concurrent de décès en attente ou sorties pour aggravation |
|||||
Période d'inscription |
N |
à 3 mois |
à 6 mois |
à 12 mois |
à 24 mois |
à 36 mois |
2010-2015 |
116 |
38 [29-47] |
48 [38-57] |
56 [46-64] |
64 [53-72] |
71 [60-80] |
|
Incidence cumulée des décès en attente ou sorties pour aggravation avec prise en compte du risque concurrent de greffe |
|||||
Période d'inscription |
N |
à 3 mois |
à 6 mois |
à 12 mois |
à 24 mois |
à 36 mois |
2010-2015 |
116 |
13 [8-20] |
16 [10-23] |
22 [15-30] |
24 [16-32] |
NC |
NC=Non calculable / IC : Intervalle de confiance
Données extraites de CRISTAL le 01/03/2016
Après 1 an d’attente, les malades inscrits sur la liste d’attente cardio-pulmonaire entre 2010 et 2015 ont 56% de chance d’être greffés et 22% de risque de décéder en attente
Figure PCP2b. Taux d'incidence cumulée de greffe et de décès ou de sortie de liste d'attente de greffe pulmonaire pour aggravation (2010-2015)
|
Incidence cumulée des greffes avec prise en compte du risque concurrent de décès en attente ou sorties pour aggravation |
|||||
Période d'inscription |
N |
à 3 mois |
à 6 mois |
à 12 mois |
à 24 mois |
à 36 mois |
2010-2015 |
2051 |
50 [48-52] |
67 [65-69] |
81 [79-83] |
89 [87-90] |
90 [89-92] |
|
Incidence cumulée des décès en attente ou sorties pour aggravation avec prise en compte du risque concurrent de greffe |
|||||
Période d'inscription |
N |
à 3 mois |
à 6 mois |
à 12 mois |
à 24 mois |
à 36 mois |
2010-2015 |
2051 |
4 [3-5] |
5 [4-6] |
7 [6-8] |
8 [7-10] |
9 [7-10] |
NC=Non calculable / IC : Intervalle de confiance
Données extraites de CRISTAL le 01/03/2015
Après 1 an d’attente, les malades inscrits sur la liste d’attente pulmonaire entre 2010 et 2015 ont 81% de chance d’être greffés et 7% de risque de décéder en attente.
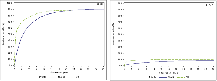
Figure PCP3a. Taux d'incidence cumulée de greffe et de décès ou de sortie de liste d'attente de greffe cardio-pulmonaire pour aggravation selon la priorité au moment de l'évènement (2010-2015)
|
Incidence cumulée des greffes avec prise en compte du risque concurrent de décès en attente ou sorties pour aggravation |
|||||
Priorité |
N |
à 3 mois |
à 6 mois |
à 12 mois |
à 24 mois |
à 36 mois |
Non SU |
51 |
20 [10-33] |
31 [19-45] |
43 [28-57] |
NC |
NC |
SU |
65 |
53 [40-64] |
62 [49-73] |
67 [54-77] |
72 [59-81] |
80 [67-89] |
|
Incidence cumulée des décès en attente ou sorties pour aggravation avec prise en compte du risque concurrent de greffe |
|||||
Priorité |
N |
à 3 mois |
à 6 mois |
à 12 mois |
à 24 mois |
à 36 mois |
SU |
65 |
NC |
NC |
NC |
NC |
NC |
Non SU |
51 |
8 [3-18] |
15 [6-26] |
30 [17-44] |
34 [19-50] |
NC |
NC=Non calculable / IC : Intervalle de confiance
Données extraites de CRISTAL le 01/03/2016
Après 1 an d’attente, les malades inscrits entre 2010 et 2015 ont plus de chance d’être greffés lorsqu’ils bénéficient d’une priorité (67% de chance d’être greffés avec une SU et 43 % sans SU). Attention, ce tableau compte la dernière priorité active. Ainsi un malade ayant eu une priorité qui n’aboutirait pas à une greffe et serait greffé ensuite sans cette priorité compte dans « Non SU ».
Figure PCP3b. Taux d'incidence cumulée de greffe et de décès ou de sortie de liste d'attente de greffe pulmonaire pour aggravation selon la priorité au moment de l'évènement (2010-2015)
|
Incidence cumulée des greffes avec prise en compte du risque concurrent de décès en attente ou sorties pour aggravation |
|||||
Priorité |
N |
à 3 mois |
à 6 mois |
à 12 mois |
à 24 mois |
à 36 mois |
Non SU |
1688 |
46 [44-49] |
64 [62-67] |
80 [78-82] |
89 [87-91] |
91 [89-92] |
SU |
363 |
69 [64-74] |
78 [73-82] |
86 [82-90] |
89 [85-92] |
90 [86-92] |
|
Incidence cumulée des décès en attente ou sorties pour aggravation avec prise en compte du risque concurrent de greffe |
|||||
Priorité |
N |
à 3 mois |
à 6 mois |
à 12 mois |
à 24 mois |
à 36 mois |
Non SU |
1688 |
3 [2-4] |
4 [3-5] |
6 [5-7] |
8 [6-9] |
8 [7-10] |
SU |
363 |
8 [6-11] |
9 [7-13] |
10 [7-14] |
NC |
NC |
NC=Non calculable / IC : Intervalle de confiance
Données extraites de CRISTAL le 01/03/2016
Après 1 an d’attente, les malades inscrits entre 2010 et 2015 ont plus de chance d’être greffés lorsqu’ils bénéficient d’une priorité (86% de chance d’être greffés avec une SU et 80 % sans SU). Attention, ce tableau compte la dernière priorité active. Ainsi un malade ayant eu une priorité qui n’aboutirait pas à une greffe et serait greffé ensuite sans cette priorité compte dans « Non SU ».
Tableau PCP9. Evolution du nombre de décès sur la liste d’attente de greffe cardio-pulmonaire et pulmonaire entre 2010 et 2015
|
2010 |
2011 |
2012 |
2013 |
2014 |
2015 |
Coeur-poumons |
||||||
Nombre total de décès |
5 |
3 |
3 |
2 |
6 |
5 |
Pourcentage de décès parmi les inscrits* |
10,6 % |
8,3 % |
7,3 % |
5,6 % |
15,8 % |
16,1 % |
Décès parmi les nouveaux inscrits |
1 |
2 |
2 |
1 |
5 |
2 |
Pourcentage de décès parmi les nouveaux inscrits |
4,3 % |
11,1 % |
8,3 % |
4,8 % |
29,4 % |
15,4 % |
Taux d'incidence (nombre de décès pour 1 000 patients x année**) |
220,2 |
150,5 |
166,5 |
104,6 |
273,4 |
311,0 |
Poumon |
||||||
Nombre total de décès |
21 |
18 |
16 |
17 |
29 |
15 |
Pourcentage de décès parmi les inscrits* |
4,6 % |
3,7 % |
3,3 % |
3,4 % |
5,5 % |
2,8 % |
Décès parmi les nouveaux inscrits |
12 |
6 |
7 |
12 |
17 |
12 |
Pourcentage de décès parmi les nouveaux inscrits |
4,4 % |
1,8 % |
2,1 % |
3,2 % |
4,7 % |
3,1 % |
Taux d'incidence (nombre de décès pour 1 000 patients x année**) |
120,5 |
116,9 |
118,1 |
119,1 |
177,0 |
94,3 |
* Receveurs en attente au 1er janvier de l'année + nouveaux inscrits (hors en attente de donneur vivant)
** Nombre de décès survenus dans l’année pour 1000 patient-années
Données extraites de CRISTAL le 01/03/2016
Tableau PCP10. Evolution du nombre de décès ou de sortie de liste pour aggravation sur la liste d’attente de greffe cardio-pulmonaire et pulmonaire entre 2010 et 2015
|
2010 |
2011 |
2012 |
2013 |
2014 |
2015 |
Coeur-poumons |
||||||
Nombre total de décès ou aggravation |
6 |
3 |
4 |
4 |
7 |
7 |
Pourcentage de décès ou aggravation parmi les inscrits* |
12,8 % |
8,3 % |
9,8 % |
11,1 % |
18,4 % |
22,6 % |
Décès ou aggravation parmi les nouveaux inscrits |
2 |
2 |
2 |
2 |
5 |
4 |
Pourcentage de décès ou aggravation parmi les nouveaux inscrits |
8,7 % |
11,1 % |
8,3 % |
9,5 % |
29,4 % |
30,8 % |
Taux d'incidence (Décès ou aggravation) (nombre de décès pour 1 000 patients x année**) |
264,2 |
150,5 |
222,0 |
209,1 |
318,9 |
435,4 |
Poumon |
||||||
Nombre total de décès ou aggravation |
33 |
25 |
23 |
28 |
40 |
26 |
Pourcentage de décès ou aggravation parmi les inscrits* |
7,3 % |
5,1 % |
4,8 % |
5,6 % |
7,6 % |
4,8 % |
Décès ou aggravation parmi les nouveaux inscrits |
19 |
10 |
9 |
14 |
25 |
13 |
Pourcentage de décès ou aggravation parmi les nouveaux inscrits |
7,0 % |
3,1 % |
2,7 % |
3,7 % |
6,9 % |
3,4 % |
Taux d'incidence (Décès ou aggravation) (nombre de décès pour 1 000 patients x année**) |
189,4 |
162,3 |
169,7 |
196,2 |
244,1 |
163,4 |
* Receveurs en attente au 1er janvier de l'année + nouveaux inscrits (hors en attente de donneur vivant)
** Nombre de décès survenus dans l’année pour 1000 patient-années
Données extraites de CRISTAL le 01/03/2016
Prélèvement en vue de greffe
Le taux de prélèvement cardio-pulmonaire baisse en 2015 par rapport à 2014, pour s’établir à un niveau extrêmement bas (0,5% en 2015 versus 0,8% en 2014 des donneurs en mort encéphalique prélevés d’un organe sont prélevés d’un cœur-poumons). Dans un contexte d’augmentation du nombre total de donneurs prélevés d’au moins un organe de 7% (114) par rapport à 2014, le nombre de donneurs prélevés d’un greffon pulmonaire en 2015 a augmenté de 5% (15). La proportion des donneurs en mort encéphalique prélevés d’un greffon pulmonaire est stable en 2015 par rapport à 2014 (19,4% en 2015 versus 19,8% en 2014 des donneurs en mort encéphalique prélevés d’un organe sont prélevés d’un greffon pulmonaire). L’efficacité du prélèvement pulmonaire a considérablement augmenté depuis 2003, date de la redéfinition des critères de prélevabilité des greffons pulmonaires par les professionnels, suivie en 2010 d’un élargissement de la politique de proposition aux équipes des greffons issus de donneurs à critères élargis et en 2011 de l’utilisation par certains centres des machines à perfusion permettant la réhabilitation des greffons à critères élargis (respectivement, en 2003 et 2010, 7% et 16%, des donneurs en mort encéphalique prélevés d’un organe ont été prélevés d’un greffon pulmonaire). Alors que les modalités de ventilation des donneurs en mort encéphalique sont susceptibles d’influencer la qualité des greffons pulmonaires, une enquête nationale visant à décrire la réanimation pulmonaire des donneurs en mort encéphalique et à apprécier l’impact de cette prise en charge sur le prélèvement pulmonaire a été lancée fin 2015 par l’Agence auprès des établissements autorisés au prélèvement d’organe. De plus, le projet de transmission d’images permettant aux équipes de visualiser le scanner thoracique du donneur au moment de la proposition doit aboutir en 2016. Enfin, le programme de prélèvement chez les donneurs décédés après arrêt circulatoire de la catégorie III de Maastricht (limitation et arrêt des thérapeutiques) opérationnel depuis 2014 en greffe rénale et hépatique sera opérationnel pour le prélèvement pulmonaire en 2016.
En 2015, tous les donneurs de cœur-poumons ont entre 18 et 55 ans alors que 38% des donneurs de poumon ont plus de 55 ans. L’âge moyen des donneurs prélevés d’un greffon pulmonaire greffé reste stable entre 2014 et 2015 passant de 47,1 ans à 47,3 ans. Un faible nombre de greffons pulmonaires (12) issus de donneurs de moins de 30 ans sont alloués à des receveurs de 60 ans et plus alors même qu’il n’y a pas de règle d’appariement sur l’âge entre donneurs et receveurs pour la répartition des greffons pulmonaires.
Tableau PCP11. Evolution du nombre de donneurs décédés en état de mort encéphalique en France et prélevés d’un greffon cardio-pulmonaire ou pulmonaire parmi les donneurs prélevés d’au moins un greffon
Année de prélèvement |
Donneurs prélevés d'un greffon cardiopulmonaire |
Donneurs prélevés d'un greffon autre que le coeur-poumons |
Donneurs décédés prélevés d'un greffon pulmonaire |
Donneurs prélevés d'un greffon autre que le poumon |
Donneurs prélevés d'un greffon |
1997 |
26 |
855 |
66 |
815 |
881 |
1998 |
26 |
968 |
81 |
913 |
994 |
1999 |
29 |
941 |
63 |
907 |
970 |
2000 |
26 |
990 |
65 |
951 |
1016 |
2001 |
26 |
1039 |
77 |
988 |
1065 |
2002 |
21 |
1177 |
83 |
1115 |
1198 |
2003 |
15 |
1104 |
78 |
1041 |
1119 |
2004 |
21 |
1270 |
136 |
1155 |
1291 |
2005 |
21 |
1350 |
174 |
1197 |
1371 |
2006 |
23 |
1419 |
174 |
1268 |
1442 |
2007 |
20 |
1541 |
195 |
1366 |
1561 |
2008 |
19 |
1544 |
185 |
1378 |
1563 |
2009 |
22 |
1459 |
227 |
1254 |
1481 |
2010 |
19 |
1457 |
237 |
1239 |
1476 |
2011 |
12 |
1560 |
300 |
1272 |
1572 |
2012 |
20 |
1569 |
321 |
1268 |
1589 |
2013 |
12 |
1615 |
303 |
1324 |
1627 |
2014 |
13 |
1642 |
328 |
1327 |
1655 |
2015 |
8 |
1761 |
343 |
1426 |
1769 |
Ce tableau comprend tous les greffons prélevés en France (y compris les non greffés)
Données extraites de CRISTAL le 01/03/2016
Deux poumons adultes prélevés en France ont été greffés à l’étranger.
Tableau PCP12. Evolution de la répartition par âge des donneurs décédés prélevés d’un greffon cardio-pulmonaire ou pulmonaire
|
Année de prélèvement |
|||||||||||||||||||||||
2010 |
2011 |
2012 |
2013 |
2014 |
2015 |
|||||||||||||||||||
CP |
PO |
CP |
PO |
CP |
PO |
CP |
PO |
CP |
PO |
CP |
PO |
|||||||||||||
N |
% |
N |
% |
N |
% |
N |
% |
N |
% |
N |
% |
N |
% |
N |
% |
N |
% |
N |
% |
N |
% |
N |
% |
|
Age du donneur |
3 |
15,8 |
16 |
6,8 |
3 |
25,0 |
20 |
6,7 |
2 |
10,0 |
16 |
5,0 |
2 |
16,7 |
20 |
6,6 |
0 |
0,0 |
17 |
5,2 |
0 |
0,0 |
14 |
4,1 |
0-17 ans |
||||||||||||||||||||||||
18-29 ans |
5 |
26,3 |
44 |
18,6 |
2 |
16,7 |
47 |
15,7 |
4 |
20,0 |
50 |
15,6 |
0 |
0,0 |
37 |
12,2 |
2 |
15,4 |
38 |
11,6 |
1 |
12,5 |
49 |
14,3 |
30-55 ans |
9 |
47,4 |
121 |
51,1 |
5 |
41,7 |
150 |
50,0 |
10 |
50,0 |
163 |
50,8 |
8 |
66,7 |
137 |
45,2 |
9 |
69,2 |
165 |
50,3 |
7 |
87,5 |
151 |
44,0 |
56-65 ans |
2 |
10,5 |
46 |
19,4 |
2 |
16,7 |
69 |
23,0 |
4 |
20,0 |
70 |
21,8 |
2 |
16,7 |
86 |
28,4 |
2 |
15,4 |
77 |
23,5 |
0 |
0,0 |
96 |
28,0 |
>=66 ans |
0 |
0,0 |
10 |
4,2 |
0 |
0,0 |
14 |
4,7 |
0 |
0,0 |
22 |
6,9 |
0 |
0,0 |
23 |
7,6 |
0 |
0,0 |
31 |
9,5 |
0 |
0,0 |
33 |
9,6 |
Total |
19 |
100,0 |
237 |
100,0 |
12 |
100,0 |
300 |
100,0 |
20 |
100,0 |
321 |
100,0 |
12 |
100,0 |
303 |
100,0 |
13 |
100,0 |
328 |
100,0 |
8 |
100,0 |
343 |
100,0 |
Données extraites de CRISTAL le 01/03/2016
Tableau PCP13a. Age des greffons cardio-pulmonaires prélevés sur donneurs décédés et greffés en France en 2015 selon l'âge du receveur au moment de la greffe
Age du donneur |
Age du receveur |
Total |
||
0-17 ans |
18-29 ans |
30-59 ans |
||
18-29 ans |
0 |
1 |
0 |
1 |
30-59 ans |
2 |
1 |
4 |
7 |
Total |
2 |
2 |
4 |
8 |
Données extraites de CRISTAL le 01/03/2016
Tableau PCP13b. Age des greffons pulmonaires prélevés sur donneurs décédés et greffés en France en 2015 selon l'âge du receveur au moment de la greffe
Age du donneur |
Age du receveur |
Total |
||||
0-17 ans |
18-29 ans |
30-59 ans |
60-64 ans |
65 ans et plus |
||
0-17 ans |
1 |
4 |
7 |
2 |
0 |
14 |
18-29 ans |
3 |
8 |
28 |
9 |
1 |
49 |
30-59 ans |
7 |
34 |
123 |
32 |
7 |
203 |
60-64 ans |
0 |
5 |
20 |
10 |
5 |
40 |
65 ans et plus |
0 |
4 |
23 |
5 |
5 |
37 |
Total |
11 |
55 |
201 |
58 |
18 |
343 |
Données extraites de CRISTAL le 01/03/2016
En 2015, deux poumons ont été prélevés à l'étranger et greffé en France dont un greffon pédiatrique.
Vingt et un poumons ont été prélevés en France et non greffés dont 1 pédiatrique.
Attribution des greffons et priorités
L’attribution des greffons pulmonaires et cardio-pulmonaires s’est enrichie de la mise en place de priorités nationales dites super urgences – SU – en septembre 2006 pour le cœur-poumons et en juillet 2007 pour le poumon pour les malades en situation d’urgence vitale sans autre défaillance d’organe.
Le nombre de demandes de super-urgence cardio-pulmonaire baisse en 2015 par rapport à 2014 de 13% et le nombre de malades pour lesquels une demande a été faite baisse de 14% dans un contexte de diminution du nombre de nouveaux inscrits sur la liste d’attente de 24%. Ainsi, la proportion de candidats pour lesquels une demande de SU a été faite augmente légèrement de 37% à 39%. La part des malades greffés en SU en 2015 est de 100% alors qu’elle était de 77% en 2014 et 54,5% en 2013. Si ces variations sont à considérer en tenant compte des faibles effectifs concernés, il apparait que l’accès à la greffe cardio-pulmonaire est extrêmement difficile pour les malades sans super-urgence du fait de l’allocation prioritaire des greffons cardiaques aux malades en attente de greffe cardiaque bénéficiant d’une super-urgence.
Le nombre de demandes de super-urgence pulmonaire et le nombre de malades pour lesquels une demande a été faite augmentent en 2015 par rapport à 2014 respectivement de 23% et 22% alors que le nombre de nouveaux inscrits augmente de 5,5%. Ainsi, la proportion de candidats pour lesquels une demande de SU a été faite augmente légèrement de 12% à 15%. Le plus faible recours à la SU en greffe pulmonaire par rapport à la greffe cardiaque est sans doute lié à l’exclusion de l’accès à la SU pour les malades ayant une seconde défaillance d’organe. La proportion comme le nombre de greffes pulmonaires réalisées en SU en 2015 augmente par rapport à 2014 (21% soit 71 greffes en 2015 versus 16% soit 53 greffes en 2014). Les malades pour lesquels une demande de SU a été acceptée ont à l’inscription en liste d’attente une ventilation assistée invasive dans 19% des cas, une ECMO dans 13% des cas, une corticothérapie dans 50% des cas et une créatininémie < 60µmol/l dans 46% des cas.
Tableau PCP14a. Evolution des demandes de priorité cardio-pulmonaire (2007-2015)
| Type de priorité | Année de demande de la priorité |
Nombre de demandes |
Nombre de malades |
Nombre de demandes acceptées |
Fréquence de demandes acceptées |
Fréquence des dérogations en groupe compatible parmi les demandes acceptées |
SU |
2007 |
12 |
10 |
12 |
100,0 |
58,3 |
2008 |
18 |
17 |
18 |
100,0 |
55,6 |
|
2009 |
20 |
17 |
20 |
100,0 |
35,0 |
|
2010 |
12 |
12 |
12 |
100,0 |
25,0 |
|
2011 |
10 |
9 |
10 |
100,0 |
50,0 |
|
2012 |
14 |
13 |
14 |
100,0 |
35,7 |
|
2013 |
11 |
11 |
11 |
100,0 |
45,5 |
|
2014 |
15 |
14 |
15 |
100,0 |
26,7 |
|
2015 |
13 |
12 |
12 |
92,3 |
33,3 |
|
Urgence |
2007 |
1 |
1 |
1 |
100,0 |
0,0 |
2008 |
2 |
2 |
2 |
100,0 |
100,0 |
|
2009 |
7 |
3 |
7 |
100,0 |
57,1 |
|
2010 |
2 |
2 |
2 |
100,0 |
0,0 |
|
2011 |
1 |
1 |
1 |
100,0 |
100,0 |
|
2012 |
4 |
3 |
4 |
100,0 |
25,0 |
|
2013 |
1 |
1 |
1 |
100,0 |
0,0 |
|
2014 |
2 |
2 |
2 |
100,0 |
0,0 |
|
2015 |
2 |
1 |
2 |
100,0 |
0,0 |
SU : Super Urgence
Données extraites de CRISTAL le 01/03/2016
Parmi les 15 demandes de SU cardio-pulmonaires réalisées en 2014, 27% étaient liées à une demande de dérogation en groupe compatible pour le groupe sanguin.
Tableau PCP14b. Tableau PCP14b. Evolution des demandes de priorité pulmonaire (2007-2015)
| Type de priorité | Année de demande de la priorité |
Nombre de demandes |
Nombre de malades |
Nombre de demandes acceptées |
Fréquence de demandes acceptées |
Fréquence des dérogations en groupe compatible parmi les demandes acceptées |
SU |
2007 |
20 |
20 |
19 |
95,0 |
36,8 |
2008 |
51 |
50 |
50 |
98,0 |
52,0 |
|
2009 |
54 |
52 |
52 |
96,3 |
48,1 |
|
2010 |
57 |
54 |
52 |
91,2 |
28,8 |
|
2011 |
63 |
60 |
63 |
100,0 |
41,3 |
|
2012 |
70 |
65 |
64 |
91,4 |
31,3 |
|
2013 |
82 |
80 |
78 |
95,1 |
39,7 |
|
2014 |
66 |
65 |
66 |
100,0 |
36,4 |
|
2015 |
81 |
79 |
80 |
98,8 |
35,0 |
|
Urgence |
2007 |
12 |
12 |
12 |
100,0 |
83,3 |
2008 |
7 |
7 |
7 |
100,0 |
71,4 |
|
2009 |
12 |
11 |
12 |
100,0 |
25,0 |
|
2010 |
16 |
15 |
16 |
100,0 |
37,5 |
|
2011 |
25 |
24 |
25 |
100,0 |
24,0 |
|
2012 |
25 |
23 |
25 |
100,0 |
24,0 |
|
2013 |
18 |
18 |
18 |
100,0 |
22,2 |
|
2014 |
10 |
10 |
10 |
100,0 |
10,0 |
|
2015 |
7 |
7 |
7 |
100,0 |
0,0 |
SU : Super Urgence
Données extraites de CRISTAL le 01/03/2016
La création des SU pulmonaire date de juillet 2007. En 2015, 79 malades étaient concernés par les 81 demandes de SU pulmonaire. Parmi les 80 demandes acceptées par les experts, 35% étaient associées à une dérogation pour le groupe sanguin.
Tableau PCP15a. Devenir des malades selon la dernière priorité active par année de sortie de la liste d'attente de greffe cardio-pulmonaire (2007-2015)
|
SU active |
Urgence |
Sans priorité active |
|||||
Année de sortie de liste* |
Devenir sur la liste d'attente |
Total |
N |
% |
N |
% |
N |
% |
2007 |
Sortie de liste pour aggravation de la maladie initiale |
1 |
0 |
NA |
0 |
NA |
1 |
100,0 |
|
Sortie de liste pour amélioration |
1 |
0 |
NA |
0 |
NA |
1 |
100,0 |
|
Décès en liste d'attente |
12 |
2 |
16,7 |
0 |
NA |
10 |
83,3 |
|
Décision personnelle du malade |
1 |
0 |
NA |
0 |
NA |
1 |
100,0 |
|
Greffe |
20 |
5 |
25,0 |
1 |
5,0 |
14 |
70,0 |
2008 |
Sortie de liste pour aggravation de la maladie initiale |
2 |
1 |
50,0 |
0 |
NA |
1 |
50,0 |
|
Sortie de liste pour amélioration |
3 |
0 |
NA |
0 |
NA |
3 |
100,0 |
|
Décès en liste d'attente |
15 |
4 |
26,7 |
0 |
NA |
11 |
73,3 |
|
Décision personnelle du malade |
1 |
0 |
NA |
0 |
NA |
1 |
100,0 |
|
Greffe |
19 |
6 |
31,6 |
2 |
10,5 |
11 |
57,9 |
2009 |
Sortie de liste pour aggravation de la maladie initiale |
1 |
1 |
100,0 |
0 |
NA |
0 |
NA |
|
Sortie de liste pour amélioration |
2 |
0 |
NA |
0 |
NA |
2 |
100,0 |
|
Décès en liste d'attente |
10 |
1 |
10,0 |
2 |
20,0 |
7 |
70,0 |
|
Greffe |
21 |
12 |
57,1 |
0 |
NA |
9 |
42,9 |
2010 |
Sortie de liste pour aggravation de la maladie initiale |
1 |
0 |
NA |
0 |
NA |
1 |
100,0 |
|
Sortie de liste pour amélioration |
3 |
0 |
NA |
0 |
NA |
3 |
100,0 |
|
Décès en liste d'attente |
5 |
0 |
NA |
0 |
NA |
5 |
100,0 |
|
Décision personnelle du malade |
1 |
0 |
NA |
0 |
NA |
1 |
100,0 |
|
Greffe |
19 |
8 |
42,1 |
1 |
5,3 |
10 |
52,6 |
2011 |
Sortie de liste pour amélioration |
3 |
0 |
NA |
0 |
NA |
3 |
100,0 |
|
Décès en liste d'attente |
3 |
1 |
33,3 |
0 |
NA |
2 |
66,7 |
|
Décision personnelle du malade |
1 |
0 |
NA |
0 |
NA |
1 |
100,0 |
|
Greffe |
12 |
8 |
66,7 |
1 |
8,3 |
3 |
25,0 |
2012 |
Sortie de liste pour aggravation de la maladie initiale |
1 |
0 |
NA |
0 |
NA |
1 |
100,0 |
|
Sortie de liste pour amélioration |
1 |
0 |
NA |
0 |
NA |
1 |
100,0 |
|
Décès en liste d'attente |
3 |
1 |
33,3 |
1 |
33,3 |
1 |
33,3 |
|
Décision personnelle du malade |
1 |
0 |
NA |
0 |
NA |
1 |
100,0 |
|
Greffe |
20 |
10 |
50,0 |
0 |
NA |
10 |
50,0 |
2013 |
Sortie de liste pour aggravation hors maladie initiale |
1 |
0 |
NA |
0 |
NA |
1 |
100,0 |
|
Sortie de liste pour aggravation de la maladie initiale |
1 |
0 |
NA |
0 |
NA |
1 |
100,0 |
|
Décès en liste d'attente |
2 |
1 |
50,0 |
0 |
NA |
1 |
50,0 |
|
Greffe |
11 |
6 |
54,5 |
2 |
18,2 |
3 |
27,3 |
2014 |
Sortie de liste pour aggravation hors maladie initiale |
1 |
0 |
NA |
0 |
NA |
1 |
100,0 |
|
Décès en liste d'attente |
6 |
3 |
50,0 |
0 |
NA |
3 |
50,0 |
|
Greffe |
13 |
10 |
76,9 |
0 |
NA |
3 |
23,1 |
2015 |
Sortie de liste pour aggravation hors maladie initiale |
2 |
1 |
50,0 |
0 |
NA |
1 |
50,0 |
|
Décès en liste d'attente |
5 |
1 |
20,0 |
2 |
40,0 |
2 |
40,0 |
|
Greffe |
8 |
8 |
100,0 |
0 |
NA |
0 |
NA |
SU : Super Urgence
* La greffe est considérée comme une sortie de liste d’attente
NA= Non applicable
Données extraites de CRISTAL le 01/03/2016
Parmi les 8 malades greffés d’un cœur-poumons en 2015, 8 (100%) l’étaient sous une SU active.
Tableau PCP15b. Devenir des malades selon la dernière priorité active par année de sortie de la liste d'attente de greffe pulmonaire (2007-2015)
|
SU active |
Urgence |
Sans priorité active |
|||||
Année de sortie de liste* |
Devenir sur la liste d'attente |
Total |
N |
% |
N |
% |
N |
% |
2007 |
Sortie de liste pour aggravation hors maladie initiale |
4 |
0 |
NA |
0 |
NA |
4 |
100,0 |
|
Sortie de liste pour amélioration |
6 |
0 |
NA |
0 |
NA |
6 |
100,0 |
|
Décès en liste d'attente |
32 |
3 |
9,4 |
2 |
6,3 |
27 |
84,4 |
|
Décision personnelle du malade |
3 |
0 |
NA |
0 |
NA |
3 |
100,0 |
|
Greffe |
203 |
13 |
6,4 |
9 |
4,4 |
181 |
89,2 |
2008 |
Sortie de liste pour aggravation hors maladie initiale |
5 |
0 |
NA |
0 |
NA |
5 |
100,0 |
|
Sortie de liste pour aggravation de la maladie initiale |
4 |
1 |
25,0 |
1 |
25,0 |
2 |
50,0 |
|
Sortie de liste pour amélioration |
4 |
0 |
NA |
0 |
NA |
4 |
100,0 |
|
Décès en liste d'attente |
30 |
9 |
30,0 |
1 |
3,3 |
20 |
66,7 |
|
Décision personnelle du malade |
4 |
0 |
NA |
0 |
NA |
4 |
100,0 |
|
Greffe |
196 |
36 |
18,4 |
3 |
1,5 |
157 |
80,1 |
2009 |
Sortie de liste pour aggravation hors maladie initiale |
1 |
0 |
NA |
0 |
NA |
1 |
100,0 |
|
Sortie de liste pour aggravation de la maladie initiale |
3 |
0 |
NA |
0 |
NA |
3 |
100,0 |
|
Sortie de liste pour amélioration |
1 |
0 |
NA |
0 |
NA |
1 |
100,0 |
|
Annulation |
1 |
0 |
NA |
0 |
NA |
1 |
100,0 |
|
Décès en liste d'attente |
28 |
4 |
14,3 |
0 |
NA |
24 |
85,7 |
|
Décision personnelle du malade |
5 |
0 |
NA |
0 |
NA |
5 |
100,0 |
|
Greffe |
231 |
43 |
18,6 |
6 |
2,6 |
182 |
78,8 |
2010 |
Sortie de liste pour aggravation hors maladie initiale |
4 |
0 |
NA |
0 |
NA |
4 |
100,0 |
|
Sortie de liste pour aggravation de la maladie initiale |
8 |
3 |
37,5 |
0 |
NA |
5 |
62,5 |
|
Sortie de liste pour amélioration |
3 |
0 |
NA |
0 |
NA |
3 |
100,0 |
|
Annulation |
1 |
0 |
NA |
0 |
NA |
1 |
100,0 |
|
Décès en liste d'attente |
21 |
2 |
9,5 |
1 |
4,8 |
18 |
85,7 |
|
Décision personnelle du malade |
4 |
0 |
NA |
0 |
NA |
4 |
100,0 |
|
Greffe |
244 |
45 |
18,4 |
6 |
2,5 |
193 |
79,1 |
2011 |
Sortie de liste pour aggravation hors maladie initiale |
3 |
2 |
66,7 |
0 |
NA |
1 |
33,3 |
|
Sortie de liste pour aggravation de la maladie initiale |
4 |
1 |
25,0 |
0 |
NA |
3 |
75,0 |
|
Sortie de liste pour amélioration |
6 |
0 |
NA |
0 |
NA |
6 |
100,0 |
|
Décès en liste d'attente |
18 |
3 |
16,7 |
3 |
16,7 |
12 |
66,7 |
|
Décision personnelle du malade |
2 |
0 |
NA |
0 |
NA |
2 |
100,0 |
|
Greffe |
312 |
54 |
17,3 |
15 |
4,8 |
243 |
77,9 |
2012 |
Sortie de liste pour aggravation hors maladie initiale |
3 |
0 |
NA |
1 |
33,3 |
2 |
66,7 |
|
Sortie de liste pour aggravation de la maladie initiale |
4 |
1 |
25,0 |
0 |
NA |
3 |
75,0 |
|
Sortie de liste pour amélioration |
5 |
0 |
NA |
0 |
NA |
5 |
100,0 |
|
Annulation |
1 |
0 |
NA |
0 |
NA |
1 |
100,0 |
|
Décès en liste d'attente |
16 |
5 |
31,3 |
2 |
12,5 |
9 |
56,3 |
|
Décision personnelle du malade |
3 |
0 |
NA |
0 |
NA |
3 |
100,0 |
|
Greffe |
322 |
52 |
16,1 |
15 |
4,7 |
255 |
79,2 |
2013 |
Sortie de liste pour aggravation hors maladie initiale |
3 |
0 |
NA |
0 |
NA |
3 |
100,0 |
|
Sortie de liste pour aggravation de la maladie initiale |
8 |
3 |
37,5 |
0 |
NA |
5 |
62,5 |
|
Sortie de liste pour amélioration |
6 |
0 |
NA |
0 |
NA |
6 |
100,0 |
|
Annulation |
1 |
0 |
NA |
0 |
NA |
1 |
100,0 |
|
Décès en liste d'attente |
17 |
4 |
23,5 |
2 |
11,8 |
11 |
64,7 |
|
Décision personnelle du malade |
3 |
0 |
NA |
0 |
NA |
3 |
100,0 |
|
Greffe |
299 |
66 |
22,1 |
9 |
3,0 |
224 |
74,9 |
2014 |
Sortie de liste pour aggravation hors maladie initiale |
6 |
2 |
33,3 |
1 |
16,7 |
3 |
50,0 |
|
Sortie de liste pour aggravation de la maladie initiale |
5 |
0 |
NA |
0 |
NA |
5 |
100,0 |
|
Sortie de liste pour amélioration |
2 |
0 |
NA |
0 |
NA |
2 |
100,0 |
|
Annulation |
1 |
0 |
NA |
0 |
NA |
1 |
100,0 |
|
Décès en liste d'attente |
29 |
6 |
20,7 |
0 |
NA |
23 |
79,3 |
|
Décision personnelle du malade |
3 |
0 |
NA |
0 |
NA |
3 |
100,0 |
|
Greffe |
327 |
53 |
16,2 |
10 |
3,1 |
264 |
80,7 |
2015 |
Sortie de liste pour aggravation hors maladie initiale |
5 |
1 |
20,0 |
0 |
NA |
4 |
80,0 |
|
Sortie de liste pour aggravation de la maladie initiale |
6 |
1 |
16,7 |
0 |
NA |
5 |
83,3 |
|
Sortie de liste pour amélioration |
3 |
0 |
NA |
0 |
NA |
3 |
100,0 |
|
Annulation |
1 |
0 |
NA |
0 |
NA |
1 |
100,0 |
|
Décès en liste d'attente |
15 |
6 |
40,0 |
0 |
NA |
9 |
60,0 |
|
Décision personnelle du malade |
3 |
0 |
NA |
0 |
NA |
3 |
100,0 |
|
Greffe |
345 |
71 |
20,6 |
3 |
0,9 |
271 |
78,6 |
SU : Super Urgence
* La greffe est considérée comme une sortie de liste d’attente
NA= Non applicable
Données extraites de CRISTAL le 01/03/2016
Parmi les 345 malades greffés d’un poumon en 2015, 71 (21%) l’étaient sous une SU active, 3 (1%) sous une urgence régionale active et 271 (79%) sans priorité.
Tableau PCP16a. Caractéristiques des malades inscrits en liste d’attente de greffe cardio-pulmonaire dont la demande de super-urgence a été acceptée en 2015
|
N |
% |
Age à l'inscription |
4 |
33,3 |
0-17 ans |
||
18-29 ans |
2 |
16,7 |
30-55 ans |
5 |
41,7 |
56-65 ans |
1 |
8,3 |
Sexe |
4 |
33,3 |
F |
||
M |
8 |
66,7 |
Groupe sanguin |
4 |
33,3 |
A |
||
AB |
1 |
8,3 |
O |
7 |
58,3 |
Total |
12 |
100,0 |
Données extraites de CRISTAL le 01/03/2016
Tableau PCP16b. Caractéristiques des malades inscrits en liste d’attente de greffe pulmonaire dont la demande de super-urgence a été acceptée en 2015
|
SU |
|
N |
% |
|
Age à l'inscription |
9 |
11,3 |
0-17 ans |
||
18-29 ans |
17 |
21,3 |
30-55 ans |
35 |
43,8 |
56-65 ans |
18 |
22,5 |
>=66 ans |
1 |
1,3 |
Sexe |
36 |
45,0 |
F |
||
M |
44 |
55,0 |
Groupe sanguin |
31 |
38,8 |
A |
||
AB |
4 |
5,0 |
B |
6 |
7,5 |
O |
39 |
48,8 |
Ventilation invasive à l'inscription |
65 |
81,3 |
Non |
||
Oui |
15 |
18,8 |
Circulation extracorporelle à l'inscription (CEC ou ECMO ou ECLS ou Novalung) |
70 |
87,5 |
Non |
||
Oui |
10 |
12,5 |
Corticothérapie à l'inscription |
39 |
48,8 |
Non |
||
Oui |
40 |
50,0 |
Manquant |
1 |
1,3 |
Distance parcourue en 6 min (m) à l'inscription |
23 |
28,8 |
<300 m |
||
>=300 m |
25 |
31,3 |
Manquant |
32 |
40,0 |
Diabète à l'inscription |
57 |
71,3 |
Non |
||
Oui |
23 |
28,8 |
Bilirubine à l'inscription |
70 |
87,5 |
<35 µmol/l |
||
35-49 µmol/l |
3 |
3,8 |
>=50 µmol/l |
1 |
1,3 |
Manquant |
6 |
7,5 |
Créatinémie à l'inscription |
37 |
46,3 |
<60 µmol/l |
||
60-119 µmol/l |
36 |
45,0 |
120-199 µmol/l |
5 |
6,3 |
>=200 µmol/l |
1 |
1,3 |
Manquant |
1 |
1,3 |
Total |
80 |
100,0 |
Données extraites de CRISTAL le 01/03/2016
Activité de greffe
Le nombre de greffes cœur-poumons réalisées en 2015 est inférieur de 38,5% à celui de 2014 avec une activité qui s’établit à un niveau très bas (0,1 greffes par million d’habitants) et en baisse par rapport à la période 2010-2012 (0,3 greffes par million d’habitants).
L’activité de greffe pulmonaire augmente de 5,5% par rapport à 2014 (5,2 greffes par million d’habitants).
L’indication la plus fréquente de greffe cardio-pulmonaire reste l’hypertension artérielle pulmonaire (63%) alors que l’indication la plus fréquente de greffe pulmonaire est en 2015 comme en 2014 l’emphysème-BPCO (29%) suivie par la mucoviscidose et la fibrose pulmonaire (22%). Parmi les 6 équipes qui inscrivent des candidats sur la liste d’attente de greffe cardio-pulmonaire en 2015, une réalise 63% des greffes et deux respectivement deux et une greffes. Parmi les 11 équipes de greffe pulmonaire adulte, 7 réalisent en 2015 moins de 30 greffes, 4 entre 40 et 50 greffes et 1 équipe 63 greffes. Le taux d’accès à la greffe calculé en divisant le nombre de greffes par le nombre total de candidats varie notablement d’un centre à l’autre avec des extrêmes allant de 27% à Grenoble à 85% à Suresnes Foch. La proportion des greffes mono-pulmonaires parmi la totalité des greffes pulmonaires est comme en 2014 de 12%, certains centres n’en faisant aucune, et 2 centres, Grenoble et Paris Bichat, ayant une activité de greffe mono pulmonaire correspondant respectivement à 63% et 39% de leur activité totale.
Tableau PCP17. Evolution de l’activité de greffe pulmonaire et cardio-pulmonaire
| Année de greffe poumon | Nombre de greffes de coeur-poumons |
Nombre de greffes de poumon |
Greffes bipulmonaires |
Greffes monopulmonaires |
Dont nombre de greffes avec donneurs vivants |
1997 |
26 |
64 |
44 |
19 |
1 |
1998 |
25 |
89 |
52 |
36 |
0 |
1999 |
28 |
71 |
40 |
31 |
1 |
2000 |
25 |
70 |
38 |
32 |
1 |
2001 |
26 |
91 |
63 |
28 |
2 |
2002 |
20 |
89 |
54 |
35 |
1 |
2003 |
16 |
76 |
61 |
15 |
0 |
2004 |
22 |
145 |
98 |
47 |
1 |
2005 |
21 |
184 |
118 |
66 |
0 |
2006 |
22 |
182 |
129 |
53 |
0 |
2007 |
20 |
203 |
154 |
49 |
0 |
2008 |
19 |
196 |
143 |
53 |
0 |
2009 |
21 |
231 |
175 |
56 |
0 |
2010 |
19 |
244 |
184 |
60 |
0 |
2011 |
12 |
312 |
230 |
82 |
0 |
2012 |
20 |
322 |
264 |
58 |
0 |
2013 |
11 |
299 |
252 |
47 |
0 |
2014 |
13 |
327 |
288 |
39 |
0 |
2015 |
8 |
345 |
305 |
40 |
0 |
Données extraites de CRISTAL le 01/03/2016
Tableau PCP18. Evolution du nombre des malades greffés d'un poumon ou d'un cœur-poumons selon l’indication et incidence par million d'habitants
| Indication | 2010 |
2011 |
2012 |
2013 |
2014 |
2015 |
||||||||||||
N |
% |
pmh |
N |
% |
pmh |
N |
% |
pmh |
N |
% |
pmh |
N |
% |
pmh |
N |
% |
pmh |
|
Coeur-poumons |
||||||||||||||||||
Autre ou indéterminée |
3 |
16 |
0,0 |
1 |
8 |
0,0 |
1 |
5 |
0,0 |
2 |
18 |
0,0 |
2 |
15 |
0,0 |
2 |
25 |
0,0 |
Deficit en alpha anti-trypsine |
0 |
0,0 |
0,0 |
0 |
0,0 |
0,0 |
1 |
5 |
0,0 |
0 |
0,0 |
0,0 |
0 |
0,0 |
0,0 |
0 |
0,0 |
0,0 |
Emphysème-BPCO |
1 |
5 |
0,0 |
0 |
0,0 |
0,0 |
2 |
10 |
0,0 |
0 |
0,0 |
0,0 |
0 |
0,0 |
0,0 |
0 |
0,0 |
0,0 |
Fibrose pulmonaire |
0 |
0,0 |
0,0 |
0 |
0,0 |
0,0 |
0 |
0,0 |
0,0 |
1 |
9 |
0,0 |
2 |
15 |
0,0 |
1 |
13 |
0,0 |
Hypertension artérielle pulmonaire |
14 |
74 |
0,2 |
8 |
67 |
0,1 |
15 |
75 |
0,2 |
7 |
64 |
0,1 |
7 |
54 |
0,1 |
5 |
63 |
0,1 |
Mucoviscidose |
1 |
5 |
0,0 |
3 |
25 |
0,0 |
1 |
5 |
0,0 |
1 |
9 |
0,0 |
1 |
8 |
0,0 |
0 |
0,0 |
0,0 |
Retransplantation-Echec de greffe |
0 |
0,0 |
0,0 |
0 |
0,0 |
0,0 |
0 |
0,0 |
0,0 |
0 |
0,0 |
0,0 |
1 |
8 |
0,0 |
0 |
0,0 |
0,0 |
Poumon |
||||||||||||||||||
Autre ou indéterminée |
27 |
11 |
0,4 |
36 |
12 |
0,6 |
48 |
15 |
0,7 |
31 |
10 |
0,5 |
45 |
14 |
0,7 |
49 |
14 |
0,7 |
Deficit en alpha anti-trypsine |
2 |
1 |
0,0 |
5 |
2 |
0,1 |
1 |
0,0 |
0,0 |
1 |
0,0 |
0,0 |
4 |
1 |
0,1 |
5 |
1 |
0,1 |
Emphysème-BPCO |
66 |
27 |
1,0 |
95 |
30 |
1,5 |
96 |
30 |
1,5 |
92 |
31 |
1,4 |
109 |
33 |
1,6 |
101 |
29 |
1,5 |
Fibrose pulmonaire |
54 |
22 |
0,8 |
68 |
22 |
1,0 |
63 |
20 |
1,0 |
61 |
20 |
0,9 |
64 |
20 |
1,0 |
77 |
22 |
1,2 |
Hypertension artérielle pulmonaire |
9 |
4 |
0,1 |
11 |
4 |
0,2 |
16 |
5 |
0,2 |
12 |
4 |
0,2 |
26 |
8 |
0,4 |
29 |
8 |
0,4 |
Mucoviscidose |
82 |
34 |
1,3 |
96 |
31 |
1,5 |
96 |
30 |
1,5 |
94 |
31 |
1,4 |
74 |
23 |
1,1 |
77 |
22 |
1,2 |
Retransplantation-Echec de greffe |
4 |
2 |
0,1 |
1 |
0,0 |
0,0 |
2 |
1 |
0,0 |
8 |
3 |
0,1 |
5 |
2 |
0,1 |
7 |
2 |
0,1 |
Données extraites de CRISTAL le 01/03/2016
Parmi les maladies conduisant à la greffe cardio-pulmonaire, l’hypertension artérielle pulmonaire représente 63% des greffés.
Pour la greffe pulmonaire, l’emphysème-BPCO représente 29% des indications.
Tableau PCP19a. Activité cardio-pulmonaire par équipe en activité en 2015
| Equipe de greffe | Nombre d'inscriptions en 2015 |
Nombre de malades restant au 1er janvier 2015 |
Nombre de SU demandées en 2015 |
Nombre de greffes réalisées en 2015 |
Taux de croissance 2015 |
Le Plessis-Robinson Marie-Lannelongue (A+P) |
5 |
5 |
7 |
5 |
150,0 |
Lyon I (HCL) |
0 |
0 |
0 |
0 |
-100,0 |
Lyon II (HCL) (A) |
2 |
2 |
2 |
2 |
0,0 |
Marseille Timone adultes (APM) (A) |
1 |
1 |
0 |
0 |
-100,0 |
Marseille Timone enfants (APM) (P) |
1 |
3 |
2 |
0 |
-100,0 |
Nantes (A+P) |
2 |
2 |
1 |
0 |
-100,0 |
Paris Georges Pompidou (AP-HP) (A+P) |
0 |
2 |
0 |
0 |
-100,0 |
Strasbourg (A) |
2 |
2 |
1 |
1 |
0,0 |
|
13 |
17 |
13 |
8 |
|
NA : Non applicable - SU : Super urgence
Données extraites de CRISTAL le 01/03/2016
Le nombre de greffes cardio-pulmonaires réalisées varie de 0 à 5. Seules 3 équipes ont réalisé un greffe cette année (sur 9 autorisées).
Tableau PCP19b. Activité pulmonaire par équipe en activité en 2014
| Equipe de greffe | Nombre d'inscriptions en 2015 |
Nombre de malades restant au 1er janvier 2015 |
Nombre de SU demandées en 2015 |
Nombre de malades avec ventilation invasive à l'inscription en 2015 |
Nombre total de greffes 2015 |
Nombre de greffes mono pulmonaires 2015 |
Nombres de greffes bi pulmonaires 2015 |
Taux de croissance 2015 |
Bordeaux (A+P) |
19 |
11 |
6 |
1 |
22 |
0 |
22 |
-8,3 |
Grenoble (A) |
17 |
13 |
0 |
1 |
8 |
5 |
3 |
-55,6 |
Le Plessis-Robinson Marie-Lannelongue (A+P) |
50 |
19 |
22 |
2 |
49 |
3 |
46 |
25,6 |
Lyon (A+P) |
42 |
17 |
12 |
3 |
28 |
8 |
20 |
40,0 |
Marseille Hôpital Nord (APHM) (A) |
45 |
23 |
7 |
2 |
42 |
2 |
40 |
16,7 |
Marseille Timone enfants (APM) (P) |
0 |
3 |
0 |
0 |
2 |
0 |
2 |
0,0 |
Nantes (A+P) |
19 |
5 |
5 |
1 |
17 |
0 |
17 |
-19,0 |
Paris Bichat (AP-HP) (A) |
57 |
18 |
10 |
3 |
41 |
16 |
25 |
2,5 |
Paris Georges Pompidou (AP-HP) (A+P) |
18 |
6 |
5 |
1 |
16 |
2 |
14 |
-5,9 |
Strasbourg (A) |
36 |
28 |
6 |
2 |
46 |
2 |
44 |
12,2 |
Suresnes Foch (A) |
67 |
7 |
3 |
1 |
63 |
0 |
63 |
14,5 |
Toulouse (A) |
12 |
5 |
5 |
0 |
11 |
2 |
9 |
-21,4 |
|
382 |
155 |
81 |
17 |
345 |
40 |
305 |
|
NA : Non applicable - SU : Super urgence
Données extraites de CRISTAL le 01/03/2016
Le nombre de greffes pulmonaires réalisées varie de 8 à 63. Quatre équipes ont réalisé moins de 20 greffes cette année (sur un total de 12 équipes autorisées) ; Marseille Timone enfants en a réalisé 2.
Survie post greffe
Pour la cohorte des malades opérés entre 1993 et juin 2014, la survie 1 an après une greffe cardio-pulmonaire est de 62%, la survie 1 an après une greffe mono-pulmonaire de 68% et la survie 1 an après une greffe bi-pulmonaire de 76%. Les probabilités de survie du receveur et du greffon sont quasiment identiques, le nombre de retransplantations étant très faible. La survie du receveur à 5 ans après une greffe mono-pulmonaire est de 43% et après une greffe bi-pulmonaire de 55%.
L’analyse de la survie selon la période de greffe montre que la survie 1 an après une greffe cardio-pulmonaire continue de s’améliorer (68% pour la période 2007- juin 2014, 64% pour la période 1995-1999 versus 43% pour la période 1985-1989).
La survie 1 an après une greffe pulmonaire est stable depuis 2005 autour de 78%. Les courbes de survie au-delà de la première année restent parallèles depuis 1990 soulignant la nécessité de mieux prévenir et prendre en charge la dysfonction chronique du greffon pulmonaire. La survie est significativement plus basse pour les receveurs de greffons pulmonaires opérés dans le cadre d’une SU (taux de survie à 1 an de 66% versus 80% pour les malades sans priorité).
La survie après greffe cardio-pulmonaire et pulmonaire pour la cohorte des malades opérés entre 1993 et 2014 dépend de l’indication de la greffe, les malades avec une mucoviscidose (taux de survie à 1 an de 81%) ont une survie significativement meilleure et ceux avec une fibrose pulmonaire (taux de survie à 1 an de 63%) ont une survie significativement moins bonne que ceux opérés pour emphysème-BPCO ou hypertension artérielle pulmonaire (taux de survie à 1 an autour de 73%). La survie après greffe pulmonaire n’est pas significativement meilleure pour les receveurs ayant reçu un greffon issu d’un donneur âgés de 18 à 60 ans que pour ceux issus d’un donneur de 17 ans ou moins et de plus de 60 ans.
Figure PCP4. Courbe de survie du receveur selon le type de greffe (première greffe en 1993-juin 2014)
| Type de greffe | N |
Survie à 1 mois |
Survie à 1 an |
Survie à 5 ans |
Survie à 10 ans |
Survie à 15 ans |
Médiane de |
Poumon Mono |
887 |
85,9% |
67,5% |
42,8% |
NO |
NO |
43,4 |
nombre de sujets à risque* |
|
761 |
592 |
272 |
90 |
28 |
|
Poumon Bi |
2323 |
89,8% |
76,2% |
54,9% |
NO |
NO |
83,6 |
nombre de sujets à risque* |
|
2087 |
1726 |
717 |
218 |
65 |
|
Coeur-Poumons |
483 |
78,4% |
61,8% |
45,6% |
36,6% |
NO |
39,0 |
nombre de sujets à risque* |
|
378 |
297 |
190 |
111 |
56 |
|
[] : Intervalle de confiance
NO : non observable
* : Nombre de malades restant à observer pour chaque temps et pour lesquels aucun évènement n'est survenu
Données extraites de CRISTAL le 01/03/2016
Un an après la greffe, le taux de survie des malades greffés en mono-pulmonaire entre 1993 et juin 2014 est de 67% contre 76% en bi-pulmonaire et 63% en cœur-poumons.
Figure PCP5. Courbe de survie du greffon selon le type de greffe (première greffe en 1993-juin 2014)
| Type de greffe | N |
Survie à 1 mois |
Survie à 1 an |
Survie à 5 ans |
Survie à 10 ans |
Survie à 15 ans |
Médiane de |
Poumon Mono |
887 |
85,7% |
67,1% |
41,0% |
NO |
NO |
40,7 |
nombre de sujets à risque* |
|
759 |
589 |
263 |
82 |
27 |
|
Poumon Bi |
2323 |
89,8% |
75,9% |
53,1% |
NO |
NO |
70,8 |
nombre de sujets à risque* |
|
2086 |
1718 |
692 |
202 |
61 |
|
Coeur-Poumons |
483 |
78,4% |
61,6% |
44,3% |
34,8% |
NO |
36,3 |
nombre de sujets à risque* |
|
378 |
296 |
185 |
109 |
56 |
|
[] : Intervalle de confiance
NO : non observable
* : Nombre de malades restant à observer pour chaque temps et pour lesquels aucun évènement n'est survenu
Données extraites de CRISTAL le 01/03/2016
Figure PCP6a. Courbe de survie du receveur cardio-pulmonaire selon la période de greffe
| Période de greffe | N |
Survie à 1 mois |
Survie à 1 an |
Survie à 5 ans |
Survie à 10 ans |
Survie à 15 ans |
Médiane de |
1985-1989 |
153 |
56,2% |
43,1% |
25,5% |
15,7% |
NO |
2,3 |
nombre de sujets à risque* |
|
86 |
66 |
39 |
24 |
16 |
|
1990-1994 |
289 |
69,7% |
48,1% |
28,9% |
21,2% |
NO |
10,1 |
nombre de sujets à risque* |
|
200 |
138 |
83 |
58 |
41 |
|
1995-1999 |
126 |
80,2% |
64,3% |
49,0% |
42,2% |
32,9% |
53,9 |
nombre de sujets à risque* |
|
101 |
81 |
58 |
50 |
39 |
|
2000-2006 |
146 |
79,5% |
63,0% |
47,9% |
37,7% |
NO |
48,4 |
nombre de sujets à risque* |
|
116 |
92 |
70 |
43 |
2 |
|
2007-juin 2014 |
123 |
79,7% |
68,3% |
49,2% |
NO |
NO |
58,0 |
nombre de sujets à risque* |
|
98 |
83 |
35 |
0 |
0 |
|
[] : Intervalle de confiance
NO : non observable
* : Nombre de malades restant à observer pour chaque temps et pour lesquels aucun évènement n'est survenu
Données extraites de CRISTAL le 01/03/2016
La probabilité de survie après une greffe cardio-pulmonaire réalisée entre 2007 et juin 2014 est de 68% à un an. Depuis l’amélioration des résultats observée en 1995-1999, les courbes de survie sont comparables sur les périodes récentes.
Figure PCP6b. Courbe de survie du receveur pulmonaire selon la période de greffe
Période de greffe |
N |
Survie à 1 mois |
Survie à 1 an |
Survie à 5 ans |
Survie à 10 ans |
Survie à 15 ans |
Médiane de |
1987-1989 |
57 |
82,5% |
54,4% |
26,3% |
17,5% |
NO |
12,7 |
nombre de sujets à risque* |
|
47 |
31 |
15 |
10 |
3 |
|
1990-1994 |
474 |
80,5% |
53,9% |
30,8% |
20,2% |
NO |
15,5 |
nombre de sujets à risque* |
|
379 |
254 |
143 |
90 |
51 |
|
1995-1999 |
355 |
83,7% |
65,4% |
41,9% |
27,9% |
20,1% |
35,4 |
nombre de sujets à risque* |
|
297 |
232 |
146 |
94 |
67 |
|
2000-2004 |
458 |
84,7% |
68,6% |
47,5% |
33,8% |
NO |
55,9 |
nombre de sujets à risque* |
|
388 |
314 |
216 |
150 |
5 |
|
2005-2007 |
539 |
89,2% |
78,1% |
54,7% |
NO |
NO |
76,0 |
nombre de sujets à risque* |
|
481 |
421 |
295 |
33 |
0 |
|
2008-2010 |
646 |
90,4% |
77,1% |
55,6% |
NO |
NO |
NO |
nombre de sujets à risque* |
|
584 |
498 |
276 |
0 |
0 |
|
2011-juin 2014 |
1036 |
92,0% |
78,1% |
NO |
NO |
NO |
NO |
nombre de sujets à risque* |
|
953 |
759 |
0 |
0 |
0 |
|
[] : Intervalle de confiance
NO : non observable
* : Nombre de malades restant à observer pour chaque temps et pour lesquels aucun évènement n'est survenu
Données extraites de CRISTAL le 01/03/2016
Figure PCP7. Courbe de survie du receveur après greffe cardio-pulmonaire ou pulmonaire selon la pathologie (première greffe en 1993-juin 2014)
| Indication de greffe | N |
Survie à 1 mois |
Survie à 1 an |
Survie à 5 ans |
Survie à 10 ans |
Survie à 15 ans |
Médiane de |
Mucoviscidose |
1106 |
92,0% |
81,2% |
61,0% |
NO |
NO |
118,8 |
nombre de sujets à risque* |
|
1017 |
886 |
420 |
158 |
46 |
|
Fibrose pulmonaire |
621 |
83,6% |
63,4% |
38,0% |
NO |
NO |
32,4 |
nombre de sujets à risque* |
|
519 |
386 |
138 |
33 |
9 |
|
Emphysème-BPCO |
892 |
90,0% |
73,5% |
50,2% |
NO |
NO |
60,2 |
nombre de sujets à risque* |
|
803 |
639 |
239 |
57 |
18 |
|
Hypertension artérielle pulmonaire |
176 |
86,9% |
73,3% |
56,8% |
NO |
NO |
85,9 |
nombre de sujets à risque* |
|
153 |
125 |
69 |
24 |
9 |
|
Autre |
906 |
81,8% |
65,6% |
45,8% |
32,7% |
NO |
46,7 |
nombre de sujets à risque* |
|
739 |
582 |
315 |
149 |
69 |
|
[] : Intervalle de confiance
NO : non observable
* : Nombre de malades restant à observer pour chaque temps et pour lesquels aucun évènement n'est survenu
Données extraites de CRISTAL le 01/03/2016
Un an après la greffe, le taux de survie après greffe cardio-pulmonaire et pulmonaire (1993-juin 2014) des malades atteints de mucoviscidose est significativement meilleure (81%) que celle des autres indications (63 à 74%).
Figure PCP8a. Courbe de survie du receveur cardio-pulmonaire selon la priorité (2007 – juin 2014)
| Priorité | N |
Survie à 1 mois |
Survie à 1 an |
Survie à 5 ans |
Survie à 10 ans |
Médiane de |
Non SU |
61 |
83,6% |
72,1% |
54,7% |
NO |
NO |
nombre de sujets à risque* |
|
51 |
43 |
21 |
0 |
|
SU |
62 |
75,8% |
64,5% |
43,5% |
NO |
44,0 |
nombre de sujets à risque* |
|
47 |
40 |
14 |
0 |
|
[] : Intervalle de confiance
NO : non observable
* : Nombre de malades restant à observer pour chaque temps et pour lesquels aucun évènement n'est survenu
Données extraites de CRISTAL le 01/03/2016
La survie globale post greffe des non SU n’est pas significativement meilleure que celle des malades avec SU mais les effectifs faibles rendent l’interprétation difficile.
Figure PCP8b. Courbe de survie du receveur pulmonaire selon la priorité (2007 – juin 2014)
| Priorité | N |
Survie à 1 mois |
Survie à 1 an |
Survie à 5 ans |
Survie à 10 ans |
Survie à 15 ans |
Médiane de |
Non SU |
1557 |
92,7% |
80,1% |
56,5% |
NO |
NO |
NO |
nombre de sujets à risque* |
|
1444 |
1204 |
329 |
0 |
0 |
|
SU |
319 |
82,8% |
66,1% |
NO |
NO |
NO |
52,5 |
nombre de sujets à risque* |
|
264 |
204 |
47 |
0 |
0 |
|
[] : Intervalle de confiance
NO : non observable
* : Nombre de malades restant à observer pour chaque temps et pour lesquels aucun évènement n'est survenu
Données extraites de CRISTAL le 01/03/2016
La survie non ajustée à 1 an des malades ayant bénéficié d’une SU est significativement inférieure à celle des autres malades (66% versus 80%).
Figure PCP9a. Courbe de survie du receveur cardio-pulmonaire selon l'âge du donneur (1993 – juin 2014)
| Classe d'âge du donneur (ans) | N |
Survie à 1 mois |
Survie à 1 an |
Survie à 5 ans |
Survie à 10 ans |
Survie à 15 ans |
Médiane de |
0-17 ans |
173 |
76,8% |
55,8% |
39,8% |
31,8% |
26,2% |
19,3 |
nombre de sujets à risque* |
|
132 |
96 |
65 |
41 |
30 |
|
18-50 ans |
258 |
80,6% |
66,7% |
49,1% |
39,6% |
NO |
55,5 |
nombre de sujets à risque* |
|
208 |
172 |
106 |
63 |
24 |
|
> 50 ans |
52 |
73,1% |
57,7% |
48,3% |
NO |
NO |
58,0 |
nombre de sujets à risque* |
|
38 |
29 |
19 |
7 |
2 |
|
[] : Intervalle de confiance
NO : non observable
* : Nombre de malades restant à observer pour chaque temps et pour lesquels aucun évènement n'est survenu
Données extraites de CRISTAL le 01/03/2016
Un an après la greffe, le taux de survie des malades de plus de 50 ans ayant reçu un cœur-poumons est de 58%.
Figure PCP9b. Courbe de survie du receveur pulmonaire selon l'âge du donneur (1993 – juin 2014)
Classe d'âge du donneur (ans) |
N |
Survie à 1 mois |
Survie à 1 an |
Survie à 5 ans |
Survie à 10 ans |
Survie à 15 ans |
Médiane de |
0-17 ans |
477 |
85,7% |
67,4% |
44,4% |
30,2% |
NO |
43,0 |
nombre de sujets à risque* |
|
408 |
321 |
169 |
82 |
43 |
|
18-60 ans |
2387 |
89,4% |
75,3% |
53,7% |
NO |
NO |
74,0 |
nombre de sujets à risque* |
|
2134 |
1758 |
779 |
222 |
52 |
|
> 60 ans |
354 |
87,9% |
71,2% |
NO |
NO |
NO |
44,8 |
nombre de sujets à risque* |
|
311 |
242 |
43 |
6 |
0 |
|
[] : Intervalle de confiance
NO : non observable
* : Nombre de malades restant à observer pour chaque temps et pour lesquels aucun évènement n'est survenu
Données extraites de CRISTAL le 01/03/2016
Tableau PCP20a. Répartition des malades déclarés vivants, en fonction du délai écoulé depuis les dernières nouvelles : état de la base au 31 décembre 2014 des malades ayant eu une greffe cardio-pulmonaire entre 1993 et 2014
|
Nombre de dossiers |
Ancienneté des dernières nouvelles (en % de dossiers) |
|
0-1 an (%) |
1-2 ans (%) |
||
Equipe de suivi |
12 |
91,7 |
8,3 |
Bordeaux (A) |
|||
Grenoble** |
2 |
100,0 |
0,0 |
Le Plessis-Robinson Marie-Lannelongue (A+P) |
47 |
93,6 |
6,4 |
Lyon II (HCL) (A) |
20 |
100,0 |
0,0 |
LyonI(HCL)** |
3 |
100,0 |
0,0 |
Marseille Timone adultes (APM) (A) |
1 |
0,0 |
100,0 |
Marseille Timone enfants (APM) (P) |
4 |
75,0 |
25,0 |
MarseilleSainteMarguerite(APM)** |
5 |
100,0 |
0,0 |
Nancy** |
1 |
100,0 |
0,0 |
Nantes (A+P) |
44 |
95,5 |
4,5 |
Paris Georges Pompidou (AP-HP) (A+P) |
4 |
50,0 |
50,0 |
ParisPitié-Salpêtrière(AP-HP)** |
8 |
87,5 |
12,5 |
Strasbourg (A) |
7 |
100,0 |
0,0 |
SuresnesFoch** |
1 |
0,0 |
100,0 |
Total |
159 |
92,5 |
7,5 |
* pourcentage de dossiers dont les dernières nouvelles datent de plus de 2 ans ou sont manquantes
** Equipe de suivi sans autorisation d'activité de greffe
Le Tableau PCP 20a présente le nombre de malades suivis dans chaque équipe depuis 1993, ainsi que la proportion de malades selon l’ancienneté de leur dernier bilan après greffe de cœur-poumons. La proportion de malades pour lesquels le suivi n’est pas renseigné depuis plus d’un an a subi une importante diminution (7% en 2014 contre 84% en 2000), et permet l’interprétation prudente des données pour l’analyse de la survie post greffe.
Pour la première fois cette année, pour toutes les équipes, les dernières nouvelles dataient de moins de 2 ans.
Tableau PCP20b. Répartition des malades déclarés vivants, en fonction du délai écoulé depuis les dernières nouvelles : état de la base au 31 décembre 2014 des malades ayant eu une greffe pulmonaire entre 1993 et 2014
|
Nombre de dossiers |
Ancienneté des dernières nouvelles (en % de dossiers) |
||
0-1 an (%) |
1-2 ans (%) |
> 2 ans* (%) |
||
Equipe de suivi |
109 |
93,6 |
6,4 |
0,0 |
Bordeaux (A+P) |
||||
Grenoble (A) |
73 |
100,0 |
0,0 |
0,0 |
Le Plessis-Robinson Marie-Lannelongue (A+P) |
137 |
82,5 |
16,5 |
1,5 |
LilleA.Calmette** |
8 |
0,0 |
0,0 |
100,0 |
Lyon (A+P) |
122 |
100,0 |
0,0 |
0,0 |
Marseille Sainte Marguerite (APM) (A) |
213 |
91,5 |
8,5 |
0,0 |
Marseille Timone enfants (APM) (P) |
6 |
100,0 |
0,0 |
0,0 |
Nancy(Brabois)** |
1 |
100,0 |
0,0 |
0,0 |
Nantes (A+P) |
100 |
99,0 |
1,0 |
0,0 |
Paris Bichat (AP-HP) (A) |
155 |
86,5 |
13,5 |
0,0 |
Paris Georges Pompidou (AP-HP) (A+P) |
119 |
48,7 |
51,3 |
0,0 |
ParisPitié-Salpêtrière(AP-HP)** |
1 |
100,0 |
0,0 |
0,0 |
Strasbourg (A) |
179 |
100,0 |
0,0 |
0,0 |
Suresnes Foch (A) |
311 |
77,5 |
22,5 |
0,0 |
Toulouse (A) |
56 |
37,5 |
60,7 |
1,8 |
Total |
1593 |
84,6 |
14,7 |
0,7 |
* pourcentage de dossiers dont les dernières nouvelles datent de plus de 2 ans ou sont manquantes
** Equipe de suivi sans autorisation d'activité de greffe
Le Tableau PCP20b présente le nombre de malades suivis dans chaque équipe depuis 1993, ainsi que le nombre et la proportion de malades selon l’ancienneté de leur dernier bilan après greffe de poumon. Le taux de malades pour lesquels le suivi n’est pas renseigné depuis plus d’un an reste stable (15% en 2014 et 11% en 2013). Ce taux faible permet l’interprétation prudente des données pour l’analyse de la survie post greffe.
Tableau PCP21a. Estimation du nombre de malades porteurs d’un greffon cardio-pulmonaire fonctionnel au 31 décembre 2015, par équipe de suivi
| Equipe de suivi | Nombre de malades n'ayant pas fait l'objet d'une déclaration de décès ou d'arrêt de fonction du greffon |
Nombre malades suivis (dernières nouvelles<=18 mois) |
Nombre estimé de malades vivants avec greffon fonctionnel au 31/12/2015 |
|
2 |
2 |
2 |
Bordeaux (A) |
15 |
15 |
15 |
Grenoble * |
2 |
2 |
2 |
Le Plessis-Robinson Marie-Lannelongue (A+P) |
59 |
54 |
55 |
Lyon I (HCL) * |
3 |
3 |
3 |
Lyon II (HCL) (A) |
23 |
23 |
23 |
Marseille * |
0 |
0 |
0 |
Marseille (Timone Adulte) * |
0 |
0 |
0 |
Marseille Sainte Marguerite (APM) * |
5 |
5 |
5 |
Marseille Timone adultes (APM) (A) |
1 |
1 |
1 |
Marseille Timone enfants (APM) (P) |
4 |
4 |
4 |
Nancy * |
3 |
2 |
2 |
Nantes (A+P) |
47 |
46 |
46 |
Nice * |
1 |
0 |
0 |
Paris (Cochin) * |
0 |
0 |
0 |
Paris Georges Pompidou (AP-HP) (A+P) |
9 |
5 |
6 |
Paris Necker Enfants Malades (AP-HP) * |
0 |
0 |
0 |
Paris Pitié-Salpêtrière (AP-HP) * |
15 |
9 |
10 |
Rouen * |
0 |
0 |
0 |
Strasbourg (A) |
9 |
9 |
9 |
Suresnes Foch * |
1 |
1 |
1 |
Toulouse (Rangueil) * |
0 |
0 |
0 |
Total |
199 |
181 |
183 |
* Equipe de suivi sans autorisation d'activité de greffe cardio-pulmonaire
Malgré l’amélioration de l’exhaustivité des données de suivi des patients greffés cardio-pulmonaires, il n’est pas possible d’obtenir le nombre de patients porteurs d’un greffon fonctionnel par simple interrogation de Cristal. Ainsi, l’estimation de ce nombre a été effectuée en deux étapes basées sur l’ancienneté des données de suivi du patient.
Dans un premier temps, nous avons dénombré les porteurs d’un greffon fonctionnel dans Cristal (patients déclarés vivants sans arrêt de fonction du greffon) dont les dernières nouvelles dataient de moins de 18 mois (suivi annuel obligatoire dans Cristal). Pour les patients qui n’avaient pas fait l’objet d’une déclaration de décès ou d’arrêt de fonction du greffon depuis plus de 18 mois, le nombre de porteurs d’un greffon fonctionnel a été estimé en leur appliquant les taux de survie du greffon estimés sur la population globale.
Le nombre total de porteurs d’un greffon fonctionnel correspond à la somme de ces deux valeurs. Le chiffre ainsi estimé est encadré par deux bornes :
- la borne inférieure correspond à l’hypothèse la plus pessimiste, selon laquelle les malades non suivis sont considérés comme en arrêt fonctionnel de greffon.
Cela signifie que seuls les greffés qui n’avaient pas fait l’objet d’une déclaration de décès ou d’arrêt de fonction du greffon au 31 décembre de l’année et dont les données de suivi dataient de moins de 18 mois étaient porteurs d’un greffon fonctionnel à cette date ;
- la borne supérieure correspond à l’hypothèse la plus optimiste, selon laquelle les malades non suivis sont considérés comme porteurs d’un greffon fonctionnel.
En d’autres termes, tous les greffés qui n’avaient pas fait l’objet d’une déclaration de décès ou d’arrêt de fonction du greffon au 31 décembre de l’année, quelle que soit l’ancienneté des données de suivi, étaient vivants et porteurs d’un greffon fonctionnel à cette date.
Le nombre de malades porteurs d’un greffon fonctionnel est un indicateur important de la charge de travail des équipes médico-chirurgicales de greffe qui doivent assumer le suivi d’une cohorte chaque année grandissante de malades sous traitement immunosuppresseur. Le nombre de porteurs d'un greffon fonctionnel estimé au 31 décembre 2015 varie d'une équipe de suivi à l'autre de 0 à 55 malades. Les équipes exclusivement pédiatriques ont naturellement des niveaux d'activité plus bas. Depuis 1982, date de la première greffe cardio-pulmonaire, un total de 879 greffes de cœur-poumons a été enregistré dans Cristal (dont 260 greffes par des équipes aujourd’hui fermée). On estime à 183 le nombre de porteurs d’un greffon cœur-poumons fonctionnel au 31 décembre 2015.
Tableau PCP21b. Estimation du nombre de malades porteurs d’un greffon pulmonaire fonctionnel au 31 décembre 2014, par équipe de suivi
| Equipe de suivi | Nombre de malades n'ayant pas fait l'objet d'une déclaration de décès ou d'arrêt de fonction du greffon |
Nombre malades suivis (dernières nouvelles<=18 mois) |
Nombre estimé de malades vivants avec greffon fonctionnel au 31/12/2015 |
Bordeaux (A+P) |
130 |
128 |
128 |
Grenoble (A) |
79 |
79 |
79 |
Le Plessis-Robinson Marie-Lannelongue (A+P) |
190 |
181 |
183 |
Lille A. Calmette * |
10 |
0 |
1 |
Lyon * |
1 |
0 |
0 |
Lyon (A+P) |
148 |
148 |
148 |
Marseille * |
0 |
0 |
0 |
Marseille Sainte Marguerite (APM) (A) |
252 |
252 |
252 |
Marseille Timone enfants (APM) (P) |
7 |
6 |
6 |
Nancy (Brabois) * |
1 |
0 |
0 |
Nancy (Brabois) * |
1 |
1 |
1 |
Nantes (A+P) |
117 |
117 |
117 |
Nice * |
0 |
0 |
0 |
Nice (Pasteur) * |
1 |
0 |
0 |
Paris (Necker enfants malades) * |
1 |
0 |
0 |
Paris Bichat (AP-HP) (A) |
190 |
186 |
187 |
Paris Georges Pompidou (AP-HP) (A+P) |
138 |
133 |
134 |
Paris Pitié-Salpêtrière (AP-HP) * |
1 |
1 |
1 |
Strasbourg (A) |
226 |
223 |
224 |
Suresnes Foch (A) |
374 |
372 |
373 |
Toulouse (A) |
68 |
62 |
64 |
Total |
1935 |
1889 |
1899 |
* Equipe de suivi sans autorisation d'activité de greffe pulmonaire
Malgré l’amélioration de l’exhaustivité des données de suivi des patients greffés pulmonaires, il n’est pas possible d’obtenir le nombre de patients porteurs d’un greffon fonctionnel par simple interrogation de Cristal. Ainsi, l’estimation de ce nombre a été effectuée en deux étapes basées sur l’ancienneté des données de suivi du patient.
Dans un premier temps, nous avons dénombré les porteurs d’un greffon fonctionnel dans Cristal (patients déclarés vivants sans arrêt de fonction du greffon) dont les dernières nouvelles dataient de moins de 18 mois (suivi annuel obligatoire dans Cristal). Pour les patients qui n’avaient pas fait l’objet d’une déclaration de décès ou d’arrêt de fonction du greffon et pour lesquels il n’y avait pas de mise à jour depuis plus de 18 mois, le nombre de porteurs d’un greffon fonctionnel a été estimé en leur appliquant les taux de survie du greffon estimés sur la population globale.
Le nombre total de porteurs d’un greffon fonctionnel correspond à la somme de ces deux valeurs. Le chiffre ainsi estimé est encadré par deux bornes :
- la borne inférieure correspond à l’hypothèse la plus pessimiste, selon laquelle les malades non suivis sont considérés comme en arrêt fonctionnel de greffon.
Cela signifie que seuls les greffés qui n’avaient pas fait l’objet d’une déclaration de décès ou d’arrêt de fonction du greffon au 31 décembre de l’année et dont les données de suivi dataient de moins de 18 mois étaient porteurs d’un greffon fonctionnel à cette date ;
- la borne supérieure correspond à l’hypothèse la plus optimiste, selon laquelle les malades non suivis sont considérés comme porteurs d’un greffon fonctionnel.
En d’autres termes, tous les greffés qui n’avaient pas fait l’objet d’une déclaration de décès ou d’arrêt de fonction du greffon au 31 décembre de l’année, quelle que soit l’ancienneté des données de suivi, étaient vivants et porteurs d’un greffon fonctionnel à cette date.
Le nombre de malades porteurs d’un greffon fonctionnel est un indicateur important de la charge de travail des équipes médico-chirurgicales de greffe qui doivent assumer le suivi d’une cohorte chaque année grandissante de malades sous traitement immunosuppresseur. Le nombre de porteurs d'un greffon fonctionnel estimé au 31 décembre 2015 varie d'une équipe de suivi à l'autre de 0 à 374 malades. Les équipes exclusivement pédiatriques ont naturellement des niveaux d'activité plus bas. Depuis 1987, date de la première greffe pulmonaire, un total de 4 252 greffes de poumon a été enregistré dans Cristal (dont 126 par une équipe aujourd’hui fermées). On estime à 1 899 le nombre de porteurs d’un greffon pulmonaire fonctionnel au 31 décembre 2015.
Tableau PCP22a. Traitement de désimmunisation dans le mois précédent la greffe cardio-pulmonaire réalisée en 2015
| Traitement de désimmunisation dans le mois précédent la greffe | N |
% |
Non |
8 |
100,0 |
Données extraites de CRISTAL le 01/03/2016
Tableau PCP22b. Traitement de désimmunisation dans le mois précédent la greffe pulmonaire réalisée en 2015
| Traitement de désimmunisation dans le mois précédent la greffe | N |
% |
Non |
312 |
90,4 |
Oui |
30 |
8,7 |
Manquant |
3 |
0,9 |
Données extraites de CRISTAL le 01/03/2016
Tableau PCP23a. Traitement de désimmunisation après la greffe cardio-pulmonaire réalisée en 2015
| Traitement de désimmunisation après la greffe | N |
% |
Non |
7 |
87,5 |
Manquant |
1 |
12,5 |
Données extraites de CRISTAL le 01/03/2016
Tableau PCP23b. Traitement de désimmunisation après la greffe pulmonaire réalisée en 2015
Traitement de désimmunisation après la greffe |
N |
% |
Non |
302 |
87,5 |
Oui |
40 |
11,6 |
Manquant |
3 |
0,9 |
Données extraites de CRISTAL le 01/03/2016
Conclusion
Les caractéristiques de cette année sont :
- un nombre de nouveaux inscrits sur la liste d’attente de greffe cardio-pulmonaire et une activité de greffe cardio-pulmonaire en baisse, avec en 2015, pour les hypertensions artérielles pulmonaires, première indication de greffe cardio-pulmonaire, un recours très prépondérant à la greffe bi-pulmonaire. Les survies à 1 an et 5 ans après greffe s’améliorent
- une augmentation identique du nombre de nouveaux inscrits sur la liste d’attente et de l’activité de greffe pulmonaire avec une pénurie stable à un niveau très faible au regard de celle constatée pour les autres organes. Cependant l’absence de connaissance complète de l’incidence de l’insuffisance respiratoire terminale rend cette interprétation fragile.
- un risque de décès ou de sortie de liste pour aggravation chez les candidats à la greffe pulmonaire comparable en 2015 à ce qu’il était en 2010-2012 alors que la cinétique d’accès à la greffe s’améliore de façon constante depuis 1999 du fait d’une diminution de la pénurie, favorisée par, une politique de proposition plus large des greffons aux équipes, et dans une moindre mesure, par l’apparition des machines à perfusion permettant la réhabilitation de greffons à critères élargis. Une augmentation de l’activité de prélèvement pulmonaire est attendue dans les années à venir grâce au développement du programme de prélèvement pulmonaire chez les donneurs décédés après arrêt circulatoire de la catégorie III de Maastricht, la transmission des images de scanner, le développement des machines à perfusion, et, l’enquête sur la réanimation pulmonaire des donneurs en mort encéphalique
- une augmentation en 2015 du nombre de demandes de super-urgence, de la proportion de candidats pour lesquels une demande a été faite et finalement de la proportion des greffes pulmonaires réalisées dans le cadre d’une super-urgence
- une survie 1 an après greffe pulmonaire stable depuis dix ans.